Fosfatidilcolina e adiposità localizzate

12729182_476375912548654_3645156857884928670_n

La Fosfatidilcolina (a volte abbreviata come PC) è un tipo di fosfolipide che contiene colina come gruppo di testa. È una molecola anfipatica, ottenuta dalla trimetilazione di una molecola di Fosfatidiletanolammina o sintetizzata ex novo a partire da un digliceride e da CDP-colina.
È stata scoperta nel 1850 da Maurice Gobley, che la estrasse dal tuorlo dell’uovo. La molecola è isolabile anche dai semi di soia attraverso un’estrazione meccanica o chimica utilizzando esano.
Si tratta di uno dei più importanti componenti delle membrane biologiche. In particolare, si tratta del fosfolipide più abbondante sul foglietto esterno della membrana plasmatica.
La Fosfatidilcolina è anche il principale componente della lecitina (dal greco lekithos – λεκιθος, tuorlo d’uovo), il cui estratto consiste appunto in una mistura di Fosfatidilcolina, acido fosforico, colina, acidi grassi, glicerolo, glicolipidi, trigliceridi ed altri fosfolipidi. Spesso, lecitina e Fosfatidilcolina sono utilizzati come sinonimi.
È particolarmente presente nella soia, dalla quale può essere estratta per essere usata nell’industria alimentare come agente emulsionante (sotto il nome di E322). Si trova anche in altri alimenti, tra i quali: uova, caviale e in quantità inferiore in cavolfiori, lenticchie, piselli, riso, fegato di vitello, latte. La lecitinasi è un gruppo di enzimi esterasici in grado di idrolizzare la lecitina. Il colesterolo presente nelle lipoproteine plasmatiche è spesso esterificato con una molecola di lecitina.
La Fosfatidilcolina è un fosfolipide conosciuto e studiato da moltissimo tempo, in quanto , come già eccennato, abbondantemente rappresentato in natura ed introdotto quotidianamente attraverso i vari alimenti.
Il ruolo nutrizionale della Fosfatidilcolina è molto importante, tanto che viene abbondantemente impiegata nell’industria alimentare (come agente emulsionante) e dietetica (come supplemento utile per abbassare il colesterolo e favorire l’efficienza di fegato e cervello).
Nell’organismo umano, la Fosfatidilcolina rappresenta uno dei principali componenti della membrana plasmatica, di cui regola fluidità, integrità e permeabilità.
Le straordinarie virtù della Fosfatidilcolina, sfruttate in campo medico nel trattamento delle iperlipidemie e delle patologie epatiche, derivano dalla sua natura anfifilica, che gli permette di mantenere i grassi in soluzione nel sangue ed in altri fluidi organici (che di per sé sono soluzioni acquose, quindi immiscibili con i lipidi proprio come l’acqua e l’olio). Ed è proprio in questa sua caratteristica che la Fosfatidilcolina ha trovato un suo recente utilizzo nel trattamento delle adiposità localizzate.

E’ piuttosto recente l’impiego della Fosfatidilcolina nel trattamento dell’adiposità localizzata. Fu negli anni ’90, in seguito ad una brillante intuizione, che un medico brasiliano la propose per primo per questo scopo. Infatti, se è vero che la Fosfatidilcolina è in grado di sciogliere il grasso con il quale viene a contatto, ciò può essere fatto da questa al fine di eliminare piccoli depositi adiposi e trattare la pannicolopatia edemato-fibrosclerotica (cellulite) sfruttando tecniche mesoterapiche.
Se la Fosfatidilcolina viene iniettata direttamente nel tessuto adiposo attraverso sottilissimi aghi, essa è in grado di solubilizzare i grassi, riducendo il volume delle cellule che li contengono (“svuota” gli adipociti). La tecnica è chiamata Lipodissolve, ed è scarsamente invasiva e generalmente svolta in regime ambulatoriale. Questa tecnica è particolarmente utile nel trattamento degli accumuli adiposi che, sia per fattori endocrini e metabolici (di base genetici), risultano di difficile e limitata eliminazione con i classici interventi dietetico-comportamentali.
La tecnica “Lipoddisolve” rappresenta quindi una efficace arma contro le adiposità localizzate sia femminili che maschili, anche quando tali inestetismi si localizzano in punti critici, come l’addome, l’interno coscia ed i fianchi: si sono ottenuti buoni risultati anche nel trattamento dei depositi adiposi della palpebra inferiore, del doppio mento e delle guancie.

L’avvento della Fosfatidilcolina ha rappresentato una vera e propria alternativa alla tradizionale liposcultura, la dove i depositi di grasso non sono di grande consistenza: in questo caso la tecnica chirurgica di liposuzione rimane la soluzione più efficace.

Comunque, il trattamento mesoterapico con Fosfatidilcolina consiste principalmente nell’identificazione delle zone di accumulo adiposo, sulle quali viene applicata una dose di crema anestetica. Dopo disinfezione, si infiltra mediante aghi piccoli e sottili la Fosfatidilcolina, direttamente all’interno del pannicolo adiposo distribuendo la sostanza in modo da ottenere una lisi quanto più omogenea e simmetrica.
Il trattamento non è doloroso ed è assolutamente tollerabile. Generalmente il fastidio si limita ad un leggero bruciore nella zona di infiltrazione seguito da un fastidio alla compressione nei giorni successivi, simile ad una contusione.
Può accadere che in alcuni distretti si verifichino dei versamenti, che scompaiono nel giro di una settimana. Ovviamente, nulla in confronto ai postumi di una liposuzione. La letteratura scientifica internazionale non riporta alcun effetto collaterale di rilievo mentre recenti lavori scientifici riportano risultati positivi nel 98% dei pazienti trattati.
Attualmente i protocolli proposti in Medicina Estetica vedono l’esclusione di bambini(direi ovvia), donne in gravidanza o in allattamento, diabetici con vasculopatie, e ovviamente chi è allergico alla Soia. Vi sono altre condizioni a rischio da valutarsi: le insufficienze epatiche e/o renali, l’adiposità con BMI>30, alcune situazioni immuno-endocrine quali la tiroidite o infezioni croniche particolarmente rischiose; alterazioni della coagulazione.
Il trattamento è molto veloce: in genere bastano quindici minuti per due o quattro aree di adiposità. L’iniziale effetto compare a partire dal terzo giorno e raggiungere il suo picco da una a due settimane dopo il trattamento, perdurando in maniera definitiva (dieta permettendo).
Nel corso di una seduta si riescono a trattare da due a quattro cuscinetti, in base all’entità dell’inestetismo. Ipotizzando una situazione tipo, in tre o quattro sedute si possono eliminare accumuli sui fianchi e nel basso addome. Dopo il trattamento si possono riprendere subito le normali attività. Il costo del trattamento (o delle fiale) è ovviamente notevolmente inferiore a quello delle soluzioni chirurgiche classiche, rivelandosi quindi semplice e discretamente accessibile.
Occorre ricordare che le infiltrazioni di Fosfatidilcolina non possono essere considerate sostitutive di strategie dietetiche ed esercizio fisico o di altre soluzioni terapeutiche medico-chirurgiche nel paziente obeso.
Il risultato ottenuto può essere migliorato con l’associazione di Carnitina (amminoacido necessario per veicolare gli acidi grassi all’interno dei mitocondri), di acido desossicolico (un sale biliare) e di altre sostanze capaci di migliorare la salute del microcircolo e limitare le reazioni avverse (antinfiammatori ed antidolorifici).
Ulteriori innovazioni di questo trattamento potrebbero portare alla definitiva sostituzione degli aghi con apparecchiature capaci di indurre la penetrazione delle sostanze tramite l’apertura elettrochimica di specifici canali intracellulari.
Esistono anche cosmetici particolari come gel e patch monouso a base di Fosfatidilcolina e di altri princìpi attivi drenanti, lipolitici e vasoprotettivi. Tra questi ricordiamo la caffeina, la centella, l’equiseto, l’escina, agenti antiossidanti, idratanti, emollienti ed alcune alghe marine. L’efficacia di questa variante non mostra la stessa efficacia mostrata dalle iniziezioni.
L’utilità di questo tipo di trattamento non è da sottovalutare, in specie dai BodyBuilder che cercano di diminuire inestetismi di matrice genetica e difficilmente trattabili con la semplice dieta ed esercizio (o altra supplementazione).

 

Gabriel Bellizzi

 

Per approfondimenti scientifici:

http://www.ncbi.nlm.nih.gov/pubmed/?term=phosphatidylcholine+lipolysis

Aumentare i recettori androgeni con la L-Carnitina

12342416_454518101401102_6596368240430411264_n
Un altra azione della Carnitina, oltre alle “classiche” riguardanti il metabolismo energetico, è quella di aumentare i recettori androgeni nelle cellule muscolari.

In uno studio condotto dall’Università del Connecticut, i ricercatori hanno testato gli effetti della L-Carnitina (nella sua forma Tartrato) e la sua capacità di migliorare l’utilizzo del Testosterone libero (il 2% prima citato). Durante i 21 giorni di esperimento, è stato verificato come la L-Carnitina abbia aumentato il numero dei recettori androgeni rispetto ai risultati prodotti dal gruppo trattato con placebo.(1)

Questo è davvero molto importante per i BodyBuilder!

Gli effetti della L-Carnitina sui recettori androgeni permettono di aumentare la capacità fisiologica del corpo di interagire con il Testosterone libero a livello recettoriale nelle cellule muscolari.

La L-Carnitina supporta anche la rigenerazione del tessuto muscolare e limita l’accumulo di acido lattico permettendo un miglioramento della prestazione. Inoltre risulta maggiormente utile durante una Dieta Chetogenica dove il minor introito di carboidrati ne riduce la biosintesi endogena. La L-Carnitina facilita la metabolizzazione dei Chetoni. Infatti, questo derivato aminoacidico (prodotto a partire dalla lisina e dalla metionina) è particolarmente attivo durante il digiuno quando la glicemia si abbassa ed i livelli plasmatici di glucagone ed acidi grassi diventano elevati.

Gabriel Bellizzi
Riferimenti:

 

Fluoxymesterone (Halotestin)

halotestin
Fluoxymesterone

 

Androgenico: 850
Anabolico: 1,900
Standard: Methyltestosterone (orale)
Nome Chimico: 9a-fluoro-11b,17b-dihydroxy-17a-methyl-4-androsten-3-one, 9a-fluoro-11b-hydroxy-17a-methyltestosterone
Attività Estrogenica: nessuna
Attività Progestinica: nessun dato disponibile (bassa)

Il Fluoxymesterone (9-fluoro-11,17-dihydroxy-10,13,17-trimethyl-1,2,6,7,8,11,12,14,15,16-decahydrocyclopenta[a]phenanthren-3-one), noto anche con il nome commerciale di Halotestin®, è uno steroide anabolizzante derivato del Testosterone.
La sua storia è legata alla Upjohn (o The Upjohn Company), una public Company con sede a Kalamazoo nello stato del Michigan in USA, fondata nel 1886 dal Dr. William E. Upjohn e tre suoi fratelli. Essa è stata una delle più grandi produttrici di innovativi farmaci etici degli Stati Uniti.
Il team di ricercatori Upjohn iniziò una serie di studi sul potenziale degli steroidi anabolizzanti in seguito all’osservazione di ampi trial clinici sul “deponortestonate” (prodotto della Upjohn contenente Nandrolone iniettabile) con lo scopo di sviluppare e testare una serie di nuove molecole.
Una delle scoperte più significative del team Upjohn è stata fatta nel 1950, quando scoprirono una tecnica di fermentazione microbiologica per l’introduzione di un atomo di ossigeno nell’11° atomo di carbonio di uno steroide (1). Ciò non permise solo l’introduzione su larga scala di composti corticosteroidei, come il Cortisone, ma aprì la strada anche alla creazione del Fluoxymesterone.


I risultati degli esperimenti sui ratti trattati con alcuni steroidi 11-ossigenati sintetizzati dalla Upjohn si possono osservare nella seguente tabella. (2)

 

12795563_482415481944697_644543253882011977_n

Come si può vedere dalla tabella, tutti gli steroidi 11-ossigenati sono risultati significativamente più potenti rispetto alle loro controparti non-ossigenate.
Derivati corticosteroidei 9α-alogenati sono stati descritti da Fried e Sabo nel 1953 (3) e sono stati osservati possedere una maggiore attività glucocorticoide e anti-infiammatoria. Con questo in mente, Lyster et al alla Upjohn sintetizzarono e testarono una serie di derivati del testosterone 11β-idrossilati e 9α-alogenati (4).

12795563_482415481944697_644543253882011977_n

Essi scoprirono che la soppressione dell’attività del gruppo 9-cloro, e la sostituzione 9α-fluoro nello steroide produceva un notevole aumento della attività anabolizzante e androgena orale nei ratti (4):

“l’11β-idrossi-methyltestosterone è 0,9 volte più androgeno e 3 volte più anabolico del Methyltestosterone. Il 9-Fluoro-11β-idrossi-methyltestosterone è 9,5 volte più androgeno e 20 volte più anabolico del Methyltestosterone”

Il composto 17α-methyltestosterone 9α-fluoro 11β-idrossi è stato successivamente denominato Fluoxymesterone.

I ricercatori della Upjohn classificarono il potere Anabolizzante:Androgeno del Fluoxymesterone somministrato oralmente a 2000:950 rispetto al Metiltestosterone.(4)

I dati sono stati successivamente riportati dalla Upjohn nel 1963 dai ricercatori Kincl e Dorfman della Syntex che confermarono rispettivamente i dati sul levator ani, vescicole seminali, e prostata ventrale al 1745%, 757% e 118% (quest’ultimi due come indici androgenici).(5)

12795563_482415481944697_644543253882011977_n
Il rapporto A:A dello Stanozololo non appare così favorevole dalle analisi della Upjhon del 1965.(8)

Quando rivisitato nel 1963 da Beyler et al., il valore anabolizzante 380 (misurato come ritenzione di azoto) e androgeno 140 (misurato con la dimensione della prostata ventrale) sempre rispetto al Metiltestosterone del Bolasterone e del Fluoxymesterone, sono risultati essere “notevolmente inferiore a quelli riportati per alcuni 19-nor steroidi e alcuni steroidi eterociclici di attuale interesse clinico“(6)

Naturalmente le loro conclusioni potrebbero essere state alquanto “edulcorate” dalla loro posizione commerciale; come ricercatori della Sterling-Winthrop erano responsabili della creazione dello steroide Stanozololo (Winstrol).(7)

 

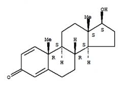
Struttura molecolare del Fluoxymesterone

12795563_482415481944697_644543253882011977_n
Dichloro-Dianabol

Il Fluoxymesterone è strutturalmente classificato come un derivato alogenato del Testosterone. Il gruppo alogeno aggiunto è quello di fluoro in C-9, che ne potenzia l’attività androgena, rendendo la molecola un substrato migliore per la 5α-riduzione, con produzione di metaboliti estremamente androgeni. Mentre la modifica in C-9 è un’anomalia nel mondo degli androgeni, questa è relativamente comune tra i glucocorticoidi sintetici; come nel Desametasone, Betametasone, Fludrocortisone, e Triamcinolone. In realtà ci sono alcuni composti che vengono sostituiti in C-9 con altri alogeni. Ad esempio, il Beclometasone ha una funzione 9α-cloro. La Schering testò alcuni composti 9α, 11β- alogenati, con scarso successo, anche se clorurati derivati dal Dianabol (9α,11β-dichloro-17β-hydroxy-17α- methylandrosta-1,4-dien-3-one) hanno mostrato di essere promettenti come anabolizzanti, con rapporto 300:60 rispetto al Metiltestosterone con somministrazione orale.(9)

Non è del tutto chiaro il motivo per cui la frazione 9α-fluoro conferisce un’elevata attività anabolizzante/androgena al Fluoxymesterone somministrato oralmente, ma l’atomo di fluoro può potenzialmente cambiare la farmacocinetica e la farmacodinamica di un composto in diversi modi:

“1. Il Fluoro, a causa delle sue ridotte dimensioni steriche, assomiglia all’idrogeno bioattivo rispetto all’ambiente sterico in associazione con le regioni proteina recettore;

2. Il Fluoro, l’elemento più elettronegativo, altera gli effetti elettronici;

3. Il Fluoro, quando legato al carbonio ha una energia di legame carbonio-fluoro pari a 107 kcal / mol, aumenta l’ossidabilità, la temperatura e la stabilità metabolica; e

4. Forse ancora più importante, il legami carbonio-fluoro aumenta notevolmente la solubilità dei lipidi e, quindi, migliora i tassi di bio-assorbimento e bio-transporto.”(10)

In conformità con la prima proprietà di cui sopra, l’atomo di fluoro ha un raggio di van der Waals molto simile all’atomo di idrogeno che sostituisce, il raggio standard dell’idrogeno si trova a circa 1.1Å-1.2Å e per il fluoro circa 1.35Å-1.47Å.(11,12,13)

Oltre al suo insolito gruppo 9α-fluoro, il Fluoxymesterone possiede anche un gruppo 11β-idrossile, che è caratteristico di molti corticosteroidi attivi. Un recente studio ha scoperto che a causa della presenza del gruppo 11β-idrossile il Fluoxymesterone interferisce con il metabolismo dei corticosteroidi. Il Cortisolo viene convertito in Cortisone inattivo da parte dell’enzima 11β-idrossisteroide deidrogenasi di tipo 2 (11β- HSD-2). Poiché il recettore mineralcorticoide (MR) può essere attivato sia dai mineralcorticoidi che dai glucocorticoidi, questo enzima è espresso nei tessuti mineralcorticoidi sensibili per impedire l’attivazione del MR da parte del Cortisolo. Il Fluoxymesterone è risultato essere un potente inibitore competitivo della 11β-HSD-2 umana.(14)

Questa inibizione potrebbe causare una attivazione dei MR cortisolo-indotta, che può condurre alla ritenzione di sodio e all’escrezione di potassio, causando ritenzione idrica e ipertensione. Dopo il successivo uso clinico del Fluoxymesterone, sono state apportate alcune variazioni: sono stati sintetizzati composti 16α-metilati da Merck, anche se sono risultati deludenti al confronto.(15)

L’11-keto, analogo del Fluoxymesterone, rispetto a quest’ultimo è leggermente più anabolizzante (22 vs 20) e meno androgeno (8,5 vs 9,5).(16)

Metabolismo del Fluoxymesterone

Nonostante le modifiche 9α-fluoro e 11β-idrossile, il Fluoxymesterone subisce sia la 5α-riduzione che la 5β-riduzione negli esseri umani (17), i 3-cheto metaboliti ridotti sono stati rilevati anche nell’uomo.(17,18)

Nonostante il 9α-fluoro-testosterone aromatizza circa la metà del Testosterone, il gruppo 11β-idrossile del Fluoxymesterone ne impedisce l’aromatizzazione e anche l’affinità di legame con le SHBG.(19,20) ù

“La presenza di sostituenti assiali in posizione C-11 interferisce con l’aromatizzazione dell’anello A”(19)

Come con tutti i 17α-alchil-17b-idrossi steroidi, i metaboliti 17-cheto del Fluoxymesterone sono impossibili. La 17-epimerizzazione del Fluoxymesterone è stata segnalata ed è una comune (anche se minore) via metabolica tra 17α-metil-17β-idrossi steroidi.(21)

La presenza di diversi metaboliti idrossilati, diidrossilati, 11,12 e 13,14 insaturi, e 11-cheto  sono stati identificati (post-somministrazione) anche negli esseri umani, secondo un recente studio.(17)

E’ anche interessante notare che il Fluoxymesterone viene metabolizzato al suo corrispondente analogo 11-cheto (11-oxo Fluoxymesterone) dalla 11β-HSD-2 umana (anche se non ampiamente), come dimostrato da un esperimento in vitro contemporaneo.

12795563_482415481944697_644543253882011977_n

“Dati biologici hanno mostrato che il Fluoxymesterone è un substrato del 11β-HSD-2, ma con un tasso di conversione inferiore al Cortisolo.”(14)

L’ultima differenza rispetto al Testosterone è la 17-alfa-metilazione, che ovviamente lo rende tossico per il fegato (alcune evidenze mostrano una marcata tossicità).

La sua capacità inibitiva sull’HPTA è più marcata di quella esercitata dal Metilltestosterone, nonostante non sia aromatizzabile, e si manifesta maggiormente a livello testicolare. Nel range dei 20mg/die non sembra mostrare un significativo impatto su FSH e LH ma già sul Testosterone circolante. Il Fluoxymesterone possiede una biodisponibilità del 100%, dovuta alla metilazione in posizione 17α la quale inibisce il metabolismo epatico per ossidazione enzimatica del 17β-idrossile, consentendo l’assorbimento nel flusso sanguigno della molecola. Come molti altri steroidi metilati in C-17, il Fluoxymesterone presenta una scarsa affinità con i recettori AR, ciononostante le sue azioni sono mediate dal recettore degli androgeni, molto probabilmente a causa della sua prolungata emivita plasmatica che è di circa 9,2 ore.(22)

Uso clinico del Fluoxymesterone

Il Fluoxymesterone viene applicato in ambito medico per il trattamento del’ipogonadismo maschile, il ritardo della pubertà nei maschi, e nel trattamento di neoplasie al seno nelle donne. L’attività antitumorale del Fluoxymesterone appare correlata alla riduzione o inibizione competitiva dei recettori della prolattina o dei recettori estrogeni o dell’inibita produzione di questi.

Applicazione nelle preparazioni atletiche

Date le prima citate caratteristiche, il Fluoxymesterone è stato per un lungo periodo di tempo utilizzato in ambito Culturistico e nel Powerlifting. Nel BodyBuilding questo AAS ha visto il suo più largo uso nelle 4-6 settimane precedenti alla gara in abbinamento con una dieta adeguata, grazie alla sua capacità di migliorare la consistenza muscolare e aumentare l’attività mentale (aggressività, resistenza al dolore e alla fatica). Poiché questo farmaco non aromatizza e raramente il suo uso causa ritenzione idrica, funziona piuttosto bene per questo scopo. I powerlifters invece, interessati al forte potenziale androgeno del Fluoxymesterone, usano questa molecola prettamente per aumentare la forza e, di conseguenza, i carichi.

L’avvento degli inibitori dell’aromatase e la maggior disponibilità del Trenbolone hanno tolto parte dei vantaggi pratici derivanti dall’uso di questo prodotto (specie in pre-gara), ma grazie alla sua scarsa affinità per i recettori androgeni (AR) mantiene ancora una certa popolarità in pre-gara e nei cicli di forza in associazione con prodotti spiccatamente affini per i recettori androgeni come il Trenbolone.

Con il dilagare del fenomeno “Crossfit”, il Fluoxymesterone ha trovato una nuova applicazione sportiva oltre alle prima citate categorie (Bodybuilder e Powerlifter). Infatti, questo AAS si presta perfettamente a questa disciplina fornendo all’atleta una maggiore forza, concentrazione e resistenza mentale e fisica. Dal grande potenziale per gli atleti avanzati è lo “stack” Fluoxymesterone, Trenbolone e GW1516.

I dosaggi di Fluoxymesterone mediamente usati dagli atleti di sesso maschile sono tra i 20-40mg/die per un periodo compreso tra le 3 e le 6 settimane; il dosaggio viene diviso in 2-3 assunzioni eguali al giorno. L’emivita del Fluoxymesterone è di circa 6-8 ore. Dati i suoi effetti collaterali a carico del fegato, la sua assunzione non dovrebbe mai superare le 6 settimane totali.

La sua reperibilità nel mercato nero non è così grande, e la presenza di prodotti contenenti altra o nessuna molecola e spacciati per Fluoxymesterone non è una rarità. Gli effetti collaterali che il Fluoxymesterone può portare comprendono cefalea, nervosismo, ansia, oligospermia, iperattività sessuale, atrofia testicolare, carcinoma epatico, alterazione dei lipidi ematici e alopecia.

Conclusioni

Per concludere vorrei sottolineare il fatto che questa molecola non è adatta ai principianti (con meno di 2 cicli ben fatti alle spalle) ed ai soggetti sensibili a livello psicologico. Non abbinare mai il Fluoxymesterone e il Trenbolone prima di aver testato la tollerabilità singola di ognuna di queste due molecole. Il “fai da te” è come al solito caldamente sconsigliato. Per gli agonisti è importante sapere che il tempo di rilevabilità del Fluoxymesterone nei test anti-doping è di 2 mesi.

Gabriel Bellizzi

Riferimenti scientifici:

1. Hogg JA., Steroids, the steroid community, and Upjohn in perspective: a profile of innovation. Steroids 1992 Dec;57(12):593-616.

2. Martini L., Pecile A., Hormonal Steroids Vol. 2, pp. 59-67. New York: Academy Press 1965

3. Fried J., Sabo EF., Synthesis of 17α-hydroxycorticosterone and its 9α-halo derivates from 11-epi-17α- hydroxycorticosterone. J. Am. Chem. Soc., 1953, 75 (9), pp 2273–2274

4. Lyster et al., Androgenic and myotrophic properties of orally administered 9-FLUORO-Il-OXY- METHYLTESTOSTERONES. Endocrinology Vol. 58, pp. 781-785 1956

5. Dorfman RI., Kincl FA., Relative Potency of Various Steroids in an Anabolic-Androgenic Assay Using the Castrated Rat. Endocrinology Vol. 72(2):259-266 1963.

6. Beyler et al., The ratio of anabolic to androgenic activity of 7:17-dimethyltestosterone, oxymesterone, mestanolone and fluoxymesterone. J Endocrinol December 1, 1963 28 87-92.

7. Beyler et al., Influence of molecular unsaturation on hormonal activity pattern ofcertain heterocyclic steroids. Endocrinology Vol. 68(6), pp. 987-995 1961.

8. Proc. 1st Int. Congr. Hormonal Steroids Vol. 2, pp. 119-132. New York: Academic Press, 1965.

9. Robinson et al., New Anabolic Agents: 9α,11β-Dihalogenoandrostane Derivatives. J. Am. Chem. Soc., 1960, 82 (17), pp 4611–4615.

10. Patrick  TB., Fluoro-organic biochemistry. Journal of Chemical Education, vol. 56(4) p. 228, 1979.

11. Vida JA., Androgens and anabolic agents; chemistry and pharmacology. New York: Academic Press, 1969, p.63.

12. Bondi A., van der Waals Volumes and Radii. J. Phys. Chem., 1964, 68 (3), pp 441–451

13. Rowland RS., Taylor R., Intermolecular Nonbonded Contact Distances in Organic Crystal Structures: Comparison with Distances Expected from van der Waals Radii. J. Phys. Chem., 1996, 100 (18), pp 7384–7391.

14. Fürstenberger et al., The anabolic androgenic steroid fluoxymesterone inhibits 11β-hydroxysteroid dehydrogenase 2-dependent glucocorticoid inactivation. Toxicol Sci. 2012 Apr;126(2):353-61.

15. Fried et al., 16-Methylated Steroids. III. The Synthesis of 9α – Fluoro -16α,17α- dimethyl -4- androstene-11β,17β- diol-3-one. J. Org. Chem., 1962, 27(2), pp. 682–684.

16. Hogg et al., Synthesis of potent oral anabolic-androgenic steroids. J. Am. Chem. Soc., 1956, 78 (2), pp 500–501

17. Lu et al., Mass spectrometric identification and characterization of new fluoxymesterone metabolites in human urine by liquid chromatography time-of-flight tandem mass spectrometry. Steroids. 2012 Jul; Vol. 77(8-9):871-877. ®

18. Kammerer et al., Testing for fluoxymesterone (Halotestin metabolites by gas chromatography-mass spectrometry. J Steroid Biochem. 1990 Aug 28; Vol. 36(6):659-66.

19. Dorfman et al., Biosynthesis of Estrogens. Endocrinology. 1962 Dec; Vol. 71:920-925.

20. Knudsen JF., Max SR., Aromatization of androgens to estrogens mediates increased activity of glucose 6- phosphate dehydrogenase in rat levator ani muscle. Endocrinology. 1980 Feb; Vol. 106(2):440-443.

21. Schänzer et al., 17-Epimerization of 17 alpha-methyl anabolic steroids in humans: metabolism and synthesis of 17 ) administration to man: Identification of urinary alpha-hydroxy-17 beta-methyl steroids. Steroids. 1992 Nov; Vol. 57(11):537-550.

22. Seth Roberts “Anabolic Pharmacology”. 2009

 

 

SUCCO DI POMPELMO E FARMACI ORALI

Il succo di pompelmo è una bevanda conosciuta da tutti e di facile reperibilità. Il suo contenuto di vitamina C, sali minerali, acido citrico e pectine è ciò che lo rende una bevanda salutare e di largo consumo tra gli amanti del Fitness. Ma le propietà del succo di pompelmo non finiscono qui: infatti, esso possiede un altra caratteristica, questa volta utile per gli atleti supplementati chimicamente. Questa caratteristica consiste nel aumentare la biodisponibilità dei farmaci co-somministrati (come gli AAS orali).
Questa capacità emerse già nel 1989, quando casualmente il succo di pompelmo fu utilizzato come componente aggiuntivo di un placebo in un test farmacologico in Canada. (1) Nel gruppo al quale venne somministrato il placebo con succo di pompelmo, la concentrazione plasmatica di felodipina (farmaco vasodilatatore utilizzato per l’ipertensione) risultò più elevata del previsto.
13327565_517618858424359_7311671036096895150_n
Successivamente furono svolti diversi studi a riguardo grazie ai quali è stato possibile scoprire che il pompelmo interferisce con numerosissimi farmaci tra cui le statine, gli anti-aritmici, gli agenti immunosoppressori ed i bloccanti del canale del calcio .
Ma qual’è il meccanismo d’azione alla base di qiesta caratteristica?
Gli studi condotti sul succo di pompelmo hanno evidenziato che alcune componenti di questo frutto, come il bergamottino (2) e la naringina (3) sono potenti inibitori del citocromo P450 3A4 (CYP3A4).
Questo enzima, espresso a livello intestinale ed epatico, è il principale attore responsabile della detossificazione dell’organismo da circa il 50% dei farmaci attualmente esistenti.
L’interazione del farmaco con il succo di pompelmo avviene principalmente per inibizione del CYP3A4 intestinale, ciò causa un più lento smaltimento del farmaco e una sua prolungata permanenza nell’organismo. Per quesa ragione, a parità di dosaggio, la co-somministrazione di un farmaco orale con succo di pompelmo ne aumenta le concentrazioni ematiche rispetto al farmaco preso singolarmente (con aumento del rischio di incorrere in sovradosaggio).

gr1
Struttura del P450 3A4 (CYP3A4)

Dal momento che l’inibizione del CYP3A4 avviene a livello intestinale, le interazioni farmaco-succo del pompelmo si manifestano unicamente con formulazioni orali. Studi effettuati su farmaci metabolizzati dal CYP3A4 epatico, somministrati per via endovenosa, hanno dimostrato che il succo di pompelmo non ne modifica i livelli plasmatici (4).
Il CYP3A4 metabolizza il farmaco fino a ridurne la biodisponibilità del 15%. Il pompelmo, invece, inibendo l’enzima aumenta la biodisponibilità del farmaco del 45%.
I livelli intestinali di CYP3A4 possono essere ridotti del 47% entro un paio d’ore dall’assunzione di pompelmo. (4)
E’stato anche dimostrato che l’interazione farmacologica può verificarsi con l’assunzione di modeste quantità di succo di pompelmo o frutto fresco (250 gr). Questa inattivazione enzimatica può perdurare per un lungo periodo (circa 3 giorni).
Esiste una grossa variabilità biologica d’espressione del CYP3A4 intestinale (polimorfismo genetico), di conseguenza risulta difficile riuscire a predire con certezza, da un soggetto a un altro, una possibile interazione farmacologica che coinvolga il succo di pompelmo. (5,6)Comunque sia, più è ridotta la percentuale del CYP3A4 maggiore sarà la biodisponibilità del farmaco co-somministrato.

13327565_517618858424359_7311671036096895150_n2

E’ giusto sottolineare che l’enzima CYP3A4 è responsabile della deattivazione delle sostanze in un processo che gli scienziati chiamano 6-beta-idrossilazione. Farmaci che sono sensibili a questo processo enzimatico vengono rapidamente eliminati dal corpo.
Il CYP3A4 subisce l’inibizione dovuta dal pompelmo solo nel piccolo intestino. L’enzima si trova anche nel fegato, ma il pompelmo non influisce a quel livello. Meno CYP3A4 nell’intestino tenue significa quindi che un variegato gruppo di sostanze è più facilmente assorbita dal corpo.
Il pompelmo è in grado di inibire un’altra proteina: la P-glicoproteina o P-gp. La P-gp si trova anche nel piccolo intestino e diminuisce anche l’assorbimento di sostanze farmacologiche.
Nella figura si può osservare l’effetto attraverso il grafico. Il grafico mostra la concentrazione del medicinale lovastatina in rapporto al CYP3A4 dopo aver bevuto un quantitativo di acqua o di succo di pompelmo.
I ricercatori hanno affermato che il massimo effetto si raggiunge dopo aver bevuto un bicchiere da 250 ml di succo di pompelmo. Quattro ore dopo l’assunzione, il 47% dell’enzima CYP3A4 era disattivato. Dodici ore dopo aver bevuto il succo, l’effetto era ancora piuttosto ottimale. Ventiquattro ore dopo, l’effetto era ridotto ad un terzo.
L’azione del succo di pompelmo non è ancora del tutto chiara. La vecchia teoria affermava che l’azione era dovuta dalla naringina e dal suo metabolita naringenina. I test di laboratorio non hanno confermato questo però. Un’altra teoria è che il furanocourmarin bergamottina e il suo metabolita 6 ‘, 7’, Dihydroxybergamottin causino l’inibizione, ma in prove di laboratorio l’effetto è stato solo lieve. Ci sono probabilmente diversi composti fitochimici in gioco, e tutti contribuiscono all’effetto.
Una delle conclusioni dei ricercatori è stata che gli utilizzatori di farmaci CYP3A4-sensibili farebbero meglio ad evitare il succo di pompelmo o il frutto intero. I dosaggi di questi farmaci non sono basati su un possibile miglioramento della biodisponibilità dato dal pompelmo, con il rischio che gli utilizzatori possano incorrere in effetti collaterali più severi.
I ricercatori hanno affermato che, in futuro, una volta che l’effetto del pompelmo sarà meglio compreso, potrà essere possibile aggiungere i fitocomposti ai principi attivi dei farmaci in modo che i dosaggi, ed i costi di produzione dei produttori, possano essere abbassati.

 

t
La rilevanza di questa scoperta per gli atleti aiutati chimicamente sta nel fatto che alcuni steroidi anabolizzanti orali sono soggetti all’azione del CYP3A4. Nella metà degli anni novanta, Wilhelm Schaenzer pubblicò uno studio sulla beta-idrossilazione del Testosterone, del Boldenone, del Methyltestosterone, del Fluoxymesterone , del Methandrostenolone e del Chlorodehydromethyltestosterone, somministrati oralmente in soggetti di prova.
Schaenzer esaminò i metaboliti nelle urine dei soggetti del suo studio. Scoprì che la 6-beta-idrossilazione del Boldenone, Testosterone e del Methyl Testosterone era stata trascurabile, ma era importante per quanto riguardava l’azione a carico del Chlorodehydromethyltestosterone, del Methandrostenolone e del Fluoxymesterone. Tra il 17 e il 46% di questi ormoni era stato espulso dall’organismo nella forma 6-beta-idrossilata.
Per concludere, il succo di pompelmo può essere utilizzato per aumentare la biodisponibilità degli AAS orali, specie se non metilati in C-17, contribuendo così ad un effetto maggiore con un dosaggio più contenuto.

 

 

 

 

 

Gabriel Bellizzi

 

Riferimenti:

1- Bailey DG, Spence JD, Edgar B, Bayliff CD, Arnold JM. Ethanol enhances the hemodynamic effects of felodipine. Clin Invest Med. 1989;12:357–62.
2- Edwards DJ, Bellevue FH, Woster PM. Identification of 6′,7′-dihydroxybergamottin, a cytochrome P450, in grapefruit juice. Drug Metab Dispos. 1996;24:1287–1290.
3- Kuhnau J. The flavonoids: a class of semi-essential food components; their role in human nutrition. World Rev Nutr Diet. 1976;24:117–191
4- Dahan A, Altman H. Food-drug interaction: grapefruit juice augments drug bioavailabilitymechanism,extent and relevance. Eur J Clin Nutr 2004; 58: 1-9.
5- Dresser GK, Bailey DG. The effects of fruit juices on drug disposition: a new model for druginteractions. Eur J Clin Invest 2003; 33: 10-6.
6- Huang SM, et al. for the Center for Drug Evaluation and Research and Office of Regulatory Affairs,U.S. Food and Drug Administration. Drug interactions with herbal products and grapefruit juice: a conference report. Clin Pharmacol Ther 2004; 75: 1-12.

La combinazione di L-lisina e L-arginina riduce lo stress e abbassa i livelli di Cortisolo

 

llisina

La supplementazione con 2.34gm di L-lisina e la stessa quantità di L-arginina al giorno riduce lo stress psicologico e abbassa la quantità di Cortisolo negli uomini. I ricercatori della Ajinomoto hanno annunciato questa notizia nel Biomedical Research.

Miro Smriga, il primo autore di questo studio che è stato pubblicato sul Biomedical Research nel 2008, ha studiato per anni l’effetto della combinazione Lisina-Arginina su ansia e stress. Ha osservato l’effetto nei topi (1) sottoposti ad una situazione stressante in laboratorio, nei suini trasportati (2) e negli esseri umani con una personale sensibilità allo stress (3).

Almeno parte della spiegazione dell’effetto di riduzione dello stress della combinazione lisina-arginina è probabilmente legato all’interazione della Lisina con il recettore per il GABA.(4) Sonniferi e alcol agiscono attraverso gli stessi recettori.

Nello studio (5) pubblicato sul Biomedical Research , è stato somministrato ad un gruppo di circa un centinaio di soggetti di prova sani 2.34gm L-lisina e 2.34gm di L-arginina al giorno per sette giorni. I soggetti hanno assunto gli amminoacidi due volte al giorno, a colazione e nel pasto serale.


Dopo il periodo di supplementazione i soggetti dello studio sono stati sottoposti alla compilazione di un questionario, lo State-Trait Anxiety Inventory. Questo questionario viene utilizzato dagli psicologi per misurare la sensibilità e il livello di stress nella vita quotidiana. Nella figura qui sotto si può osservare che questa sensibilità si è ridotta nei soggetti che avevano preso la combinazione Lisina-Arginina.

13307222_516213221898256_5269447818790834238_n

Come ben sappiamo, il Cortisolo è l’ormone principale associato allo stress. I ricercatori hanno misurato la concentrazione di Cortisolo nella saliva dei soggetti osservando di conseguenza che questo ormone non era diminuito in modo significativo nelle donne che avevano assunto l’integrazione di Lisina e Arginina. Negli uomini tuttavia questo è avvenuto, come mostrato nella figura qui sopra.
Gli aminoacidi hanno ridotto le concentrazioni di Cortisolo degli uomini del 18%. I ricercatori hanno eseguito le loro misurazioni tra le 9 e le 10 del mattino.

I ricercatori giapponesi hanno anche osservato l’effetto di un evento stressante – in questo caso l’esposizione al rumore – sui soggetti dello studio. Come già accennato, i ricercatori hanno notato che la supplementazione Lisina/Arginina non ha avuto effetto sulle concentrazione di Cortisolo nelle donne, mentre negli uomini questa combinazione ha accelerato il ritorno delle concentrazioni di Cortisolo a livelli normali.

 

Gabriel Bellizzi

Riferimenti:

1- http://www.ncbi.nlm.nih.gov/pubmed/12722988
2- http://www.ncbi.nlm.nih.gov/pubmed/14609314
3- http://www.ncbi.nlm.nih.gov/pubmed/16117182
4- http://www.ncbi.nlm.nih.gov/pubmed/8587651
5- http://www.ncbi.nlm.nih.gov/pubmed/17510493

EFFETTI DELLA SUPPLEMENTAZIONE CON ACIDO FOSFATIDICO

13165992_509651985887713_8411150635695076599_n

Gli acidi fosfatidici rappresentano i più semplici fosfogliceridi, prodotti formalmente dall’esterificazione del glicerolo in posizione 1 e 2 con acidi grassi e in posizione 3 con acido ortofosforico.[1]
L’Acido Fosfatidico (AF) è una parte di ciò che è noto come un fosfolipide, il tipo di lipidi che compongono le membrane cellulari e che sono fondamentali per la vita. Oltre ad essere un importante componente strutturale del corpo umano, l’acido fosfatidico è anche una molecola di segnalazione, ciò significa che la sua presenza può dare il via ad una serie di reazioni nel corpo.

In particolare, l’acido fosfatidico è noto per interagire con le proteine ed i loro percorsi biochimici. Un percorso importante che colpisce è quello del mTOR (acronimo di mammalian target of rapamycin). Come già riportato, l’mTOR è una proteina che attiva la sintesi proteica e induce ipertrofia. Durante l’allenamento, le fibre che ricevono lo stimolo meccanico di un carico esterno, innescano il rilascio di acido fosfatidico all’interno delle cellule. Questo aumento, stimola il percorso del mTOR che, insieme ad altri fattori concomitanti, conduce alla crescita e la riparazione del muscolo.

Mentre gli effetti dell’esercizio sull’acido fosfatidico e sul mTOR sono noti, ci sono ancora molti punti interrogativi che devono essere elaborati. Ad esempio, è possibile che qualche metabolita dell’acido fosfatidico interagisca con l’mTOR, piuttosto che l’acido stesso. In uno studio (2) i ricercatori hanno voluto constatare se l’integrazione con acido fosfatidico possa stimolare la crescita così da valutarne con esattezza il funzionamento.

Lo studio condotto è stato diviso in due fasi:

– Nella prima fase, il gruppo di ricerca ha testato diversi fosfolipidi che sono associati con l’acido fosfatidico, così come i loro precursori metabolici per gli effetti sul mTOR.

– Durante la seconda fase, i soggetti dello studio hanno assunto acido fosfatidico supplementare per vedere se i loro risultati nell’allenamento erano migliori rispetto al periodo di non assunzione.

La prima fase si è svolta in una capsula (o piatto) di Petri. Le cellule nel piatto sono state introdotte tramite l’acido fosfatidico derivato da uova, soia, o una serie di altre molecole affini derivate dalla soia. Le cellule che hanno lavorato per la segnalazione del mTOR erano l’acido fosfatidico (sia delle uova che della soia), fosfatidilserina e acido lisofosfatidico. L’acido fosfatidico dell’uovo ha potenziato l’mTOR del 221%, ma questo valore è di molto inferiore se confrontato con alcuni degli altri valori dello studio. L’acido fosfatidico ricavato dalla soia, ha potenziato la segnalazione del mTOR del 636%. L’acido lisofosfatidico ha dato circa lo stesso valore, seguito dalla fosfatidilserina, che era a poco meno del 600%.

Ma i risultati dello studio sopra citato possono essere riproducibili attraverso l’assunzione di AF come integratore?

Per rispondere a questa domanda, i ricercatori hanno analizzato i campioni provenienti da 28 uomini che avevano partecipato allo studio. La metà dei soggetti aveva assunto un integratore di acido fosfatidico mentre l’altra metà aveva assunto un placebo. Entrambi i gruppi si sono allenati tre giorni a settimana per otto settimane, utilizzando una varietà di esercizi finalizzati all’allenamento di tutto il corpo.

Il programma che avevano seguito era misto, utilizzando simultaneamente da una fino a dodici ripetizioni e variando la lunghezza dei periodi di riposo. Il gruppo “integratore” aveva assunto 750 mg di acido fosfatidico al giorno.
Alla fine, il gruppo “integratore” aveva guadagnato circa 2,267 Kg in più rispetto al gruppo placebo, e ebbe una crescita muscolare del retto femorale di un centimetro con un aumento della forza nella pressa di 51 Kg in più rispetto al gruppo placebo.

Questi sono grandi differenze per un periodo di sole otto settimane, soprattutto quando comparato al gruppo placebo il quale aveva la stessa routine di allenamento.

Va ricordato però che due degli autori dello studio sono titolari del brevetto in un’azienda che produce l’integratore utilizzato. Questo non invalida totalmente la prova, ma può mettere in dubbio il risultato nel complesso. Allo stato attuale, il percorso del mTOR in effetti sembra essere attivato non solo dall’acido fosfatidico nella sua forma naturale, che già si sapeva, ma anche dall’acido fosfatidico come integratore.

Per testare la funzionalità reale dell’AF è stato svolto un altro studio (3) nel quale è stato somministrato l’acido fosfatidico alla dose di 750 mg/die o un placebo per otto settimane. Tutti i partecipanti erano soggetti allenati e sono stati sottoposti all’esame della forza, dello spessore muscolare e dei guadagni di massa magra.
I soggetti che hanno ricevuto l’AF hanno sperimentato un aumento del 12,7% della forza nello squat e un aumento del 2,6% della massa magra rispetto ad un miglioramento del 9,3% e del 0,1% per il gruppo placebo.

In un altro studio(4), otto settimane di supplementazione con AF hanno fatto guadagnare 5kg di massa muscolare contro un aumento di 2.5kg del gruppo di controllo. C’è stato anche un aumento sostanziale del carico nel leg press rispetto al gruppo di controllo: i soggetti supplementati con AF avevano aumentato il proprio carico di 57,5Kg rispetto ai 35Kg del gruppo di controllo.

Il gruppo supplementato con AF aveva perso 2.8kg di grasso, il gruppo di controllo aveva perso 1.1kg di grasso.

Per integrare l’acido fosfatidico la fonte di più facile reperibilità è rappresentata dai granuli di lecitina. Due cucchiai è la dose ideale e possono essere mescolati nello shake intra o post-workout o consumati come parte di un pasto. I granuli di lecitina danno un sapore burroso ovunque vengano miscelati. Il momento migliore per assumere la propria dose è poco dopo l’allenamento.

Nei giorni di riposo, è sufficiente consumare la dose insieme al primo pasto della giornata, meglio se ricco di proteine . Qualunque sia il vostro obiettivo, due cucchiai di granuli di lecitina apportano mediamente 8gm di grassi e 1gm di carboidrati, per un totale di 105 Kcal – una quota irrilevante. Con due cucchiai di granuli di lecitina, si ottiene una dose di 1,200mg di AF, un dosaggio che non è presente nella maggior parte degli integratori di AF!

Quindi, abbiamo a disposizione un integratore con del grande potenziale sul guadagno di massa magra, sull’aumento di forza e sulla perdita di grasso – per un costo di circa 10 euro al mese.

Si tratta di un supplemento che non dovrebbe mancare nell’”arsenale” dell’atleta “Drug Free”.

Gabriel Bellizzi

Riferimenti:

1. William W. Christie, Phosphatidic Acid, Lysophosphatidic Acid and Related Lipids, lipidlibrary.co.uk, 4/10/2009. URL consultato il 5 ottobre 2012.
2. Joy et al. “Phosphatidic acid enhances mTOR signaling and resistance exercise induced hypertrophy,” Nutrition & Metabolism 2014, 11:29
3. Hoffman, Jay R et al; “Efficacy of Phosphatidic Acid Ingestion on Lean Body Mass, Muscle Thickness and Strength Gains in Resistance-Trained Men”; Journal of the International Society of Sports Nutrition; 2012
4. Joy, Jordan M; “Phosphatidic acid supplementation increases skeletal muscle hypertrophy and strength”; Journal of the International Society of Sports Nutrition; 2013

Boldenone (Equipoise)

bold
Boldenone

 

Androgenico: 50
Anabolico: 100
Standard: Testosterone
Nome chimico: 1,4-androstadiene-3-one,17beta-ol, 1-dehydrotestosterone
Attività Estrogenica: bassa
Attività Progestinica: non disponibile (bassa)

 

Il Boldenone (INN, BAN) [1,4-androstadiene-3-one,17b-ol],(commercializzato con il nome di Equipoise, Ganabol, Equigan, Ultragan, e Boldane),  è uno steroide anabolizzante-androgeno spesso legato all’estere undecylenato. Strutturalmente molto simile al Testosterone, il Boldenone differisce da questo per il raddoppio del legame tra C1 e C2.

La Ciba depositò il brevettato del Boldenone nel 1949. Nel corso degli anni  ’50 e ’60, l’azienda ha sviluppato diversi esteri sperimentali di questo farmaco, rilasciando in seguito una versione  esterificata della molecola  con una  lunga durata d’azione:  Boldenone undecylenato. Sarebbe stato venduto con il marchio Parenabol, probabilmente in riferimento alle sue caratteristiche come agente anabolizzante parenterale (iniettabile). Il Parenabol vide un certo uso clinico durante la fine degli anni ’60 e primi anni ’70, principalmente come agente anabolizzante in soggetti sotto peso o in pazienti soggetti a malattie cataboliche, e per il mantenimento della massa ossea nell’osteoporosi. Il Boldenone undecylenato come farmaco per uso umano ebbe una breve durata venendo interrotto a livello globale per tale scopo entro la fine del 1970. La Squibb sarebbe stata l’introduttrice di questa molecola nel mercato veterinario, sotto il conosciutissimo marchio Equipoise.

Nel mercato veterinario, il Boldenone undecylenato è più comunemente applicato ai cavalli, anche se in molte regioni è indicato per l’uso su altri animali. Con il suo uso si presenta in genere un marcato effetto sul peso corporeo magro, sull’appetito, e la disposizione generale dell’animale. Il marchio Equipoise è stato venduto dalla Squibb fino al 1985, quando quest’ultima venne acquisita dalla Solvay U.S. . L’Equipoise sarebbe stato venduto sotto l’etichetta Solvay negli anni successivi, fino a quando la Wyeth  ha acquisito la divisione salute degli animali della Solvay nel 1995. La divisione è stata formata in Fort Dodge Animal Health, che continua a commercializzare attualmente l’Equipoise negli Stati Uniti e in alcuni mercati esteri. Esistono molti altri nomi generici commerciali per il Boldenone undecylenato in numerosi mercati farmaceutici internazionali, dal momento che i brevetti sul Boldenone undecylenato sono da tempo scaduti.

Come accennato in precedenza, il Boldenone non è altro che Testosterone con un raddoppio del legame tra C1 e C2, caratteristica che:

1- Riduce il tasso di aromatizzazione a circa la metà di quello del Testosterone;

2- rende la molecola un substrato molto meno affine all’enzima 5-alfa reduttasi rispetto al Testosterone; questo aspetto riduce molto la conversione del Boldenone a Diidroboldenone, rendendolo androgeno circa la metà del Testosterone (rapporto androgeno/anabolico del Boldenone è 50/100);

figure-1-structure-of-boldenone-and-testosterone_big-png
Differenze strutturali tra Boldenone e Testosterone

 

 

Nonostante non ci siano dati sperimentali sull’affinità recettoriale del Boldenone, in base alla sua struttura e alla conversione molto limitata a Diidroboldenone, si suppone che l’affinità recettoriale della molecola sia “Mix”  a livello muscolare come quella del Testosterone. C’è chi afferma che il Boldenone abbia una affinità AR inferiore a quella del Testosterone, speculando che esso possa essere classificato come “Non-AR”.

Il Boldenone condivide con il Testosterone anche una forte affinità per le SHBG.

Il Boldenone è privo di qualsiasi tipo di metilazione cosa che lo rende sensibilmente meno efficace per via orale, ma meno di quello che ci si potrebbe aspettare:  il doppio legame in C1-C2 incrementa leggermente la resistenza al passaggio epatico.

Il Boldenone aromatizza ad estradiolo ad un tasso del 50% rispetto al testosterone. Per questo motivo il Boldenone è considerato uno steroide leggermente estrogenico. A riprova di ciò studi sull’aromatizzazione suggeriscono che il tasso di conversione in estradiolo di questa molecola è di circa la metà di quella del Testosterone.(1) La tendenza a sviluppare effetti collaterali estrogenici evidenti con il Boldenone dovrebbe essere leggermente superiore a quanto accada con il Nandrolone, ma molto inferiore rispetto al  Testosterone. Effetti collaterali estrogenici non sono di solito pronunciati a meno che questo farmaco non venga assunto in dosi superiori a 200-400 mg a settimana. Un inibitore dell’aromatasi, come l’Anastrozolo, può essere utile in soggetti con spiccata tendenza all’aromatizzazione.

Anche se il Boldenone è classificato come un androgeno mite,  gli effetti collaterali androgeni sono ancora comuni con questa molecola, in particolare con dosi più elevate. Questo può includere pelle grassa, acne, crescita di peli sul corpo e  sul viso, e alopecia adrogenetica .  Le donne dovrebbero essere messe in guardia sui potenziali effetti virilizzanti. Questi possono includere voce profonda, irregolarità mestruale, cambiamenti nella struttura della pelle, crescita di peli sul viso, e allargamento del clitoride.

Anche se il Boldenone si riduce ad un androgeno più potente (Dihydroboldenone) tramite l’enzima 5-alfa riduttasi nei tessuti bersaglio androgeno-sensibile come la pelle, il cuoio capelluto e la prostata, la sua affinità di farlo nel corpo umano è estremamente bassa.(2) La androgenicità relativa del Boldenone non è, quindi, significativamente influenzata dal finasteride o dal dutasteride.

Il Boldenone non è un metilato in c-17 , e non sono noti effetti epatotossici. Ciò nonostante la possibilità che questa molecola possa causare danni epatici temporanei non è da escludersi.(3)

Come risaputo, gli AAS possono avere effetti deleteri sul colesterolo sierico. Questo include una tendenza alla riduzione delle concentrazioni di colesterolo  HDL (buono) e un aumento delle concentrazioni di colesterolo  LDL (cattivo), cosa che comporta uno sbilanciamento dell’equilibrio HDL/LDL che si traduce in un rischio maggiore di sviluppare arteriosclerosi. L’impatto relativo all’assunzione di un AAS nei confronti dei lipidi ematici dipende dalla dose, dalla via di somministrazione (per via orale o iniettabile), dal tipo di steroide (aromatizable o non aromatizable), e dal livello di resistenza al metabolismo epatico. Il Boldenone ha un impatto meno drammatico sui fattori di rischio cardiovascolari rispetto agli AAS orali metilati. Ciò è dovuto in parte alla sua blanda resistenza al metabolismo epatico, che permette di avere un effetto minore sulla gestione epatica del colesterolo. L’aromatizzazione del Boldenone in Estradiolo, seppur inferiore a quella del Testosterone,  può anche contribuire ad attenuare gli effetti negativi degli androgeni sui lipidi del siero. Gli AAS possono anche influenzare negativamente la pressione del sangue e i livelli dei trigliceridi, riducendo il rilassamento endoteliale, e promuovendo l’ipertrofia ventricolare sinistra, tutti fattori con un potenziale nel aumentare il rischio di malattie cardiovascolari e infarto del miocardio.

Per contribuire a ridurre lo sforzo cardiovascolare si consiglia di mantenere un programma di esercizio cardiovascolare attivo e di ridurre al minimo l’assunzione di grassi saturi, colesterolo e carboidrati semplici in ogni momento durante la somministrazione di AAS.

Con l’uso di Boldenone bisogna prestare particolare attenzione all’ematocrito in quanto questo AAS possiede  una spiccata azione sulla eritropoiesi.

La supplementazione con oli di pesce (4 grammi al giorno) e un integratore alimentare di Niacina per il controllo del colesterolo è anche raccomandata.

Tutti gli AAS se assunti in dosi sufficienti per promuovere l’aumento della massa muscolare causano una soppressione del  Testosterone endogeno. Senza l’intervento con sostanze  Testosterone-stimolante, e una adeguata PCT, i livelli di Testosterone dovrebbero tornare alla normalità entro 1-4 mesi dalla cessione del farmaco. Si noti che un ipogonadismo ipogonadotropo prolungato può svilupparsi secondariamente all’abuso di steroidi, cosa che richiede un intervento medico.

I dosaggi medi di Boldenone utilizzati in ambito maschile si aggirano tra i  250-500 mg (5-10ml, per la versione da 50 mg/ml) a settimana. La posologia può essere ulteriormente divisa per ridurre il volume di ogni iniezione, se necessario, ad esempio somministrando il farmaco due o tre volte alla settimana. Si dovrebbe anche prestare attenzione a ruotare i siti di iniezione regolarmente, in modo da evitare irritazioni o infezioni.

In ambito femminile le dosi medie si aggirano tra i 50-75 mg a settimana. Le donne dovrebbero prestare attenzione alla caratteristica ad azione lenta di questa molecola, che rende i livelli ematici difficili da controllare e lenti a declinare in caso i sintomi virilizzanti si presentino.

Il Boldenone (nella sua forma classica, Undecylenato) è noto per essere una molecola lenta che garantisce un lento ma costante aumento di forza e massa muscolare di qualità. Gli effetti positivi di questo farmaco diventano più evidenti quando viene usato in cicli più lunghi, di solito della durata di 6-8 settimane o più.

Le caratteristiche del Boldenone fanno si che trovi le sue migliori associazioni con AAS di tipo AR e/o in grado di abbassare i livelli di SHBG. Molecole come il Metyldrostanolone (Superdrol) e  il Trenbolone  rappresentano una scelta ideale. Anche un eventuale associazione con potenti antagonisti delle SHBG come Oral-Turinabol, Winstrol e  Oxandrolne rappresentano una buona scelta anche se c’è chi afferma che ciò creerebbe una competizione per l’affinità recettoriale (su questo ho delle riserve). L’uso di un AI con il Boldenone potrebbe essere problematico essendo il Boldenone già poco aromatizzabile e l’Estradiolo noto per la sua mancata proliferazione dei recettori androgeni.

Il Boldenone undecylenato rimane ampiamente disponibile come prodotto medicinale veterinario. Viene prodotto principalmente in America, costantemente alla dose di 25 mg / ml o 50 mg / mL. Un piccolo numero di preparazioni sono fatte ad un dosaggio più alto (in genere 200 mg / ml), soprattutto da parte delle imprese in mercati meno regolamentati dell’Asia dove l’offerta è spesso dettata dalla domanda del mercato nero. Nel mercato delle UGL è emerso un formato di Boldenone a breve durata d’azione, si tratta di Boldenone Propionato.

Il Boldenone acquistato al mercato nero può essere identificato positivamente mediante test di sostanze ROIDTEST ™ B & C. Dopo le recenti tendenze del mercato, troviamo che i preparativi del mercato nero etichettatati come “Boldenone” hanno un alto rischio di non contenente lo stesso o di contenere altri steroidi.

Il test kit ROIDTEST ™ , che può essere utilizzato per confermare la presenza di questo AAS in un prodotto, può essere acquistato qui:

boldenone_grande

http://anabolic.org/roidtest-steroid-test-kits/

 

Gabriel Bellizzi

 

Riferimenti:

1- Biosynthesis of Estrogens, Gual C, Morato T, Hayano M, Gut M, and Dorfman R. Endocrinology 71 (1962):920-25.

2-Metabolism of boldenone in man: gas chromatographic/mass spectrometric identification of urinary excreted metabolites and determination of excretion rates. Schanzer, Donike. Bol Mass Spec. 21 (1992):3-16.

3-http://www.ncbi.nlm.nih.gov/pubmed/21421678

EFFETTI ALIMENTARI E DIETETICI SUL CORTISOLO

corti

Alcuni studi su animali mostrano che le diete ricche di proteine riducono il Cortisolo alto e uno studio su donne obese ha dimostrato che assumere carboidrati aumenta il livello dell’ormone. Altri studi mostrano che bere una formula a base di carboidrati durante l’allenamento blocca il rilascio di Cortisolo. Nel frattempo, uno studio su uomini obesi ha scoperto che una dieta estremamente povera di carboidrati ha aumentato il livello dell’ormone, mentre una con dose moderata di carboidrati non ha esercitato alcun effetto. A quanto pare, la dieta povera di carboidrati ha indotto l’11 beta HSD1 a produrre Cortisolo attivo e, poi, ha stimolato l’attivazione dell’ormone nel fegato.
Quindi, se da un lato uno studio sostiene che ridurre i carboidrati aumenti il cortisolo, un altro studio giunge a conclusioni diverse (1). Questo si distingue dai precedenti, perché i soggetti hanno assunto la stessa dose giornaliera di calorie, ma ogni pasto conteneva solo un macronutriente alla volta; per 4 giorni i soggetti (tutti uomini di peso normale) hanno assunto solo carboidrati, solo proteine, o solo grassi. Il gruppo di controllo ha bevuto acqua. I pasti a base di grassi e proteine hanno ridotto il cortisolo, mentre i carboidrati lo hanno aumentato. Anche solo bere acqua ha ridotto il livello dell’ormone.

Gli autori ipotizzano che i carboidrati aumentino rapidamente il glucosio ematico; per il corpo questo è negativo, quindi esso reagisce aumentando il rilascio di cortisolo. Questo, a sua volta, inibisce l’azione dell’insulina che, altrimenti, ripulirebbe il flusso ematico dai carboidrati.

L’aumento del glucosio stimola anche il rilascio di serotonina, un neurotrasmettitore cerebrale associato a calma e sensazioni piacevoli. Tuttavia, l’aumento di serotonina può stimolare recettori nell’ippocampo, aumentando ulteriormente il rilascio di cortisolo. Il cortisolo riduce gli effetti piacevoli indotti dalla serotonina, così noi ricerchiamo ancora calma… mangiando più carboidrati. Così, il ciclo, conosciuto con il nome di “fame emotiva”, continua. Una soluzione ovvia è evitare di assumere troppi carboidrati ad assorbimento rapido o, almeno, associarli a fibre o proteine (non a grassi se non volete ingrassare) per ritardare l’assorbimento dei carboidrati nel sangue.
Un altro studio ha esaminato se la dieta da sola può essere per il corpo un agente stressante capace di aumentare il cortisolo (2). I soggetti erano 121 donne che hanno assunto circa 1.200 calorie al giorno; ad alcune è stato chiesto di controllare con attenzione il loro apporto calorico e questo ha causato un forte stress mentale. Tuttavia, la limitazione delle calorie è bastata da sola ad aumentare notevolmente il livello di cortisolo. Infatti, una delle funzioni di quest’ormone è gestire le fonti di energia, quindi se il corpo percepisce una carenza energetica (ad esempio durante le diete ipocaloriche severe) risponde aumentando il rilascio di cortisolo.

È interessante che gli autori abbiano affermato che, forse, molte persone non si rendono neanche conto che i loro sforzi per seguire una dieta inducono uno stress psicologico; essi ipotizzano, quindi, che seguire una dieta non sia efficace perché rappresenta una notevole fonte di stress.
Il modo più efficiente per minimizzare i possibili effetti catabolici della dieta è perdere peso lentamente ed evitare le diete lampo. Questo è ciò che ha mostrato uno studio su 15 donne di peso normale che praticavano allenamento con i pesi e aerobica a livello ricreativo (cioè non agonistico) (3). Le donne hanno seguito una dieta grazie alla quale hanno perso 1 o 0,5 kg alla settimana per un mese. Quelle che hanno perso più peso hanno perso anche forza, probabilmente perché il loro testosterone si è ridotto del 30% (contro il 3% dell’altro gruppo). Anche se entrambi i gruppi hanno assunto 1,4 g di proteine per chilogrammo di peso corporeo, la forte riduzione calorica ha indotto uno stato catabolico.

Un aspetto interessante dello studio è che nessuno dei due gruppi ha sperimentato un cambiamento del livello di cortisolo, ma solo di quello di testosterone.
Gli autori pertanto suggeriscono che, per la maggior parte delle persone, limitare la perdita di peso ad un massimo di 0,5 kg alla settimana sia la strada migliore per minimizzare gli effetti catabolici associati alla dieta e renderla psicologicamente sostenibile.

Fonti Bibliografiche

1) Martens, M., et al. (2010). Effects of single macronutrients on serum cortisol concentrations in normal weight men. Physiol Behav. 101:563-67.

2) Tomiyama, J., et al. (2010). Low calorie dieting increases cortisol. Psychosom Med. 72(4):357-64. 3 Mero, A., et al. (2010). Moderate energy restriction with high protein diet results in healthier outcome in women. J Int Soc Sports Nutr. 7:4.

Studi e citazioni tratte da un articolo di Jerry Brainum OLYMPIAN’S NEWS n° 129, pagg. 24-26 pubblicato in Italia da Sandro Ciccarelli Editore.

SOIA E LIVELLI DI TESTOSTERONE E DHEA

soya

Una serie di rapporti provano gli effetti negativi degli isoflavoni, che hanno proprietà simili agli estrogeni. Alcuni scienziati hanno presentato un rapporto su un 19enne malato di diabete di tipo 1 che, dopo aver assunto grandi quantità di prodotti a base di soia seguendo una dieta vegana, ha sperimentato un calo improvviso della spinta sessuale e una disfunzione erettile. Nel controllo iniziale gli scienziati hanno misurato il testosterone totale e libero, e il deidroepiandrosterone (DHEA); poi, hanno monitorato il ragazzo per 2 anni, dopo che aveva abbandonato la dieta vegana. All’inizio, i livelli di testosterone totale e libero erano bassi, mentre il DHEA era alto, ma un anno dopo il cambio di dieta questi parametri si sono normalizzati.

La normalizzazione di testosterone e DHEA è stata associata a un miglioramento costante dei sintomi: dopo un anno, il ragazzo ha recuperato completamente la funzione sessuale. Almeno basandosi su questo caso, sembra che in chi soffre di diabete mangiare prodotti a base di soia riduca il testosterone e causi disfunzioni erettili. Questo è il primo rapporto che mostra un calo del testosterone libero e un aumento dei livelli ematici di DHEA in un soggetto che segue una dieta ricca di soia (1). Ovviamente serviranno ulteriori studi su campioni piu’ ampi e rappresentativi per valutare il rapporto tra assunzione di soia e produzione di testosterore e DHEA.

Riferimenti:

1- Siepmann, T., et al. (2011). Hypogonadism and erectile dysfunction associated with soy product consumption. Nutrition. In press.

Il presente studio è stato estrapolato dall’articolo tratto da OLYMPIAN’S NEWS n° 127, pagg. 32 pubblicato in Italia da Sandro Ciccarelli Editore.

CITRULLINA MALATO E MIGLIORAMENTO DELLE PRESTAZIONI

13240588_510263269159918_6012465533848121766_n

La Citrullina malato è un composto costituito dall’aminoacido non essenziale Citrullina salificato con acido malico. Pur non partecipando direttamente alla sintesi proteica, la Citrullina svolge importanti funzioni nell’organismo come intermedio chiave del ciclo dell’urea, tramite il quale i mammiferi eliminano i gruppi amminici superflui. Il ciclo dell’urea, è un ciclo di reazioni biochimiche che produce urea a partire dall’ammoniaca, una sostanza tossica per l’organismo e il cui accumulo riduce la formazione di glicogeno muscolare e causa stanchezza.
La produzione di urea è quindi fondamentale per l’eliminazione di queste sostanze tossiche che inficiano la performance dell’atleta e che possono avere conseguenze nefaste per la salute. Gli allenamenti aerobici o anaerobici portano alla produzione nell’organismo di grandi quantità di ammoniaca(1).
La Citrullina fa salire i livelli di Arginina nel sangue, conosciutissimo aminoacido precursore dell’Ossido Nitrico(2).
I ricercatori hanno scoperto che la Citrullina malato aiuta ad eliminare il bruciore risultante dall’accumulo di acido lattico, poiché fa aumentare i livelli di bicarbonato (un acido che agisce da tampone assorbendo le molecole di acido lattico)(3).

Uno studio scientifico pubblicato nel maggio 2010 ha rivelato il vero potenziale di questo integratore. Con un’unica dose di Citrullina malato (8g), i soggetti che ne hanno fatto uso sono riusciti ad eseguire il 53% di ripetizioni in più nelle distensioni con bilanciere rispetto agli individui del gruppo placebo! Inoltre, coloro che hanno assunto l’integratore hanno sperimentato una riduzione del 40% dei dolori muscolari nelle 24 – 48 ore successive l’allenamento(4).
In un altro studio, ricercatori francesi hanno dimostrato che assumere Citrullina malato porta ad una riduzione significativa del senso di stanchezza e un aumento del 34% della produzione di ATP durante l’attività. Si è inoltre verificato un aumento del 20% del recupero di fosfocreatina dopo l’attività (5).
Se abbinata ai BCAA, la Citrullina malato migliora la secrezione dell’Ormone della Crescita post-attività fisica, oltre a far aumentare anche la concentrazione plasmatica di importanti aminoacidi come Arginina e Ornitina (6).
Esiste un altro studio interessante, benché svolto su roditori, che mostra come la Citrulina abbia un potenziale sulla conservazione della massa magra durante periodi di restrizione calorica rispetto alla Leucina (7).
La Citrullina malato è generalmente ben tollerata. L’unico effetto secondario registrato sono stati dolori di stomaco in 6 dei 41 soggetti che hanno partecipato allo studio di riferimento (4). Ma la dose usata è stata di 8 grammi. Si consiglia quindi di iniziare con 6 grammi.

Nonostante la presenza di Citrullina nell’anguria e di malato nelle mele, le quantità che si trova in questi alimenti sono molto basse affinchè si possano notare miglioramenti della performance sportiva associati al consumo di Citrullina malato. Quindi è necessario assumerla tramite integratore.

In conclusione, la Citrullina malato, grazie alla ricerca scientifica, risulta essere un integratore valido per il miglioramento delle prestazioni .

Gabriel Bellizzi

 

Riferimenti:


1- – Wilkerson, J. & Batterton, D. & Horvath, S., Exercise-induced changes in blood ammonia levels in humans, European Journal of Applied Physiology and Occupational Physiology 22;37(4):255-63, Dicembre 1977
2- Dhanakoti, S. et. al., Renal arginine synthesis: studies in vitro and in vivo, American Journal of Phisiology Endocrinology and Metabolism Vol. 259 Nº3 E437-E442, Settembre 1999
3- – Callis, A. et. al., Activity of citrulline malate on acid-base balance and blood ammonia and amino acid levels. Study in the animal and in man, Arzneimittel-Forschung /Drug Research 41(6):660-3, Giugno 1991
4- – Pérez-Guisado, J. & Jakeman, P., Citrulline malate enhances athletic anaerobic performance and relieves muscle soreness, Journal of Strength & Conditioning Research 24(5):1215-22, Maggio 2010
5- – Bendahan, D. et. al., Citrulline/malate promotes aerobic energy production in human exercising muscle, British Journal of Sports Medicine 36:282-289, Febbraio 2002
6- – Sureda, A. et. al., L-citrulline-malate influence over branched chain amino acid utilization during exercise, European Journal of Applied Physiology 110(2):341-51, Settembre 2010
7- http://www.ncbi.nlm.nih.gov/pubmed/23913268