Catechine, gruppi etnici e Test-Antidoping

Breve introduzione:

Qualche giorno fa, scartabellando come di mio solito la letteratura scientifica, mi è capitato tra le mani uno studio che definirei tutto sommato interessante. Lo studio in questione prendeva in esame la possibilità di riscontrare esito negativo al classico Test Antidoping Testosterone:Epitestosterone ratio, in seguito al consumo di Té verde o bianco per via delle catechine in essi presenti.[1]

Ho quindi sfruttato l’occasione per sottolineare quando e come il più elementare dei test antidoping possa essere superato dall’atleta…

Tra chatechine e differenze genetiche di popolazione

I ricercatori della Kingston University di Londra hanno scoperto che bere tè verde o tè bianco può aiutare gli atleti che usano AAS a superare un test antidoping comunemente usato. Declan Naughton e colleghi hanno riferito che i composti noti come catechine possono consentire agli atleti di utilizzare dosi sovrafisioliche di Testosterone ed evitarne il rilevamento.

Il test del rapporto Testosterone:Epitestosterone (T:E ratio) viene spesso utilizzato per lo screening degli atleti sottoposti a test Anti-Doping per rilevare la somministrazione esogena di dosi sovrafisiologiche di Testosterone. Determina il rapporto tra Testosterone Glucuronide e Epitestosterone Glucoronide nelle urine di un atleta.

La somministrazione esogena di Testosterone non influenza i livelli di Epitestosterone. Pertanto, un atleta che utilizza Testosterone dovrebbe avere un rapporto più elevato di metaboliti del Testosterone nelle urine rispetto all’Epitestosterone. Le catechine presenti nel tè verde inibiscono un enzima chiamato UGT2B17. Questo enzima è responsabile del legame molecolare tra l’acido Glucuronico ad il Testosterone. Inibendo l’UGT2B17, un atleta presenterà un livello minore di Testosterone Glucuronide nelle urine. Quindi, questo atleta che usa Testosterone esogeno avrà una Testosterone:Epitestosterone ratio normale.

In pratica, l’UDP-glucuronosiltransferasi (UGT2B17) è l’enzima chiave coinvolto nella glucuronidazione del Testosterone a Testosterone Glucuronide, che funge anche da marker per la Testosterone/Epitestosterone (T/E) ratio per rilevare l’abuso di Testosterone nello sport. Gli inibitori della glucuronidazione del Testosterone potrebbero avere un impatto sui livelli di Testosterone circolante, favorendo così le prestazioni, oltre a influenzare potenzialmente il rapporto T/E urinario e quindi mascherare l’abuso di Testosterone. Rapporti precedenti hanno rivelato che i farmaci antinfiammatori non steroidei, il Diclofenac e l’Ibuprofene, inibiscono l’enzima UGT2B17. In questo studio l’analisi della glucuronidazione del Testosterone è stata condotta eseguendo i saggi UGT2B17 con il rilevamento del Testosterone non glucuronidato mediante cromatografia liquida ad alte prestazioni. I risultati dello studio hanno mostrato che la glucuronidazione del Testosterone è stata inibita dagli estratti di tè verde e bianco, insieme a specifici composti di catechina, in particolare: epicatechina, epigallocatechina gallato (EGCG) e catechina gallato. Il valore di inibizione IC50 per EGCG è stato determinato, utilizzando un diagramma Dixon, pari a 64μM, pari all’inibitore dei FANS più attivo, il Diclofenac. Pertanto, gli alimenti comuni e i loro costituenti, per la prima volta, sono stati identificati come inibitori di un enzima chiave coinvolto nella glucuronidazione del Testosterone. Sebbene questi composti comuni non siano substrati dell’enzima UGT2B17, è stato dimostrato che inibiscono la glucuronidazione del Testosterone che può avere implicazioni sull’attuale controllo del doping nello sport.

Struttura chimica del EGCG

La maggior parte degli individui ha un rapporto Testosterone:Epitestosterone di 1: 1. Ma rapporti fino a 4:1 non sono rari. L’Agenzia mondiale antidoping (WADA) considera un rapporto di 4:1 come un indicatore putativo di doping soggetto a conferma da un’altra procedura antidoping nota come test del rapporto degli isotopi di carbonio (CIR).

Il test della T:E ratio non può, ovviamente, indicare la differenza tra il Testosterone endogeno ed il Testosterone esogeno somministrato per via di iniezione, compressa o soluzione topica. I test CIR possono rilevare il Testosterone esogeno di origine vegetale. Tuttavia, se gli atleti riescono a superare con successo il test della T:E ratio, non sono soggetti al più preciso test CIR. Di conseguenza, se gli atleti possono evitare il rilevamento nel test della T:E ratio, possono evitare di essere scoperti per il loro uso di Testosterone esogeno.

Il tè verde può fornire un altro metodo per gli atleti al fine di superare indenni il test della T:E ratio. Il professor Charles Yesalis, un noto esperto di AAS ed epidemiologo presso la Pennsylvania State University, è stato a lungo schietto sulla cosiddetta “scappatoia del Testosterone”. Anche Don Catlin, l’ex direttore dell’Olympic Analytical Testing Lab dell’UCLA e fondatore dell’Anti-Doping Research Institute, ha riconosciuto che gli atleti possono usare il Testosterone senza essere scoperti anche se i tester antidoping sanno come farlo. “Potrei capire come assumere una buona quantità di Testosterone senza farmi scoprire, e se posso dirlo, anche molti altri possono farlo”, ha ammesso Catlin.

Gli atleti aggiungono semplicemente Epitestosterone al loro protocollo farmacologico per mantenere il rapporto 4:1. Tuttavia, devono mantenere i livelli assoluti di Testosterone Gluconoride ed Epitestosterone Gluconoride urinario al di sotto del limite consentito dalla WADA pari a 200ng/mL.

“La crema” utilizzata dalla BALCO più di un decennio fa era semplicemente una variazione del cocktail di Testosterone ed Epitestosterone che era stato storicamente utilizzato dagli atleti per decenni al fine di ingannare i test antidoping.

Gli “atleti BALCO” hanno utilizzato un esclusivo sistema di somministrazione transdermica per assumere una formula personalizzata di Testosterone ed Epitestosterone.

Un grammo di “Crema” conteneva 5mg di Epitestosterone per ogni 100mg di Testosterone in un rapporto di 1:20 secondo Victor Conte. Ciò ha permesso agli “atleti BALCO” di usare il Testosterone senza essere scoperti. Anche dopo l’indagine governativa da oltre 60 milioni di dollari sulla BALCO, il rapporto Mitchell da 20 milioni di dollari sull’uso di steroidi da parte dei giocatori di MLB e le sensazionali udienze del Congresso sugli steroidi nel baseball e in altri sport professionistici, la “scappatoia del Testosterone” non è stata chiusa.

La “crema” è efficace come sempre per un giocatore di baseball professionista.

Come se il test della T:E ratio non fosse abbastanza efficace come strumento antidoping, quattordici anni fa i ricercatori del Karolinska University Hospital di Stoccolma hanno scoperto che alcuni atleti si possono somministrare quantità impressionanti di Testosterone e non risultare positivi al test antidoping della T:E ratio per via della mancanza del gene per la sintesi dell’enzima UGT2B17.

Circa il 40% di questi atleti “dotati geneticamente” potrebbe iniettarsi 500mg di Testosterone Enantato (360mg di Testosterone effettivi) senza risultare positivi al test della T:E ratio della WADA.

E questa anomalia genetica è relativamente comune ed è più comune in alcuni gruppi etnici. Pertanto, l’etnia di un atleta può dargli un vantaggio sul test antidoping “base”:

  • 78,0% – Mulatto (brasiliano)
  • 66,7% – Asia orientale (coreano)
  • 57,3% – Cape Coloured (Città del Capo, Sudafrica)
  • 37,6% – Meticcio messicano
  • 30,4% – Asia del Pacifico (Asia sudorientale/cinese meridionale, indiana asiatica, giapponese)
  • 29,1% – Neri (afroamericani, neri africani, neri sud/centroamericani)
  • 9,3% – Caucasico bianco (svedese)
  • 3,5% – Caucasico bianco (principalmente europeo)

Conclusione:

Adesso sappiamo che il tè verde o il tè bianco, per azione delle catechine, o alcuni farmaci FANS, possono bloccare efficacemente l’enzima UGT2B17.

L’uso del Testosterone rimane uno dei metodi più popolari utilizzati dagli atleti che usano steroidi anabolizzanti per evitare il rilevamento. La “scappatoia del Testosterone” continuerà ad essere sfruttata finché il test della T:E ratio verrà utilizzato come schermo principale per la rilevazione d’uso del Testosterone esogeno.

Gabriel Bellizzi

Riferimenti:

1- Jenkinson, C. et al. (2012). Dietary green and white teas suppress UDP-glucuronosyltransferase UGT2B17 mediated testosterone glucuronidation. Steroids. http://dx.doi.org/10.1016/j.steroids.2012.02.023.

Proteine vegetali e risposta anabolica

Introduzione:

Detesto parlare di argomenti già largamente dibattuti in altra sede, ma in questo caso, parlare in modo dettagliato di proteine vegetali e tasso di sintesi proteica correlato mi è sembrato in un certo senso doveroso. D’altra parte, non tollero gli slogan universalistici dei “nazivegani” e nemmeno quelli dei “paleonazi”. Indi per cui, eccomi qui, ad usare una recentissima e ottima review intitolata “The Anabolic Response to Plant-Based Protein Ingestion”, realizzata da Philippe J. M. Pinckaers, Jorn Trommelen, Tim Snijders & Luc J. C. van Loonche, la quale ci fornisce la bibliografia scientifica corretta per trattare nel migliore dei modi l’argomento in questione.

Il fatto che ci sia una palese e crescente tendenza globale di interesse verso le diete a base vegetale non è oggetto di dubbio alcuno. Ciò include un aumento del consumo di proteine ​​di origine vegetale a scapito delle proteine ​​di origine animale. Le proteine ​​di origine vegetale sono ora frequentemente utilizzate anche nell’alimentazione sportiva. Finora, sappiamo che l’ingestione di proteine ​​di origine vegetale, come le proteine ​​della soia e del grano, determina una riduzione delle risposte di sintesi proteica muscolare post-prandiale rispetto all’ingestione di una quantità equivalente di proteine ​​animali. Le minori proprietà anaboliche delle proteine ​​vegetali rispetto a quelle di origine animale possono essere attribuite alle differenze nella loro digestione ​​e nella cinetica di assorbimento degli amminoacidi che le compongono, nonché alle differenze nella composizione degli amminoacidi tra queste fonti proteiche. La maggior parte delle proteine ​​vegetali ha un basso contenuto di aminoacidi essenziali e spesso è carente di uno o più aminoacidi specifici, come Lisina e Metionina. Tuttavia, ci sono grandi differenze nella composizione degli amminoacidi tra varie proteine ​​di origine vegetale o fonti proteiche di origine vegetale. Finora, solo pochi studi hanno confrontato direttamente la risposta di sintesi proteica ​​muscolare a seguito dell’ingestione di una proteina di origine vegetale rispetto a una proteina di origine animale di alta qualità. Le proprietà anabolizzanti inferiori proposte delle proteine ​​di origine vegetale rispetto a quelle di origine animale possono essere compensate da:

  1. consumando una maggiore quantità di proteine ​​di origine vegetale o fonte di proteine ​​di origine vegetale per compensare la qualità inferiore;
  2. utilizzare miscele specifiche di proteine ​​vegetali per creare un profilo aminoacidico più equilibrato;
  3. fortificare la proteina (fonte) a base vegetale con l’amminoacido/i libero/i specifico/i che è/sono carente/i.

Sono necessari studi clinici per valutare le proprietà anaboliche delle varie proteine ​​di origine vegetale e delle loro fonti proteiche in vivo nell’uomo e per identificare i fattori che possono o meno compromettere la capacità di stimolare i tassi di sintesi proteica muscolare post-prandiale. Tale lavoro è necessario per determinare se la transizione verso una dieta più a base vegetale sia accompagnata da una transizione verso un maggiore fabbisogno di assunzione di proteine ​​nella dieta.

Una singola sessione di esercizio contro resistenza aumenta i tassi di sintesi proteica muscolare e, in misura minore, i tassi di degradazione proteica muscolare [1]. Tuttavia, il bilancio proteico muscolare netto non diventa positivo a meno che non vengano forniti aminoacidi esogeni [2]. L’assunzione di proteine ​​nella dieta aumenta i tassi di sintesi proteica muscolare a riposo [3,4,5] e aumenta ulteriormente i tassi di sintesi proteica muscolare durante il recupero dall’esercizio [2, 6, 7]. Diversi studi hanno dimostrato che oltre alla quantità di proteine ​​[8,9,10,11], la cinetica di digestione e assorbimento [12] e la composizione aminoacidica di una proteina (fonte) [13,14] determinano in gran parte la risposta di sintesi proteica muscolare correlata all’alimentazione. La risposta sintetica delle proteine ​​muscolari all’ingestione di proteine ​​può, quindi, variare sostanzialmente tra le diverse fonti di proteine ​​alimentari [13,14,15,16,17]. La risposta differenziale delle proteine ​​muscolari sintetiche all’alimentazione dipende in gran parte dall’aumento post-prandiale delle concentrazioni plasmatiche di aminoacidi essenziali [5], con particolare importanza delle concentrazioni plasmatiche di Leucina [18,19,20,21,22,23,24] . L’aumento post-prandiale degli amminoacidi circolanti e il successivo aumento della velocità di sintesi proteica muscolare sono regolati su vari livelli, che vanno dalla digestione delle proteine ​​alimentari, all’assorbimento degli amminoacidi, al sequestro degli amminoacidi splancnici, alla perfusione tissutale post-prandiale, all’assorbimento degli amminoacidi da parte del muscolo e l’attivazione del processo di sintesi delle proteine muscolari [4, 25]. Ad oggi, la maggior parte degli studi si è concentrata sulla valutazione della risposta sintetica delle proteine ​​muscolari post-prandiale con fonti quali proteine ​​del latte [15, 17, 21, 26,27,28,29,30,31] e della carne [10, 32,33,34]. Il sostanziale aumento dei tassi di sintesi proteica muscolare osservato a seguito dell’ingestione di queste proteine ​​o fonti proteiche è stato attribuito al rapido aumento post-prandiale delle concentrazioni plasmatiche di aminoacidi essenziali circolanti.

Con la popolazione mondiale che si prevede raggiungerà circa 9,6 miliardi entro il 2050, la produzione di quantità sufficienti di alimenti convenzionali a base animale e ad alto contenuto proteico per soddisfare la domanda globale di proteine ​​alimentari potrebbe non essere più auspicabile o fattibile. Le società occidentali benestanti mostrano una forte tendenza nella transizione verso una dieta più a base vegetale [35]. Ciò include un aumento del consumo di proteine ​​di origine vegetale a scapito delle proteine ​​di origine animale. Sebbene il mercato attuale offra già un’ampia selezione di proteine ​​​​di origine vegetale e fonti proteiche di origine vegetale, vi è una scarsità di studi che hanno valutato la biodisponibilità e le proprietà anaboliche delle proteine ​​​​di origine vegetale [13, 14, 16, 36 ,37,38]. Alcuni [14, 16, 36], ma non tutti [13, 37, 38] di questi studi mostrano che l’ingestione di proteine ​​di origine vegetale, come le proteine ​​della soia e del grano, determina una risposta sintetica delle proteine ​​muscolari inferiore rispetto a l’ingestione di una quantità equivalente di proteine ​​di origine animale. Di conseguenza, le proteine ​​vegetali sono generalmente considerate avere proprietà anaboliche minori. Tuttavia, questo concetto si basa su un numero limitato di confronti e potrebbe non tradursi in tutte le fonti proteiche di origine vegetale. Le proprietà anabolizzanti minori proposte delle proteine ​​vegetali rispetto a quelle animali sono state attribuite alle differenze nella loro digestione delle proteine ​​e nella cinetica di assorbimento degli amminoacidi, nonché alle differenze nella composizione degli amminoacidi tra queste proteine. In precedenza, abbiamo riportato differenze sostanziali nella composizione degli amminoacidi tra varie fonti proteiche di origine vegetale [39]. Sebbene la composizione amminoacidica possa essere piuttosto variabile tra le diverse proteine ​​vegetali, la maggior parte delle proteine ​​vegetali ha un contenuto di amminoacidi essenziali relativamente basso e spesso è carente di uno o più amminoacidi specifici, come leucina, lisina e/o metionina [39]. Finora, solo pochi studi hanno confrontato direttamente la risposta sintetica delle proteine ​​muscolari dopo l’ingestione di una proteina di origine vegetale rispetto a una proteina di origine animale di alta qualità [13, 14, 16, 36,37,38]. Inoltre, si sa ancora meno sulle diverse strategie che possono essere applicate per migliorare le proprietà anaboliche delle proteine ​​vegetali.

Lo scopo della review che in questa sede viene usata come fonte principale, è quello di fornire una panoramica aggiornata sulla biodisponibilità e le proprietà anaboliche delle proteine vegetali in vivo nell’uomo. Si discuteranno diverse strategie che possono essere applicate per compensare la minore qualità delle proteine vegetali e, come tali, aumentare i tassi di sintesi proteica muscolare post-prandiale. Si tratterà la necessità di far progredire la ricerca nutrizionale estendendo gli studi dal semplice confronto dei tassi di sintesi proteica muscolare post-prandiale in seguito all’ingestione di isolati o concentrati proteici di origine vegetale rispetto a quelli di origine animale alla valutazione dell’impatto dell’ingestione di cibi integrali e pasti misti sul post-prandiale. sintesi proteica muscolare prandiale. Infine, si discuterà sulle credenze attuali riguardo all’uso di proteine vegetali nel campo della nutrizione sportiva e verranno forniti esempi di altre fonti proteiche alternative che possono essere applicate in futuro per supportare il condizionamento muscolare.

Digestione delle proteine e assorbimento degli aminoacidi:

Dopo l’ingestione di cibo, le proteine ​​alimentari devono essere digerite e assorbite affinché gli aminoacidi diventino disponibili nella circolazione sistemica, dove possono modulare la sintesi proteica e il catabolismo del tessuto muscolare. La digestione delle proteine ​​avviene nella bocca, nello stomaco e nell’intestino tenue, dove le proteine ​​subiscono una scomposizione meccanica e chimica in costituenti più piccoli [40]. Quando gli amminoacidi vengono successivamente assorbiti dal lume gastrointestinale, sono considerati, per l’appunto assorbiti, assimilati. Una parte consistente degli amminoacidi assorbiti sarà trattenuta e metabolizzata nella regione splancnica, ma la maggior parte sarà rilasciata in circolo, dopodiché saranno disponibili per l’assorbimento nei tessuti periferici. La valutazione quantitativa della digeribilità delle proteine, dell’assorbibilità, dell’estrazione splancnica e del rilascio di aminoacidi nella circolazione è complessa e solo pochi studi hanno cercato di quantificare la manipolazione delle proteine ​​post-prandiali in vivo nell’uomo [4]. Gli studi hanno riportato differenze sostanziali nella digestione delle proteine ​​e nella cinetica di assorbimento degli aminoacidi in seguito all’ingestione di diverse proteine ​​e fonti proteiche. In generale, gli alimenti integrali di origine vegetale hanno una capacità di assorbimento inferiore rispetto agli alimenti integrali di origine animale. Ad esempio, dati recenti sugli esseri umani hanno dimostrato che ~ 85-95% delle proteine ​​negli albumi, nelle uova intere e nel pollo viene assorbito, rispetto al solo  ~ 50-75% delle proteine ​​​​in ceci, fagioli mung e piselli gialli [41, 42]. La minore assorbibilità delle proteine ​​vegetali può essere attribuita a fattori antinutrizionali presenti nelle fonti proteiche vegetali, come fibre e tannini polifenolici [43]. Ciò sembra essere supportato dall’osservazione che la decorticazione dei fagioli mung aumenta la loro capacità di assorbire le proteine ​​del  ~ 10% [44]. Quando una proteina vegetale viene estratta e purificata da fattori antinutrizionali per produrre un isolato o concentrato proteico di origine vegetale, la successiva assorbibilità proteica raggiunge tipicamente livelli simili a quelli osservati per le fonti proteiche convenzionali di origine animale [45]. Ciò implica che la bassa assorbibilità delle fonti proteiche vegetali non è una proprietà intrinseca di una proteina vegetale di per sé, ma semplicemente il risultato della matrice alimentare integrale della fonte proteica.

Schema figurativo della digestione e assorbimento delle proteine/amminoacidi (immagine di Allison Calabrese)

L’assorbibilità delle proteine ​​è stata a lungo riconosciuta come una componente cruciale della qualità nutrizionale di una fonte proteica [46]. Attualmente, l’Organizzazione delle Nazioni Unite per l’alimentazione e l’agricoltura (FAO) e l’Organizzazione Mondiale della Sanità (OMS) raccomandano il Digestible Indispensable Amino Acid Score (DIAAS) per quantificare la qualità delle proteine ​​alimentari [47]. Il DIAAS di una proteina si basa sulla sua capacità di soddisfare il fabbisogno di ogni amminoacido essenziale, che si riflette nel profilo amminoacidico e nell’assorbibilità di ogni singolo amminoacido essenziale. Tuttavia, una limitazione del punteggio DIAAS è che tiene conto solo dell’assorbibilità complessiva delle proteine ​​(assorbimento cumulativo) e non della cinetica di assorbimento degli amminoacidi (la velocità con cui vengono assorbiti gli amminoacidi). Diversi studi suggeriscono che un tasso più rapido di assorbimento degli aminoacidi è un fattore indipendente che modula la risposta di sintesi delle proteine ​​muscolari dall’alimentazione [17, 48,49,50], sebbene tale associazione non sia sempre osservata [51, 52]. Sono disponibili pochi dati sulla cinetica di assorbimento degli aminoacidi in seguito all’ingestione di fonti proteiche vegetali o di isolati o concentrati proteici di origine vegetale. Per quanto riguarda l’aumento post-prandiale delle concentrazioni di aminoacidi circolanti come proxy per la digestione delle proteine ​​e l’assorbimento degli aminoacidi, i dati sembrano suggerire che gli isolati o i concentrati proteici di origine vegetale sono rapidamente digeribili [13, 16, 38, 53, 54] e non sembrano differire sostanzialmente dalla maggior parte delle proteine ​​o fonti proteiche di origine animale. È più che probabile che i fattori antinutrizionali nelle fonti proteiche vegetali (alimenti integrali) non solo compromettano l’assorbimento complessivo delle proteine, ma attenuino anche l’aumento post-prandiale dei tassi di assorbimento degli aminoacidi. A causa delle apparenti differenze nell’assorbimento delle proteine, nella digestione delle proteine ​​e nella cinetica di assorbimento degli amminoacidi, dobbiamo fare attenzione quando ci riferiamo alle proteine ​​vegetali per specificarle come fonti proteiche di origine vegetale o piuttosto come isolati o concentrati proteici di origine vegetale.

Composizione amminoacidica delle proteine:

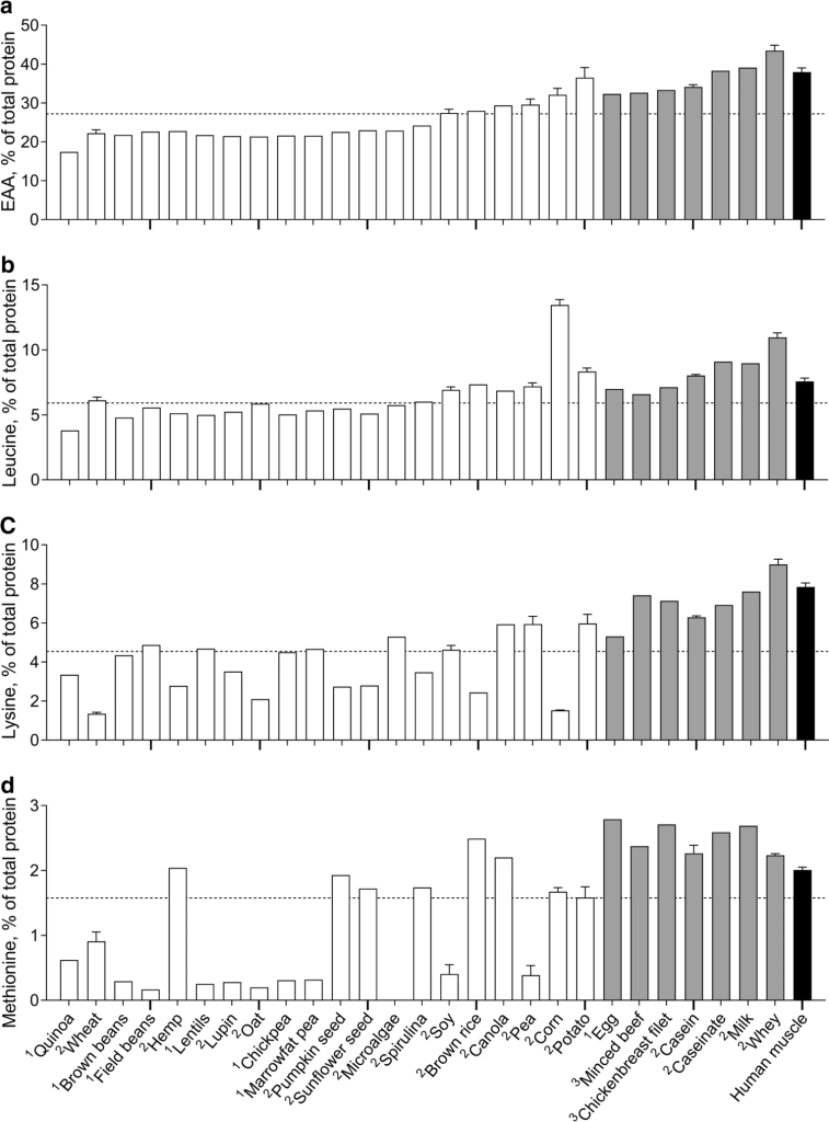
Dopo la digestione delle proteine ​​alimentari e l’assorbimento degli amminoacidi, una grande porzione degli amminoacidi derivati ​​dalle proteine ​​alimentari viene rilasciata nella circolazione. L’aumento post-prandiale della concentrazione di aminoacidi plasmatici attiva i processi di sintesi proteica nel tessuto muscolare scheletrico fornendo anche i precursori necessari per consentire l’aumento dei tassi di sintesi proteica muscolare [5, 7, 55]. Gli amminoacidi essenziali sono considerati i principali responsabili della stimolazione post-prandiale della sintesi proteica muscolare [55]. In accordo, è stata riportata una relazione dose-dipendente tra la quantità di aminoacidi essenziali ingeriti e la risposta di sintesi proteica muscolare post-prandiale [56]. Di conseguenza, le proteine ​​con un contenuto più alto di aminoacidi essenziali sono generalmente considerate proteine ​​di qualità più alta e hanno anche maggiori probabilità di stimolare (fortemente) la sintesi proteica muscolare post-prandiale. In precedenza, abbiamo dimostrato che il contenuto di amminoacidi essenziali delle proteine ​​vegetali è generalmente inferiore rispetto alle proteine ​​di origine animale [39, 57]. Nella review correntemente utilizzata, è stata inclusa una panoramica estesa della composizione amminoacidica di un’ampia varietà di proteine ​​(fonti) che è stata analizzata (Fig. seguente). Tuttavia, ci sono anche proteine ​​di origine vegetale (come proteine ​​di soia, riso integrale, colza, piselli, mais e patate) che hanno un contenuto di aminoacidi essenziali relativamente alto, che soddisfa i requisiti raccomandati dall’OMS/FAO/UNU (United Nations University ) [58]. Infatti, i contenuti di aminoacidi essenziali delle proteine ​​derivate da colza (29%), pisello (30%), mais (32%) e patate (37%) sono paragonabili o addirittura superiori a quelli della caseina (34%) o proteine ​​dell’uovo (32%) [39]. Pertanto, alcune proteine ​​vegetali potrebbero, in teoria, fornire amminoacidi essenziali sufficienti per consentire un significativo aumento post-prandiale del tasso di sintesi proteica del muscolo scheletrico.

Contenuto di aminoacidi essenziali (EAA, pannello a), Leucina (pannello b), Lisina (pannello c) e Metionina (pannello d) (espresso come % delle proteine totali) di varie fonti proteiche alimentari e proteine del muscolo scheletrico umano. Le barre bianche rappresentano le fonti proteiche di origine vegetale, le barre grigie rappresentano le fonti proteiche di origine animale e la barra nera rappresenta le proteine del muscolo scheletrico umano. La linea tratteggiata rappresenta il fabbisogno di aminoacidi per gli adulti (WHO/FAO/UNU Expert Consultation 2007 [58]). Nota: EAA, in questo specifico caso, è riferito alla somma di Istidina, Isoleucina, Leucina, Lisina, Metionina, Fenilalanina, Treonina e Valina, poiché il Triptofano non è stato misurato. I valori ottenuti da più prodotti sono espressi come media (± SEM). Questa figura rappresenta un’estensione dei dati precedentemente presentati da Gorissen et al. 2018 [39], valutati con lo stesso metodo. 1 Farina, 2 Concentrato/isolato proteico, 3 Prodotto crudo liofilizzato.[fonte immagine: The Anabolic Response to Plant-Based Protein Ingestion]

Tra tutti gli amminoacidi essenziali, la Leucina rappresenta l’amminoacido con le più forti proprietà anaboliche. La Leucina viene rilevata dalla sestrina2, che promuove la traslocazione del mTORC1 alla membrana del lisosoma dove viene attivato, con conseguente attivazione delle vie di segnalazione anabolizzanti a valle che controllano la sintesi proteica del tessuto muscolare [59,60,61 ]. L’attuale fabbisogno di Leucina all’interno di una determinata fonte proteica è fissato al 5,9% dall’OMS/FAO/UNU [58]. Mentre le proteine ​​vegetali come la canapa (5,1% di Leucina) e il lupino (al 5,2%) sono inferiori, altre proteine ​​come l’avena (5,9%), la spirulina (6,0%) e le proteine ​​del grano (6,1%) forniscono Leucina in quantità prossime a quelle raccomandate. Inoltre, le proteine ​​vegetali come la soia (6,9%), colza (6,9%), pisello (7,2%), riso integrale (7,4%), patate (8,3%) e mais (13,5%) hanno contenuti di Leucina che superano il requisiti consigliati. Il contenuto di Leucina delle proteine ​​della patata (8,3%) è lievemente più elevato rispetto alla caseina (8,0%) o alle proteine ​​dell’uovo (7,0%). Inoltre, il contenuto di Leucina delle proteine ​​del mais (13,5%) è addirittura superiore alle proteine ​​del siero di latte (11,0%), quest’ultima delle quali è tipicamente considerata la proteina con il più alto contenuto di Leucina e il più forte potenziale anabolico tra le proteine ​​di origine animale ( figura seguente).

Precedenti studi hanno dimostrato che l’ingestione di 20-25g di proteine ​​del siero di latte (che fornisce 2,2-2,7g di Leucina) aumenta notevolmente i tassi di sintesi proteica muscolare [11, 62,63,64]. La quantità di Leucina ingerita necessaria per stimolare al massimo il processo di sintesi proteica muscolare può essere modulata dalla sua matrice proteica (ad es. Digestione e cinetica di assorbimento e disponibilità di altri amminoacidi). Tuttavia, se assumiamo che l’ingestione di 2,7g di Leucina sia sufficiente per innescare al massimo il processo di sintesi proteica muscolare, è evidente che ciò può essere ottenuto anche mediante l’ingestione di fonti proteiche di origine vegetale. Le proteine ​​vegetali possono fornire la stessa quantità di Leucina semplicemente fornendo una quantità equivalente di proteine ​​in base al loro contenuto intrinseco del amminoacido in questione. Ad esempio, per le proteine ​​derivate dal mais (13,5% di Leucina), l’ingestione di soli 20 g di proteine ​​fornirebbe già 2,7g di Leucina. Al contrario, > 25g di altre proteine ​​vegetali dovrebbero essere ingeriti per fornire 2,7g di Leucina. Infatti, l’ingestione di  ~ 33g di proteine delle patate,  ~ 37g di quelle del riso integrale,  ~ 38g di quelle dei piselli,  ~ 40g di quelle della colza,  ~ 40g di quelle della soia e  ~ 45g di proteine ​​del grano sarebbe necessaria per ingerire 2,7g di Leucina [39]. Dalle proteine ​​e dalle fonti proteiche analizzate, la proteina della quinoa sembra avere il contenuto di Leucina più basso (3,8%). Sarebbe necessario ingerire  ~ 71g di proteine ​​della quinoa per fornire 2,7g di Leucina. Naturalmente, questo rappresenta solo la quantità di Leucina che si ritiene attivi completamente il processo di sintesi delle proteine ​​muscolari. Oltre ad attivare le vie di segnalazione che stimolano la sintesi proteica muscolare, possono essere necessari significative quantità di amminoacidi essenziali come precursori per consentire un efficiente accrescimento proteico muscolare [65]. Un apporto insufficiente di uno (o più) aminoacidi essenziali o non essenziali sarebbe teoricamente restrittivo e, come tale, attenuerebbe l’aumento post-prandiale del tasso di sintesi proteica muscolare.

Oltre ad avere un contenuto di aminoacidi essenziali relativamente basso (cioè basso contenuto di Leucina), molte proteine ​​vegetali sono carenti di uno o più aminoacidi specifici. Le proteine ​​vegetali sono spesso particolarmente basse nel contenuto di Lisina e/o Metionina (da 1,4 a 6% e da 0,2 a 2,5%, rispettivamente) rispetto alle proteine ​​animali (da 5,3 a 9,0% e da 2,2 a 2,8%, rispettivamente). Il contenuto di Lisina nel frumento (1,4%), nel mais (1,5%), nell’avena (2,1%), nel riso integrale (2,4%), nei semi di zucca (2,7%), nei semi di girasole (2,8%), nella canapa (2,8%), nella quinoa (3,3%), e nelle proteine ​​della spirulina (3,5%) e del lupino (3,5%) sono ben al di sotto dei requisiti OMS/FAO/UNU (4,5%) e sostanzialmente inferiori rispetto alle proteine della soia (4,6%), colza (5,9%), pisello (5,9%) e patate (6,0%). Un numero considerevole di proteine ​​vegetali non soddisfa inoltre il fabbisogno di Metionina (1,6%), con avena (0,2%), fagiolino (0,2%), fagiolo marrone (0,3%), lenticchia (0,3%), ceci (0,3%). ), pisello grasso di midollo (0,3%), lupino (0,3%), pisello (0,4%), soia (0,4%), quinoa (0,6%) e proteine ​​del grano (0,9%) che forniscono molta meno Metionina. Al contrario, altre proteine ​​vegetali come quelle della patata (1,6%), del mais (1,7%), della spirulina (1,7%), dei semi di girasole (1,7%), dei semi di zucca (1,9%), della canapa (2,0%), della colza ( Il 2,2%) e le proteine ​​del riso integrale (2,5%) tendono a soddisfare i requisiti di contenuto di Metionina. Chiaramente, c’è una notevole variabilità nella composizione degli amminoacidi tra le molte diverse proteine ​​vegetali e le fonti proteiche vegetali.

Solo una manciata di studi ha confrontato direttamente i tassi di sintesi proteica muscolare post-prandiale dopo l’ingestione di proteine ​​vegetali rispetto a quelle di origine animale [13, 14, 16, 36,37,38]. È stato dimostrato che l’ingestione di proteine ​​della soia è meno efficace nello stimolare i tassi di sintesi proteica muscolare post-prandiale rispetto all’ingestione di una quantità equivalente di proteine ​​del siero di latte sia nei giovani che negli anziani a riposo e durante il recupero dall’esercizio [13, 14, 36], ma più efficace delle proteine ​​della caseina [13]. Inoltre, Yang et al. [14] hanno mostrato che l’ingestione di una quantità maggiore (40g contro 20g) di proteine ​​della soia non ha compensato la minore risposta sintetica delle proteine ​​muscolari rispetto all’ingestione di 20g di proteine ​​del siero di latte isolate. Non è stato osservato un significativo aumento post-prandiale dei tassi di sintesi proteica muscolare a seguito dell’ingestione di 35g di idrolizzato proteico di grano in un gruppo di uomini anziani sani [16]. Quando è stato aumentata la quantità di idrolizzato proteico del grano a 60g, fornendo così la stessa quantità di Leucina presente in 35g di proteine ​​del siero di latte, si è osservato un significativo aumento dei tassi di sintesi proteica muscolare. Chiaramente, questi dati sembrano supportare l’ipotesi che le differenze nella composizione amminoacidica possano essere, almeno in parte, compensate ingerendo maggiori quantità della specifica fonte proteica.

Più recentemente, non sono state osservate differenze nei tassi di sintesi proteica muscolare post-prandiale a seguito dell’ingestione di 30g di idrolizzato di proteine del grano o della stessa quantità di concentrato di proteine del latte [38]. In contrasto con il lavoro precedente del gruppo di ricerca responsabile della review utilizzata per questo articolo, questo studio è stato condotto su giovani adulti attivi nel tempo libero. La maggiore sensibilità del tessuto muscolare scheletrico alle proprietà anaboliche degli amminoacidi dovuta al più alto livello di attività abituale negli adulti più giovani e più attivi [66, 67] potrebbe essere stata responsabile dell’assenza di differenze misurabili nella risposta post-prandiale di sintesi proteica in seguito all’ingestione di 30g di proteine del grano rispetto a quelle derivate dal latte. Chiaramente, dobbiamo capire che le differenze nelle risposte anaboliche all’ingestione di fonti proteiche vegetali rispetto a quelle animali dipenderanno anche dalla quantità di proteine fornite e dalla popolazione specifica in cui viene effettuato il confronto.

In breve, la composizione aminoacidica delle fonti proteiche di origine vegetale può essere molto variabile. Pertanto, sono necessari ulteriori studi per valutare le proprietà anaboliche di varie proteine ​​di origine vegetale e animale e fonti proteiche oltre i pochi confronti attualmente disponibili (proteine di soia e grano). Inoltre, va notato che l’esito di questi confronti sarà probabilmente diverso a seconda della quantità di proteine ingerite e della popolazione e dell’ambiente in cui vengono effettuati i confronti.

Migliorare le proprietà anabolizzanti delle proteine vegetali:

Come discusso in precedenza, le proprietà anaboliche minori proposte delle proteine di origine vegetale rispetto a quelle di origine animale possono essere attribuite a differenze nell’assorbimento delle proteine, nella digestione delle proteine e nella cinetica di assorbimento degli amminoacidi e/o nella composizione degli amminoacidi delle proteine. Esistono varie strategie nutrizionali che possono essere applicate per migliorare le proprietà anaboliche delle proteine vegetali a seconda del/i fattore/i responsabile/i della ridotta capacità anabolica proposta.

Rappresentazione categorica della fattibilità del consumo di 20g di proteine fornite dall’ingestione dell’intera fonte di cibo (asse x), con la quantità di cibo che deve essere consumata espressa in porzioni con il concomitante apporto energetico equivalente (asse y). Porzioni: carne/salmone: ~ 100g, uova: ~ 120g (2 uova), soia: ~ 100g, piselli: ~ 150g, ceci: ~ 150g, arachidi: ~ 50g, pane (grano): ~ 70g (2 fette), latte: ~ 200ml, mais: ~ 150g, avena ~ 40g (crudo), quinoa: ~ 75g (crudo), riso integrale: ~ 75g (crudo), patate: 175g. [fonte immagine: The Anabolic Response to Plant-Based Protein Ingestion]

L’assorbibilità di una fonte proteica vegetale è spesso compromessa dalla presenza di fattori antinutrizionali nelle fonti proteiche vegetali, come fibre e tannini polifenolici [43]. La lavorazione di cibi integrali può aumentare fortemente l’assorbibilità delle proteine ​​intrinseche. È stato dimostrato che la decorticazione dei fagioli prima del consumo rappresenta un mezzo efficace per aumentare la capacità di assorbire la proteina intrinseca [44]. L’estrazione di proteine ​​e la purificazione da fattori antinutrizionali per produrre un isolato o concentrato di proteine ​​di origine vegetale migliora ulteriormente l’efficienza con cui le proteine ​​di origine vegetale possono essere assorbite [45]. Inoltre, il trattamento termico e l’idrolizzazione della proteina aumentano ulteriormente la digeribilità e/o migliorano la digestione delle proteine ​​e la cinetica di assorbimento degli amminoacidi [3, 68]. Questi processi sono generalmente applicati nella maggior parte delle fonti proteiche vegetali e animali che acquistiamo come prodotti alimentari (lavorati) o come isolati o concentrati proteici. Chiaramente, quando si tratta di alimenti, i vari processi coinvolti nella raccolta, lavorazione, conservazione, cottura, masticazione e ingestione contribuiscono tutti all’assorbibilità della fonte proteica finale e alla velocità della sua digestione delle proteine ​​e assorbimento degli amminoacidi. Questi processi differiscono anche tra i vari alimenti che insieme formano i nostri pasti compositi. Il lavoro futuro dovrà affrontare le proprietà anaboliche degli alimenti reali e, cosa più importante, la risposta di sintesi delle proteine ​​muscolari all’ingestione di pasti completi.

Le proprietà anaboliche minori di alcune proteine ​​di origine vegetale possono essere attribuite al contenuto di amminoacidi essenziali (più basso) e/o alle carenze di amminoacidi specifici di quella fonte proteica. Il modo più semplice per compensare la qualità proteica inferiore di una fonte proteica a base vegetale rispetto a quella animale è semplicemente consumare una quantità maggiore della proteina di qualità inferiore. A supporto, abbiamo osservato che l’ingestione di 60g rispetto a 35g di un idrolizzato proteico di grano ha effettivamente aumentato i tassi di sintesi proteica muscolare post-prandiale in un gruppo di uomini anziani sani [16]. Sebbene questa strategia possa non applicarsi a tutte le proteine ​​vegetali [64], l’aumento del dosaggio proteico per compensare il minor contenuto di aminoacidi essenziali o una specifica carenza di aminoacidi dovrebbe teoricamente migliorare la risposta di sintesi proteica post-prandiale. Tuttavia, mentre una tale strategia sarebbe facile da applicare quando si considera l’uso di un isolato o concentrato di proteine ​​di origine vegetale, potrebbe non essere sempre pratica o fattibile quando si considerano gli alimenti (interi) a base vegetale. La minore densità proteica della maggior parte delle fonti proteiche vegetali aumenterebbe notevolmente sia il contenuto calorico totale che il volume del cibo vegetale che dovrebbe essere consumato. Il semplice consumo di 20g di proteine ​​sotto forma di fonte proteica vegetale è già impegnativo, sia dal punto di vista del volume del cibo che del contenuto calorico. La ricerca attuale si è concentrata sulla valutazione delle proprietà anaboliche di isolati proteici o idrolizzati di origine vegetale. L’ingestione di grandi quantità di una singola fonte proteica vegetale sotto forma di alimento intero non sarà sempre fattibile, specialmente in un ambiente più clinico in cui l’assunzione di cibo è generalmente compromessa, o in un ambiente sportivo in cui gli atleti devono aderire a rigide regole quantitative di calorie.

Panoramica di potenziali problemi e soluzioni per ottimizzare la risposta anabolica in seguito al consumo di proteine ​​vegetali. (1) Per gli alimenti a base vegetale con un’elevata qualità proteica, ma un basso contenuto proteico (ad es. patate), l’estrazione di isolati proteici di alta qualità costituisce un metodo efficace per consentire l’ingestione di una quantità desiderata di proteine. (2) Per le fonti alimentari di origine vegetale con carenze di aminoacidi specifici (ad es. mais: a basso contenuto di Lisina), un isolato o concentrato proteico può essere fortificato con l’aminoacido(i) libero(i) carente(i) per migliorare il profilo del contenuto di aminoacidi. (3) Le fonti alimentari di origine vegetale con carenze di specifici aminoacidi essenziali possono essere combinate per migliorare il profilo amminoacidico complessivo della miscela proteica. Ad esempio, i piselli sono poveri di Metionina ma ricchi di Lisina; al contrario, il riso integrale è ricco di Metionina ma povero di Lisina. Una miscela che combina piselli e riso integrale soddisferebbe i requisiti complessivi di aminoacidi. (4) Quando le fonti alimentari di origine vegetale (o gli isolati proteici) sono carenti di uno o più amminoacidi (ad esempio lenticchie, frumento), ciò può essere compensato semplicemente ingerendo una maggiore quantità della fonte proteica vegetale. Illustrazioni: il saldo della bilancia rappresenta la quantità di cibo da consumare per fornire 20g di proteine, se non diversamente indicato. Il peso per riso integrale e lenticchie rappresenta le quantità cotte. La linea orizzontale tratteggiata nei grafici rappresenta il fabbisogno di aminoacidi per gli adulti (WHO/FAO/UNU Expert Consultation 2007 [58]). EAA Aminoacido essenziale.[fonte immagine: The Anabolic Response to Plant-Based Protein Ingestion]
Quantità delle fonti proteiche integrali selezionate da consumare per consentire l’ingestione di 20g di proteine. Sono illustrati carne, soia, piselli, ceci, riso integrale e patate in ordine di contenuto proteico (dall’alto al basso).[fonte immagine: The Anabolic Response to Plant-Based Protein Ingestion]

Una strategia alternativa per aumentare il potenziale anabolico di una fonte proteica vegetale consiste nel combinare diversi tipi di proteine ​​e/o fonti per fornire una miscela proteica con un profilo aminoacidico più equilibrato. Mentre alcune proteine ​​vegetali sono particolarmente carenti di Lisina, altre sono carenti di Metionina [39]. Ad esempio, le proteine ​​del mais, della canapa, del riso integrale, della soia e dei piselli hanno un basso contenuto di Lisina e/o Metionina. Per ogni fonte proteica, questa carenza potrebbe essere compensata consumando 2-4 volte di più della stessa proteina. Tuttavia, la combinazione di proteine ​​di mais, canapa o riso integrale (basso contenuto di Lisina e alto contenuto di Metionina) con una quantità uguale di proteine ​​della soia o dei piselli (basso contenuto di Metionina e alto contenuto di Lisina) fornisce una miscela con un profilo aminoacidico più equilibrato. Tali miscele richiederebbero solo 1,1-1,9 volte più proteine ​​da consumare per compensare carenze specifiche di aminoacidi [39]. Oltre alle esclusive miscele proteiche a base vegetale, anche le combinazioni di proteine ​​vegetali e animali possono svolgere un ruolo importante nella tendenza a ridurre il consumo di alimenti di origine animale senza compromettere la qualità delle proteine. L’avena, il lupino, la quinoa e le proteine ​​del grano hanno un basso contenuto sia di Lisina che di Metionina, che potrebbe teoricamente essere compensato ingerendo da 3 a 8 volte più della rispettiva fonte proteica. Tuttavia, la miscelazione di queste proteine ​​con una quantità uguale di una proteina di origine animale richiederebbe solo 1,05-1,4 volte di più della rispettiva miscela proteica da consumare per fornire quantità sufficienti di tutti gli amminoacidi essenziali [39]. Tali miscele proteiche rappresenterebbero la composizione di una dieta onnivora, in cui ~ 40-50% delle proteine ​​consumate è generalmente derivato da fonti vegetali [69]. A supporto, sono stati riportati robusti aumenti dei tassi di sintesi proteica muscolare post-prandiale in seguito all’ingestione di siero di latte, caseina e miscele di proteine ​​della soia [70,71,72]. Più recentemente, non sono state osservate differenze nella risposta sintetica delle proteine ​​muscolari post-prandiali dopo l’ingestione di 30g di proteine del latte o di una miscela proteica di 30g che combina proteine del grano e ​​del latte [38]. Molte altre miscele proteiche che combinano due o più fonti proteiche in vari rapporti possono essere composte per raggiungere obiettivi particolari in termini di composizione aminoacidica, prezzo, gusto e sostenibilità senza compromettere la capacità di stimolare la sintesi proteica muscolare.

Se una specifica carenza di aminoacidi costituisce il fattore limitante per una proteina a base vegetale per aumentare i tassi di sintesi proteica muscolare post-prandiale, un’opzione alternativa sarebbe quella di fortificare la proteina con uno o più aminoacidi (liberi) specifici. Poiché la Leucina è considerata fondamentale per la risposta di sintesi proteica muscolare post-prandiale, la fortificazione con Leucina libera potrebbe rappresentare una strategia fattibile per aumentare i tassi di sintesi proteica muscolare post-prandiale. A supporto, è stato riportato che la fortificazione con Leucina di un bolo di proteine ​​intatte, miscele di aminoacidi o pasti misti aumenta ulteriormente i tassi di sintesi proteica muscolare post-prandiale [18, 20, 73, 74]. In base all’attuale conoscenza, non ci sono molti dati disponibili sull’impatto della fortificazione con Leucina delle proteine ​​vegetali sui successivi tassi di sintesi proteica muscolare post-prandiale. Uno studio sui roditori ha dimostrato tassi di sintesi proteica muscolare inferiori dopo l’alimentazione con frumento rispetto alle proteine ​​del siero di latte [75]. L’arricchimento delle proteine del grano con Leucina libera, per far corrispondere il contenuto di Leucina in una quantità equivalente di proteine ​​del siero di latte, ha aumentato i tassi di sintesi proteica muscolare a un livello che non era più diverso dalla risposta osservata dopo l’alimentazione con proteine ​​del siero di latte. Al contrario, non sono stati osservati tassi di sintesi proteica muscolare post-prandiale più elevati dopo l’ingestione di 20g di proteine ​​della soia fortificate con 2,5g di Leucina libera rispetto a 20g di proteine ​​della soia solo durante il recupero dall’esercizio nei giovani adulti [37]. Infatti, non sono state osservate differenze misurabili nei tassi di sintesi proteica muscolare post-prandiale dopo l’ingestione di 20g di siero di latte, 20g di proteine della soia o 20g di proteine della soia fortificate con 2,5g di Leucina libera per corrispondere alla quantità di Leucina presente in 20g di proteine del siero di latte [14] . Si può solo supporre che in queste condizioni il contenuto di Leucina non fosse un fattore limitante all’aumento post-prandiale dei tassi di sintesi proteica muscolare. Ciò può essere spiegato dall’aumento indotto dall’esercizio della sensibilità del tessuto muscolare scheletrico alle proprietà stimolanti di un aumento della concentrazione di Leucina circolante. Poiché molte proteine ​​vegetali sono carenti di Lisina e/o Metionina, è stato ipotizzato che la fortificazione di queste proteine ​​vegetali con i rispettivi amminoacidi carenti possa amplificare il loro potenziale anabolico. Sebbene la fortificazione con aminoacidi liberi selezionati sia comunemente applicata nei prodotti a base vegetale progettati per sostituire la carne o i latticini, non ci sono studi che abbiano valutato l’efficacia di tale strategia come mezzo per migliorare le proprietà anaboliche dell’ingestione di proteine ​​​​vegetali .

Gestione postprandiale delle proteine dopo l’ingestione di un pasto:

Il lavoro sulle proprietà anaboliche delle proteine ​​vegetali è stato in gran parte limitato al confronto dei tassi di sintesi proteica muscolare post-prandiale dopo l’ingestione di una manciata di isolati o concentrati proteici di origine vegetale rispetto a quelli di origine animale. Tuttavia, le proteine ​​alimentari vengono generalmente consumate sotto forma di alimento intero o prodotto alimentare e come parte di un pasto più completo e composito. Ciò fornisce automaticamente una miscela di diverse fonti proteiche a base vegetale, migliorando la risposta sintetica delle proteine ​​muscolari post-prandiali. Inoltre, quando si consumano proteine ​​come parte di un prodotto e/o pasto, altri nutrienti come carboidrati, grassi, micronutrienti e altri composti (anti-)nutrizionali possono modificare la digestione proteica post-prandiale e la cinetica di assorbimento degli aminoacidi e la successiva sintesi proteica muscolare[76]. A sostegno, [77,78,79] è stato dimostrato che la digestione delle proteine ​​post-prandiale e l’assorbimento degli amminoacidi possono essere ritardati quando carboidrati o grassi vengono ingeriti insieme alle proteine. Tuttavia, questo non sembra avere un grande impatto sui tassi di sintesi proteica muscolare post-prandiale [77, 80]. Inoltre, è stato suggerito che la co-ingestione di carboidrati con proteine ​​potrebbe aumentare i tassi di sintesi proteica muscolare post-prandiale stimolando il rilascio di insulina post-prandiale. Tuttavia, l’impatto del rilascio di insulina endogena sul tasso di sintesi proteica muscolare post-prandiale si è dimostrato permissivo piuttosto che stimolante e il modesto aumento del rilascio di insulina osservato solo dopo l’ingestione di proteine ​​è già sufficiente per consentire alla sintesi proteica muscolare post-prandiale di raggiungere i valori massimi. [81]. A supporto, è stato dimostrato che la co-ingestione di carboidrati con proteine ​​non aumenta i tassi di sintesi proteica muscolare post-prandiale né a riposo [77, 78, 82] né durante il recupero dall’esercizio [79, 83, 84].

Sebbene tali studi forniscano informazioni sull’impatto della co-ingestione di altri macronutrienti sulla digestione delle proteine ​​e sulla cinetica di assorbimento degli aminoacidi e sulla successiva stimolazione post-prandiale della sintesi proteica muscolare, non riflettono necessariamente la risposta anabolica all’ingestione degli alimenti interi da cui sono derivati. Mentre diversi studi hanno valutato i tassi di sintesi proteica muscolare post-prandiale a seguito dell’ingestione di cibi integrali come latte [32], carne [10, 32,33,34] e uova [85], ci sono meno dati disponibili sull’anabolismo in risposta all’ingestione di cibi integrali di origine vegetale. Questo divario di conoscenze ci impedisce di comprendere le vere proprietà anaboliche del consumo di alimenti a base vegetale poiché la matrice alimentare degli alimenti a base vegetale può compromettere la digestione delle proteine ​​e la cinetica di assorbimento degli aminoacidi e, in quanto tale, attenuare l’aumento postprandiale dei tassi di sintesi proteica muscolare. Il lavoro precedente ha mostrato differenze sostanziali nelle risposte degli aminoacidi plasmatici post-prandiali dopo l’ingestione di una colazione a base di uova rispetto a quella a base di cereali, fornendo una quantità iso-azotata di proteine ​​[86]. Le differenze osservate nell’aumento post-prandiale delle concentrazioni plasmatiche di aminoacidi dopo la colazione a base di uova rispetto a quella a base di cereali non hanno determinato differenze nei tassi di sintesi proteica muscolare. Ciò mostra chiaramente che la risposta sintetica delle proteine ​​muscolari all’ingestione del pasto è complessa e non può essere prevista semplicemente valutando la composizione degli aminoacidi proteici o dei profili di aminoacidi plasmatici post-prandiali.

La matrice di cibi integrali, prodotti alimentari e/o pasti composti è, almeno in parte, definita dalla combinazione di una varietà di macronutrienti, micronutrienti e composti (anti)nutrizionali. Tuttavia, la matrice alimentare viene modificata anche dalla trasformazione alimentare commerciale e dalla preparazione alimentare interna, che spesso include il riscaldamento e/o la cottura [3, 87, 88]. Prima del consumo, il cibo viene tagliato o schiacciato e masticato, il che influirà anche sul tasso di digestione delle proteine ​​e sull’assorbimento degli aminoacidi [3, 89, 90]. Numerosi fattori giocano un ruolo nel determinare la risposta sintetica delle proteine ​​muscolari post-prandiali all’ingestione di cibo. Oltre all’impatto delle singole matrici alimentari sulla digestione delle proteine ​​e sulla cinetica di assorbimento degli aminoacidi, è importante considerare che un pasto composto spesso include una varietà di alimenti di origine animale e vegetale, o almeno vari alimenti di origine vegetale. Ci sono attualmente informazioni limitate all’interno della letteratura sulla (potenziale) interazione tra diverse fonti proteiche all’interno di un singolo pasto sulla digestione delle proteine ​​e sulla cinetica di assorbimento degli aminoacidi e sulla risposta sintetica delle proteine ​​muscolari post-prandiali all’alimentazione.

Sebbene siano state acquisite molte informazioni sui vari fattori che modulano l’assorbimento delle proteine alimentari, la digestione delle proteine e l’assorbimento degli aminoacidi e la sintesi proteica muscolare post-prandiale, non si hanno informazioni sulla gestione delle proteine post-prandiali dopo l’ingestione di cibi integrali e pasti misti. Sono necessari studi futuri per valutare le proprietà anaboliche dell’ingestione di pasti composti e l’impatto che questo può avere sul condizionamento muscolare sia in salute che in malattia.

Proteine vegetali nella nutrizione sportiva:

Il passaggio verso una dieta più incentrata su fonti vegetali ha nell’ultimo periodo suscitato molto interesse tra gli atleti. Non sorprende che ciò sollevi anche interrogativi sull’impatto della (inferiore) qualità delle proteine ​​vegetali sul condizionamento muscolare durante il recupero dall’esercizio. Esistono solo pochi studi che hanno confrontato le risposte di sintesi proteica ​​muscolare post-esercizio a seguito dell’ingestione di proteine ​​vegetali rispetto a quelle di origine animale [13, 14, 16, 36,37,38]. In questi studi, la principale fonte proteica di origine vegetale che è stata applicata è rappresentata dalla soia. Alcuni studi [13, 14, 36], ma certamente non tutti [37], hanno riportato un aumento minore dei tassi di sintesi proteica muscolare post-esercizio dopo l’ingestione di proteine ​​della soia rispetto a una quantità equivalente di proteine del latte o proteine ​​del siero di latte. Inoltre, è stato dimostrato che le proteine ​​della soia determinano maggiori tassi di sintesi proteica muscolare durante le 3 ore di recupero post-esercizio rispetto alle proteine ​​della caseina [13]. Poiché l’esercizio rende il muscolo più sensibile alle proprietà anaboliche della somministrazione di aminoacidi o proteine, si potrebbe ipotizzare che l’aumento post-prandiale della concentrazione di Leucina plasmatica in circolo sia di minore importanza quando si consumano proteine ​​dopo l’esercizio. Pertanto, il contenuto inferiore di leucina della maggior parte delle proteine ​​vegetali potrebbe non limitare più i tassi di sintesi proteica muscolare post-prandiale durante il recupero dall’esercizio. Di conseguenza, è più probabile che la capacità di una proteina di stimolare la sintesi proteica muscolare post-esercizio sia determinata dalla quantità di aminoacidi forniti come precursori per la sintesi proteica. Pertanto, un’ampia disponibilità di tutti gli amminoacidi senza carenze di amminoacidi specifici può essere di primaria importanza nel determinare la fonte proteica vegetale ottimale (miscela) per supportare il condizionamento muscolare post-esercizio. Chiaramente, la ricerca è giustificata per confrontare i tassi di sintesi proteica muscolare durante il recupero dall’esercizio mentre si ingeriscono proteine ​​o fonti proteiche diverse da quelle vegetali rispetto a quelle animali. Questi studi forniranno informazioni sulle caratteristiche preferite di una proteina alimentare (miscela) che ottimizzerebbe la risposta adattativa del muscolo scheletrico in risposta allo stimolo dell’esercizio.

Gli studi di intervento a lungo termine che valutano l’impatto dell’integrazione proteica sulla risposta adattativa all’allenamento di tipo di contro-resistenza tendono a mostrare maggiori guadagni di massa muscolare e forza quando si applica l’integrazione proteica [91, 92]. Sono stati riportati aumenti dei tassi giornalieri di sintesi proteica muscolare e/o guadagni di massa muscolare a seguito di esercizi di tipo contro-resistenza durante l’integrazione di fonti proteiche di origine vegetale, come soia [93,94,95,96], piselli [97], riso [98] e proteine ​​della patata [99]. Tuttavia, rimane dubbio se questi guadagni di massa muscolare e forza durante l’allenamento con esercizi contro-resistenza differiscano dai guadagni osservati quando viene integrata una quantità equivalente di proteine ​​animali. Una recente meta-analisi ha concluso che l’origine animale o vegetale della fonte proteica integrata non influisce sui guadagni di massa magra o forza muscolare dopo un allenamento prolungato contro-resistenza [100]. Tuttavia, sembra evidente che questa conclusione dipenderebbe anche dalla popolazione, dal tipo di allenamento, dallo stato di allenamento dei volontari e soprattutto dalla quantità di proteine ​​integrate e dall’assunzione abituale di proteine. Recenti lavori di Hevia-Larraín et al. [101] non hanno riportato differenze nella massa muscolare e nell’accumulo di forza dopo un allenamento prolungato con esercizi contro-resistenza mentre si consumava una dieta esclusivamente vegetale o una dieta onnivora. Questo potrebbe non essere una sorpresa poiché i soggetti non allenati stavano consumando una dieta ad alto apporto proteico (~ 1,6g/kg di massa corporea/giorno) durante il periodo di intervento dell’esercizio, con notevoli quantità di proteine ​​(isolati di proteine ​​della soia o del siero di latte) integrate due volte al giorno.

Sulla base delle differenze descritte nell’assorbimento delle proteine, nella digestione delle proteine ​​e nella cinetica degli amminoacidi e nei tassi di sintesi proteica muscolare post-prandiale in seguito all’ingestione di fonti proteiche vegetali rispetto a quelle animali, potremmo ipotizzare che quando si passa a una dieta con prevalenza di base vegetale, sarebbero necessarie più proteine ​​alimentari per consentire la stessa stimolazione dei tassi di sintesi proteica muscolare. Ciò implicherebbe anche che dovrebbero essere consumate e/o integrate più proteine ​​vegetali per raggiungere lo stesso livello di accrescimento della massa muscolare in risposta ad un allenamento prolungato di tipo contro-resistenza. Tuttavia, la maggior parte degli atleti consuma già grandi quantità di proteine ​​a causa del loro maggiore apporto energetico. Un’indagine a livello nazionale su atleti ben allenati ha riportato un apporto proteico di  ~ 1,5g di proteine ​​per kg di massa corporea al giorno [102]. Sebbene ciò rappresenti un apporto proteico giornaliero ben al di sopra della dose giornaliera raccomandata (RDA) proposta dall’OMS (0,8g/kg/giorno), è stato sostenuto che un apporto proteico di 1,6g/kg massimizzerebbe i guadagni di massa muscolare e forza in risposta ad un allenamento prolungato di tipo contro-resistenza [92]. Di conseguenza, si potrebbe ipotizzare che una dieta che fornisca proteine ​​di bassa qualità potrebbe compromettere la risposta adattativa del muscolo scheletrico in risposta all’esercizio fisico. Tuttavia, quest’ultimo rappresenta più un concetto accademico in quanto piccole differenze nella qualità delle proteine ​​non avranno un grande impatto sulla risposta adattativa all’esercizio fisico quando vengono consumate abitualmente quantità così grandi di proteine. Inoltre, gli atleti onnivori hanno un apporto proteico derivante da fonti vegetali già  > 40% in rapporto al loro apporto proteico giornaliero totale[102].

Più importante è il potenziale impatto negativo di una transizione verso una dieta principalmente basata su fonti vegetali in condizioni in cui gli atleti riducono il loro apporto energetico e, come tale, riducono, in rapporto, il potenziale consumo di proteine e assimilazione amminoacidica. Gli atleti che cercano di ridurre il peso corporeo mediante la restrizione calorica o gli atleti che si stanno riprendendo da un infortunio richiederebbero in realtà un apporto proteico simile o addirittura maggiore (in termini assoluti) consumando meno cibo. In tali condizioni la qualità delle proteine ​​consumate è della massima importanza e il passaggio a una dieta con proprietà meno anaboliche potrebbe compromettere il mantenimento muscolare o attenuare/rallentare il recupero muscolare. Pertanto, è necessario valutare gli aspetti positivi e potenzialmente negativi della transizione verso una dieta a base maggioritaria di fonti vegetali. Inoltre, è necessario valutare se ciò sia accompagnato da una modifica alimentare volta ad un maggiore consumo proteico per aumentato fabbisogno. È quindi richiesta la valutazione dell’impatto del consumo di una dieta composta da cibi integrali a base vegetale in modo particolare sulla massa muscolare e sulla funzione in varie popolazioni, sia in condizioni di salute che in stato patologico.

Fonti proteiche alternative:

Attualmente si stanno facendo enormi investimenti nella ricerca di una produzione più sostenibile di fonti proteiche di alta qualità che non siano derivate da animali. Questo processo si è ora esteso da fonti proteiche a base vegetale a varie altre fonti proteiche, tra cui la crescita di lieviti, funghi, microalghe, l’allevamento di insetti e persino la realizzazione di carne di sintesi in laboratorio come potenziali fonti proteiche per il consumo umano . Sebbene una discussione su queste fonti proteiche alternative e sostenibili vada oltre lo scopo di questo articolo, è utile almeno discutere su due di queste fonti proteiche poiché sono state recentemente valutate per la loro capacità di stimolare i tassi di sintesi proteica muscolare post-prandiale in vivo nell’uomo.

Recenti lavori hanno esaminato le proprietà anaboliche di una fonte alimentare derivata dalla coltivazione di un fungo (Fusarium venenatum), dando luogo a quella che è stata denominata micoproteina [103,104,105]. È stato riportato che questa fonte proteica ha un alto contenuto proteico (~ 45%) con la proteina che mostra una composizione di amminoacidi che non differisce molto dalle proteine ​​del latte [106]. Il lavoro precedente ha suggerito una buona digeribilità basata sull’osservazione delle concentrazioni di aminoacidi essenziali (soprattutto Leucina) nel plasma post-prandiale le quali erano comparabili dopo l’ingestione di micoproteine ​​ all’ingestione di una quantità equivalente di proteine ​​del latte. Più recentemente, questi ricercatori hanno mostrato che l’ingestione di un singolo bolo di micoproteine ​​(70g, fornendo 31,5 g di proteine) ha aumentato i tassi di sintesi proteica muscolare sia a riposo che post-esercizio nei giovani maschi, con una risposta di sintesi proteica muscolare post-prandiale, che era maggiore della risposta osservata dopo aver ingerito un bolo di proteine ​​del latte abbinato alla Leucina (31g, fornendo 26,2g di proteine) [103]. Questi dati mostrano che i funghi possono fornire una fonte proteica vitale e di alta qualità che è efficace nello stimolare la sintesi proteica muscolare.

Un’altra fonte proteica alimentare alternativa che ha suscitato molto interesse sono gli insetti commestibili. Sebbene tecnicamente gli insetti si classifichino anche come animali, possono essere prodotti su una scala commerciale più praticabile e sostenibile e, come tali, costituiscono un altro candidato promettente per contribuire a garantire la sicurezza alimentare globale [107, 108]. Gli insetti hanno un alto contenuto proteico e le loro proteine ​​hanno una composizione di amminoacidi che ricorda da vicino le proteine ​​animali convenzionali di alta qualità [107]. Recentemente, sono stati prodotti vermi della farina i quali sono stati nutriti con amminoacidi marcati con isotopi stabili [25], consentendo la quantificazione diretta della digestione delle proteine ​​e la cinetica di assorbimento degli amminoacidi e la successiva risposta sintetica delle proteine ​​muscolari a riposo e durante il recupero dall’esercizio dopo l’ingestione di un singolo bolo di vermi della farina. Le proteine derivate dal verme della farina sono state rapidamente digerite e assorbite nella loro componente amminoacidica, aumentando fortemente i tassi di sintesi proteica muscolare post-prandiale. Infatti, la risposta di sintesi proteica muscolare post-prandiale osservata non differiva dalla risposta osservata dopo l’ingestione di una quantità equivalente di proteine ​​del latte [109].

Questi sono solo due esempi di altre fonti proteiche alternative e di alta qualità che possono essere prodotte su scala commerciale praticabile e più sostenibile e che sembrano avere proprietà anaboliche che non differiscono dalle fonti proteiche convenzionali di origine animale. Chiaramente, verrà svolto maggiore ricerca per stabilire la cinetica di digestione e assorbimento di molte di queste nuove fonti proteiche al fine di valutare le loro proprietà anaboliche post-prandiali. Sembrano esserci molte opportunità per la produzione di fonti proteiche alternative per soddisfare con successo la futura domanda globale di proteine alimentari.

Conclusioni:

Ricapitolando, la tendenza globale verso una alimentazione a base vegetale è sempre più preponderante, più per moda che per logica comprensione. Si ritiene generalmente che l’ingestione di proteine ​​di origine vegetale determini una riduzione delle risposte di sintesi proteica muscolare post-prandiale rispetto all’ingestione di una quantità equivalente di proteine ​​di origine animale. Le proprietà anaboliche minori delle proteine ​​vegetali rispetto a quelle di origine animale sono state attribuite alle differenze nella digestione delle proteine in essi contenute ​​e nella cinetica di assorbimento degli amminoacidi e nella composizione degli stessi. La maggior parte delle proteine ​​vegetali ha un contenuto minore di amminoacidi essenziali e, come abbiamo visto, spesso è carente di uno o più amminoacidi specifici, come Lisina e Metionina. Tuttavia, ci sono grandi differenze nella composizione degli amminoacidi tra varie proteine ​​di origine vegetale o fonti proteiche di origine vegetale. Finora, solo pochi studi hanno confrontato direttamente la risposta della sintesi proteica ​​muscolare in seguito all’ingestione di una fonte proteica di origine vegetale rispetto a quella di origine animale. Le proprietà anabolizzanti inferiori proposte delle proteine ​​di origine vegetale rispetto a quelle di origine animale possono essere compensate da:

  • 1) consumando una maggiore quantità di proteine ​​di origine vegetale o fonte di proteine ​​di origine vegetale per compensare la qualità inferiore;
  • 2) utilizzare miscele specifiche di proteine ​​di origine vegetale per creare un profilo aminoacidico più equilibrato; o
  • 3) fortificare la fonte proteica vegetale di base con l’amminoacido o gli amminoacidi liberi specifici che sono in essa carenti.

Sono necessari studi clinici per valutare le proprietà anaboliche delle varie proteine ​​vegetali e delle loro fonti proteiche e per identificare i fattori che possono o meno compromettere la capacità di stimolare i tassi di sintesi proteica muscolare post-prandiale in vivo nell’uomo. Gli atleti sani e attivi in ​​genere consumano una dieta che fornisce ben oltre  ~ 1,5g di proteine per Kg di peso corporeo ​​al giorno . Il consumo di più proteine ​​vegetali, quindi, non dovrebbe necessariamente portare a un apporto proteico non ottimale. Di conseguenza, ci sono ampi dati per dimostrare che l’integrazione proteica con proteine ​​di origine vegetale può (anche) supportare maggiori guadagni di massa muscolare e forza se combinata con un allenamento prolungato di tipo contro-resistenza. In condizioni di basso apporto energetico, come osservato durante interventi dietetici a supporto della perdita di grasso corporeo o in pazienti clinicamente compromessi, si potrebbe ipotizzare che la transizione verso una dieta a base vegetale possa compromettere la stimolazione post-prandiale dei tassi di sintesi proteica muscolare. Di conseguenza, la futura ricerca dovrà stabilire se la transizione verso una dieta più esclusiva a base vegetale sia accompagnata da una transizione verso un maggiore fabbisogno di proteine ​​alimentari.

In base ai dati ad oggi a nostra disposizione, possiamo ipotizzare che, in condizione di dieta vegana, o vegetariana con minima componente di fonti proteiche animali o derivate, la quantità proteica per un bodybuilder che in condizione di dieta onnivora rispondeva positivamente ad una quantità proteica variabile secondo periodo preparatorio (“Bulk” o “Cut”) tra 1,5 e 2,5g/Kg, in caso di shift verso le prima citate condizioni alimentari, debba mantenersi generalmente in range più alti (es. 2g/Kg in “Bulk” e 3g/Kg in “Cut”) onde evitare carenze amminoacidiche per componenti dietetiche e/o per processi di cinetica nell’assorbimento di questi. Ovviamente, si ritengono fattori di “surplus proteico” anche l’inserimento di EAA o di AA specifici per compensare le carenze nutrizionali delle fonti vegetali comunemente consumate.

Gabriel Bellizzi

Riferimenti:

Fonte primaria: The Anabolic Response to Plant-Based Protein Ingestion

  1. Phillips SM, Tipton KD, Aarsland A, Wolf SE, Wolfe RR. Mixed muscle protein synthesis and breakdown after resistance exercise in humans. Am J Physiol. 1997;273(1 Pt 1):E99-107.
  2. Biolo G, Tipton KD, Klein S, Wolfe RR. An abundant supply of amino acids enhances the metabolic effect of exercise on muscle protein. Am J Physiol Endocrinol Metab. 1997. 
  3. Gorissen SH, Remond D, van Loon LJ. The muscle protein synthetic response to food ingestion. Meat Sci. 2015.  
  4. Groen BB, Horstman AM, Hamer HM, de Haan M, van Kranenburg J, Bierau J, et al. Post-prandial protein handling: you are what you just ate. PLoS ONE. 2015. Central Google Scholar 
  5. Volpi E, Kobayashi H, Sheffield-Moore M, Mittendorfer B, Wolfe RR. Essential amino acids are primarily responsible for the amino acid stimulation of muscle protein anabolism in healthy elderly adults. Am J Clin Nutr. 2003. 
  6. Moore DR, Tang JE, Burd NA, Rerecich T, Tarnopolsky MA, Phillips SM. Differential stimulation of myofibrillar and sarcoplasmic protein synthesis with protein ingestion at rest and after resistance exercise. J Physiol. 2009. Central Google Scholar 
  7. Tipton KD, Ferrando AA, Phillips SM, Doyle D Jr, Wolfe RR. Postexercise net protein synthesis in human muscle from orally administered amino acids. Am J Physiol. 1999;276(4 Pt 1):E628–34.
  8. Churchward-Venne TA, Pinckaers PJM, Smeets JSJ, Betz MW, Senden JM, Goessens JPB, et al. Dose-response effects of dietary protein on muscle protein synthesis during recovery from endurance exercise in young men: a double-blind randomized trial. Am J Clin Nutr. 2020. 
  9. 9.Moore DR, Robinson MJ, Fry JL, Tang JE, Glover EI, Wilkinson SB, et al. Ingested protein dose response of muscle and albumin protein synthesis after resistance exercise in young men. Am J Clin Nutr. 2009. 
  10. Robinson MJ, Burd NA, Breen L, Rerecich T, Yang Y, Hector AJ, et al. Dose-dependent responses of myofibrillar protein synthesis with beef ingestion are enhanced with resistance exercise in middle-aged men. Appl Physiol Nutr Metab. 2013. 
  11. Witard OC, Jackman SR, Breen L, Smith K, Selby A, Tipton KD. Myofibrillar muscle protein synthesis rates subsequent to a meal in response to increasing doses of whey protein at rest and after resistance exercise. Am J Clin Nutr. 2014.  
  12. Boirie Y, Dangin M, Gachon P, Vasson M-P, Maubois J-L, Beaufrère B. Slow and fast dietary proteins differently modulate postprandial protein accretion. Proc Natl Acad Sci USA. 1997. 
  13. Tang JE, Moore DR, Kujbida GW, Tarnopolsky MA, Phillips SM. Ingestion of whey hydrolysate, casein, or soy protein isolate: effects on mixed muscle protein synthesis at rest and following resistance exercise in young men. J Appl Physiol (1985). 2009. 
  14. Yang Y, Churchward-Venne TA, Burd NA, Breen L, Tarnopolsky MA, Phillips SM. Myofibrillar protein synthesis following ingestion of soy protein isolate at rest and after resistance exercise in elderly men. Nutr Metab (Lond). 2012. 
  15. Burd NA, Yang Y, Moore DR, Tang JE, Tarnopolsky MA, Phillips SM. Greater stimulation of myofibrillar protein synthesis with ingestion of whey protein isolate v. Micellar casein at rest and after resistance exercise in elderly men. Br J Nutr. 2012. 
  16. Gorissen SH, Horstman AM, Franssen R, Crombag JJ, Langer H, Bierau J, et al. Ingestion of wheat protein increases in vivo muscle protein synthesis rates in healthy older men in a randomized trial. J Nutr. 2016. 
  17. Pennings B, Boirie Y, Senden JM, Gijsen AP, Kuipers H, van Loon LJ. Whey protein stimulates postprandial muscle protein accretion more effectively than do casein and casein hydrolysate in older men. Am J Clin Nutr. 2011.
  18. Rieu I, Balage M, Sornet C, Giraudet C, Pujos E, Grizard J, et al. Leucine supplementation improves muscle protein synthesis in elderly men independently of hyperaminoacidaemia. J Physiol. 2006. 
  19. Wilkinson DJ, Hossain T, Hill DS, Phillips BE, Crossland H, Williams J, et al. Effects of leucine and its metabolite beta-hydroxy-beta-methylbutyrate on human skeletal muscle protein metabolism. J Physiol. 2013. 
  20. Wall BT, Hamer HM, de Lange A, Kiskini A, Groen BB, Senden JM, et al. Leucine co-ingestion improves post-prandial muscle protein accretion in elderly men. Clin Nutr. 2013. 
  21. Wilkinson DJ, Bukhari SSI, Phillips BE, Limb MC, Cegielski J, Brook MS, et al. Effects of leucine-enriched essential amino acid and whey protein bolus dosing upon skeletal muscle protein synthesis at rest and after exercise in older women. Clin Nutr. 2017.  
  22. Koopman R, Wagenmakers AJM, Manders RJF, Zorenc AHG, Senden JMG, Gorselink M, et al. Combined ingestion of protein and free leucine with carbohydrate increases postexercise muscle protein synthesis in vivo in male subjects. Am J Physiol Endocrinol Metab. 2005. 
  23. Dickinson JM, Gundermann DM, Walker DK, Reidy PT, Borack MS, Drummond MJ, et al. Leucine-enriched amino acid ingestion after resistance exercise prolongs myofibrillar protein synthesis and amino acid transporter expression in older men. J Nutr. 2014. https://doi.org/10.3945/jn.114.198671.Article PubMed PubMed Central Google Scholar 
  24. 24.Atherton PJ, Kumar V, Selby AL, Rankin D, Hildebrandt W, Phillips BE, et al. Enriching a protein drink with leucine augments muscle protein synthesis after resistance exercise in young and older men. Clin Nutr. 2017. 
  25. Trommelen J, Holwerda AM, Pinckaers PJM, Van Loon LJC. Comprehensive assessment of post-prandial protein handling by the application of intrinsically labelled protein in vivo in human subjects. Proc Nutr Soc. 2021. 
  26. Hamarsland H, Aas SN, Nordengen AL, Holte K, Garthe I, Paulsen G, et al. Native whey induces similar post exercise muscle anabolic responses as regular whey, despite greater leucinemia, in elderly individuals. J Nutr Health Aging. 2019. 
  27. Moro T, Brightwell CR, Velarde B, Fry CS, Nakayama K, Sanbongi C, et al. Whey protein hydrolysate increases amino acid uptake, mtorc1 signaling, and protein synthesis in skeletal muscle of healthy young men in a randomized crossover trial. J Nutr. 2019. 
  28. Reitelseder S, Agergaard J, Doessing S, Helmark IC, Lund P, Kristensen NB, et al. Whey and casein labeled with l-[1-13c]leucine and muscle protein synthesis: Effect of resistance exercise and protein ingestion. Am J Physiol Endocrinol Metab. 2011. 
  29. Tang JE, Manolakos JJ, Kujbida GW, Lysecki PJ, Moore DR, Phillips SM. Minimal whey protein with carbohydrate stimulates muscle protein synthesis following resistance exercise in trained young men. Appl Physiol Nutr Metab. 2007.  
  30. Tipton KD, Elliott TA, Cree MG, Wolf SE, Sanford AP, Wolfe RR. Ingestion of casein and whey proteins result in muscle anabolism after resistance exercise. Med Sci Sports Exerc. 2004. 
  31. Churchward-Venne TA, Pinckaers PJM, Smeets JSJ, Peeters WM, Zorenc AH, Schierbeek H, et al. Myofibrillar and mitochondrial protein synthesis rates do not differ in young men following the ingestion of carbohydrate with milk protein, whey, or micellar casein after concurrent resistance- and endurance-type exercise. J Nutr. 2019. 
  32. Burd NA, Gorissen SH, van Vliet S, Snijders T, van Loon LJ. Differences in postprandial protein handling after beef compared with milk ingestion during postexercise recovery: a randomized controlled trial. Am J Clin Nutr. 2015.  
  33. Beals JW, Mackenzie RWA, van Vliet S, Skinner SK, Pagni BA, Niemiro GM, et al. Protein-rich food ingestion stimulates mitochondrial protein synthesis in sedentary young adults of different bmis. J Clin Endocrinol Metab. 2017. 
  34. Beals JW, Sukiennik RA, Nallabelli J, Emmons RS, Van Vliet S, Young JR, et al. Anabolic sensitivity of postprandial muscle protein synthesis to the ingestion of a protein-dense food is reduced in overweight and obese young adults. Am J Clin Nutr. 2016. 
  35. Kamiński M, Skonieczna-Żydecka K, Nowak JK, Stachowska E. Global and local diet popularity rankings, their secular trends, and seasonal variation in google trends data. Nutrition. 2020. 
  36. Wilkinson SB, Tarnopolsky MA, Macdonald MJ, Macdonald JR, Armstrong D, Phillips SM. Consumption of fluid skim milk promotes greater muscle protein accretion after resistance exercise than does consumption of an isonitrogenous and isoenergetic soy-protein beverage. Am J Clin Nutr. 2007. 
  37. Churchward-Venne TA, Pinckaers PJM, Smeets JSJ, Peeters WM, Zorenc AH, Schierbeek H, et al. Myofibrillar and mitochondrial protein synthesis rates do not differ in young men following the ingestion of carbohydrate with whey, soy, or leucine-enriched soy protein after concurrent resistance- and endurance-type exercise. J Nutr. 2019. 
  38. Pinckaers PJM, Kouw IWK, Hendriks FK, Van Kranenburg JMX, De Groot LCPGM, Verdijk LB, et al. No differences in muscle protein synthesis rates following ingestion of wheat protein, milk protein, and their protein blend in healthy, young males. Br J Nutr. 2021. 
  39. Gorissen SH, Crombag JJ, Senden JM, Waterval WH, Bierau J, Verdijk LB, et al. Protein content and amino acid composition of commercially available plant-based protein isolates. Amino Acids. 2018. 
  40. Trommelen J, Tomé D, Van Loon LJC. Gut amino acid absorption in humans: concepts and relevance for postprandial metabolism. Clinical Nutrition Open Science. 2021. 
  41. Kashyap S, Shivakumar N, Varkey A, Duraisamy R, Thomas T, Preston T, et al. Ileal digestibility of intrinsically labeled hen’s egg and meat protein determined with the dual stable isotope tracer method in Indian adults. Am J Clin Nutr. 2018. 
  42. Kashyap S, Varkey A, Shivakumar N, Devi S, Rajashekar BH, Thomas T, et al. True ileal digestibility of legumes determined by dual-isotope tracer method in indian adults. Am J Clin Nutr. 2019. 
  43. Sarwar Gilani G, Wu Xiao C, Cockell KA. Impact of antinutritional factors in food proteins on the digestibility of protein and the bioavailability of amino acids and on protein quality. Br J Nutr. 2012. 
  44. Devi S, Varkey A, Sheshshayee MS, Preston T, Kurpad AV. Measurement of protein digestibility in humans by a dual-tracer method. Am J Clin Nutr. 2018. 
  45. Gausserès N, Mahé S, Benamouzig R, Luengo C, Ferriere F, Rautureau J, et al. [15n]-labeled pea flour protein nitrogen exhibits good ileal digestibility and postprandial retention in humans. J Nutr. 1997. 
  46. FAO/WHO Expert Consultation. Protein quality evaluation. FAO Food Nutr Pap. 1991; (51).
  47. FAO Expert Consultation. Dietary protein quality evaluation in human nutrition. FAO Food Nutr Pap. 2013; (92).
  48. West DW, Burd NA, Coffey VG, Baker SK, Burke LM, Hawley JA, et al. Rapid aminoacidemia enhances myofibrillar protein synthesis and anabolic intramuscular signaling responses after resistance exercise. Am J Clin Nutr. 2011. 
  49. Koopman R, Walrand S, Beelen M, Gijsen AP, Kies AK, Boirie Y, et al. Dietary protein digestion and absorption rates and the subsequent postprandial muscle protein synthetic response do not differ between young and elderly men. J Nutr. 2009. 
  50. Gorissen SHM, Trommelen J, Kouw IWK, Holwerda AM, Pennings B, Groen BBL, et al. Protein type, protein dose, and age modulate dietary protein digestion and phenylalanine absorption kinetics and plasma phenylalanine availability in humans. J Nutr. 2020. 
  51. Chan AH, D’Souza RF, Beals JW, Zeng N, Prodhan U, Fanning AC, et al. The degree of aminoacidemia after dairy protein ingestion does not modulate the postexercise anabolic response in young men: A randomized controlled trial. J Nutr. 2019.  
  52. Reitelseder S, Agergaard J, Doessing S, Helmark IC, Schjerling P, Van Hall G, et al. Positive muscle protein net balance and differential regulation of atrogene expression after resistance exercise and milk protein supplementation. Eur J Nutr. 2014. 
  53. Brennan JL, Keerati-U-Rai M, Yin H, Daoust J, Nonnotte E, Quinquis L, et al. Differential responses of blood essential amino acid levels following ingestion of high-quality plant-based protein blends compared to whey protein—a double-blind randomized, cross-over, clinical trial. Nutrients. 2019. 
  54. Liu J, Klebach M, Visser M, Hofman Z. Amino acid availability of a dairy and vegetable protein blend compared to single casein, whey, soy, and pea proteins: A double-blind, cross-over trial. Nutrients. 2019.
  55. Tipton K. Nonessential amino acids are not necessary to stimulate net muscle protein synthesis in healthy volunteers. J Nutr Biochem. 1999. 
  56. Cuthbertson D, Smith K, Babraj J, Leese G, Waddell T, Atherton P, et al. Anabolic signaling deficits underlie amino acid resistance of wasting, aging muscle. FASEB J. 2005. 
  57. van Vliet S, Burd NA, van Loon LJ. The skeletal muscle anabolic response to plant- versus animal-based protein consumption. J Nutr. 2015. 
  58. FAO/WHO/UNU expert consultation. Protein and amino acid requirements in human nutrition. WHO Technical Report Series. 2007;935:1–265.Google Scholar 
  59. Laplante M, David M. Mtor signaling in growth control and disease. Cell. 2012. 
  60. Saxton RA, Knockenhauer KE, Wolfson RL, Chantranupong L, Pacold ME, Wang T, et al. Structural basis for leucine sensing by the sestrin2-mtorc1 pathway. Science. 2016.
  61. Wolfson RL, Chantranupong L, Saxton RA, Shen K, Scaria SM, Cantor JR, et al. Sestrin2 is a leucine sensor for the mtorc1 pathway. Science. 2016. 
  62. Gorissen SH, Horstman AM, Franssen R, Kouw IW, Wall BT, Burd NA, et al. Habituation to low or high protein intake does not modulate basal or postprandial muscle protein synthesis rates: a randomized trial. Am J Clin Nutr. 2017. 
  63. Mitchell C, McGregor R, D’Souza R, Thorstensen E, Markworth J, Fanning A, et al. Consumption of milk protein or whey protein results in a similar increase in muscle protein synthesis in middle aged men. Nutrients. 2015.
  64. Yang Y, Breen L, Burd NA, Hector AJ, Churchward-Venne TA, Josse AR, et al. Resistance exercise enhances myofibrillar protein synthesis with graded intakes of whey protein in older men. Br J Nutr. 2012.
  65. Fuchs CJ, Hermans WJH, Holwerda AM, Smeets JSJ, Senden JM, van Kranenburg J, et al. Branched-chain amino acid and branched-chain ketoacid ingestion increases muscle protein synthesis rates in vivo in older adults: a double-blind, randomized trial. Am J Clin Nutr. 2019. 
  66. Wall BT, Gorissen SH, Pennings B, Koopman R, Groen BB, Verdijk LB, et al. Aging is accompanied by a blunted muscle protein synthetic response to protein ingestion. PLoS ONE. 2015.
  67. Burd NA, Gorissen SH, van Loon LJ. Anabolic resistance of muscle protein synthesis with aging. Exerc Sport Sci Rev. 2013. https://doi.org/10.1097/JES.0b013e318292f3d5.Article PubMed Google Scholar 
  68. Koopman R, Crombach N, Gijsen AP, Walrand S, Fauquant J, Kies AK, et al. Ingestion of a protein hydrolysate is accompanied by an accelerated in vivo digestion and absorption rate when compared with its intact protein. 2009. Am J Clin Nutr. 
  69. Food Balance Sheets. Food and agriculture organization of the United Nations statistics division 2013. 
  70. Borack MS, Reidy PT, Husaini SH, Markofski MM, Deer RR, Richison AB, et al. Soy-dairy protein blend or whey protein isolate ingestion induces similar postexercise muscle mechanistic target of rapamycin complex 1 signaling and protein synthesis responses in older men. J Nutr. 2016.
  71. Reidy PT, Walker DK, Dickinson JM, Gundermann DM, Drummond MJ, Timmerman KL, et al. Soy-dairy protein blend and whey protein ingestion after resistance exercise increases amino acid transport and transporter expression in human skeletal muscle. J Appl Physiol (1985). 2014. 
  72. Reidy PT, Walker DK, Dickinson JM, Gundermann DM, Drummond MJ, Timmerman KL, et al. Protein blend ingestion following resistance exercise promotes human muscle protein synthesis. J Nutr. 2013.
  73. Churchward-Venne TA, Breen L, Phillips SM. Alterations in human muscle protein metabolism with aging: protein and exercise as countermeasures to offset sarcopenia. BioFactors. 2014. 
  74. Katsanos CS, Kobayashi H, Sheffield-Moore M, Aarsland A, Wolfe RR. A high proportion of leucine is required for optimal stimulation of the rate of muscle protein synthesis by essential amino acids in the elderly. Am J Physiol Endocrinol Metab. 2006.  
  75. Norton LE, Wilson GJ, Layman DK, Moulton CJ, Garlick PJ. Leucine content of dietary proteins is a determinant of postprandial skeletal muscle protein synthesis in adult rats. Nutr Metab (Lond). 2012.  
  76. Trommelen J, Betz MW, Van Loon LJC. The muscle protein synthetic response to meal ingestion following resistance-type exercise. Sports Med. 2019. 
  77. Gorissen SH, Burd NA, Hamer HM, Gijsen AP, Groen BB, van Loon LJ. Carbohydrate coingestion delays dietary protein digestion and absorption but does not modulate postprandial muscle protein accretion. J Clin Endocrinol Metab. 2014. 
  78. Hamer HM, Wall BT, Kiskini A, De Lange A, Groen BB, Bakker JA, et al. Carbohydrate co-ingestion with protein does not further augment post-prandial muscle protein accretion in older men. Nutr Metab (Lond). 2013.
  79. Koopman R, Beelen M, Stellingwerff T, Pennings B, Saris WHM, Kies AK, et al. Coingestion of carbohydrate with protein does not further augment postexercise muscle protein synthesis. Am J Physiol Endocrinol Metab. 2007.
  80. Gorissen SHM, Burd NA, Kramer IF, van Kranenburg J, Gijsen AP, Rooyackers O, et al. Co-ingesting milk fat with micellar casein does not affect postprandial protein handling in healthy older men. Clin Nutr. 2017. 
  81. Trommelen J, Groen BBL, Hamer HM, De Groot LCPGM, Van Loon LJC. Mechanisms in endocrinology European journal of endocrinology of the European federation of endocrine societies: exogenous insulin does not increase muscle protein synthesis rate when administered systemically: a systematic review. Eur J Endocrinol. 2015. 
  82. Glynn EL, Fry CS, Timmerman KL, Drummond MJ, Volpi E, Rasmussen BB. Addition of carbohydrate or alanine to an essential amino acid mixture does not enhance human skeletal muscle protein anabolism. J Nutr. 2013. 
  83. Staples AW, Burd NA, West DWD, Currie KD, Atherton PJ, Moore DR, et al. Carbohydrate does not augment exercise-induced protein accretion versus protein alone. Med Sci Sports Exerc. 2011.  
  84. Glynn EL, Fry CS, Drummond MJ, Dreyer HC, Dhanani S, Volpi E, et al. Muscle protein breakdown has a minor role in the protein anabolic response to essential amino acid and carbohydrate intake following resistance exercise. Am J Physiol Regul Integr Comp Physiol. 2010. 
  85. van Vliet S, Shy EL, Abou Sawan S, Beals JW, West DW, Skinner SK, et al. Consumption of whole eggs promotes greater stimulation of postexercise muscle protein synthesis than consumption of isonitrogenous amounts of egg whites in young men. Am J Clin Nutr. 2017. 
  86. Kim I-Y, Shin Y-A, Schutzler SE, Azhar G, Wolfe RR, Ferrando AA. Quality of meal protein determines anabolic response in older adults. Clin Nutr. 2018.
  87. Evenepoel P, Geypens B, Luypaerts A, Hiele M, Ghoos Y, Rutgeerts P. Digestibility of cooked and raw egg protein in humans as assessed by stable isotope techniques. J Nutr. 1998. 
  88. Buffière C, Gaudichon C, Hafnaoui N, Migné C, Scislowsky V, Khodorova N, et al. In the elderly, meat protein assimilation from rare meat is lower than that from meat that is well done. Am J Clin Nutr. 2017.  
  89. Pennings B, Groen BB, Van Dijk J-W, De Lange A, Kiskini A, Kuklinski M, et al. Minced beef is more rapidly digested and absorbed than beef steak, resulting in greater postprandial protein retention in older men. Am J Clin Nutr. 2013. 
  90. Rémond D, Machebeuf M, Yven C, Buffière C, Mioche L, Mosoni L, et al. Postprandial whole-body protein metabolism after a meat meal is influenced by chewing efficiency in elderly subjects. Am J Clin Nutr. 2007. 
  91. Cermak NM, Res PT, de Groot LC, Saris WH, van Loon LJ. Protein supplementation augments the adaptive response of skeletal muscle to resistance-type exercise training: a meta-analysis. Am J Clin Nutr. 2012. 
  92. Morton RW, Murphy KT, McKellar SR, Schoenfeld BJ, Henselmans M, Helms E, et al. A systematic review, meta-analysis and meta-regression of the effect of protein supplementation on resistance training-induced gains in muscle mass and strength in healthy adults. Br J Sports Med. 2018. 
  93. Hartman JW, Tang JE, Wilkinson SB, Tarnopolsky MA, Lawrence RL, Fullerton AV, et al. Consumption of fat-free fluid milk after resistance exercise promotes greater lean mass accretion than does consumption of soy or carbohydrate in young, novice, male weightlifters. Am J Clin Nutr. 2007. 
  94. Lynch HM, Buman MP, Dickinson JM, Ransdell LB, Johnston CS, Wharton CM. No significant differences in muscle growth and strength development when consuming soy and whey protein supplements matched for leucine following a 12 week resistance training program in men and women: a randomized trial. Int J Environ Res Public Health. 2020. 
  95. Mobley C, Haun C, Roberson P, Mumford P, Romero M, Kephart W, et al. Effects of whey, soy or leucine supplementation with 12 weeks of resistance training on strength, body composition, and skeletal muscle and adipose tissue histological attributes in college-aged males. Nutrients. 2017. 
  96. Thomson RL, Brinkworth GD, Noakes M, Buckley JD. Muscle strength gains during resistance exercise training are attenuated with soy compared with dairy or usual protein intake in older adults: A randomized controlled trial. Clin Nutr. 2016. 
  97. Banaszek A, Townsend JR, Bender D, Vantrease WC, Marshall AC, Johnson KD. The effects of whey vs. Pea protein on physical adaptations following 8-weeks of high-intensity functional training (hift): a pilot study. Sports. 2019. 
  98. Joy JM, Lowery RP, Wilson JM, Purpura M, De Souza EO, Wilson SM, et al. The effects of 8 weeks of whey or rice protein supplementation on body composition and exercise performance. Nutr J. 2013.
  99. Oikawa SY, Bahniwal R, Holloway TM, Lim C, McLeod JC, McGlory C, et al. Potato protein isolate stimulates muscle protein synthesis at rest and with resistance exercise in young women. Nutrients. 2020. 
  100. Lim MT, Pan BJ, Toh DWK, Sutanto CN, Kim JE. Animal protein versus plant protein in supporting lean mass and muscle strength: a systematic review and meta-analysis of randomized controlled trials. Nutrients. 2021. 
  101. 101.Hevia-Larraín V, Gualano B, Longobardi I, Gil S, Fernandes AL, Costa LAR, et al. High-protein plant-based diet versus a protein-matched omnivorous diet to support resistance training adaptations: a comparison between habitual vegans and omnivores. Sports Med. 2021.
  102. Gillen JB, Trommelen J, Wardenaar FC, Brinkmans NYJ, Versteegen JJ, Jonvik KL, et al. Dietary protein intake and distribution patterns of well-trained Dutch athletes. Int J Sport Nutr Exerc Metab. 2017. 
  103. Monteyne AJ, Coelho MOC, Porter C, Abdelrahman DR, Jameson TSO, Jackman SR, et al. Mycoprotein ingestion stimulates protein synthesis rates to a greater extent than milk protein in rested and exercised skeletal muscle of healthy young men: a randomized controlled trial. Am J Clin Nutr. 2020. 
  104. Monteyne AJ, Dunlop MV, Machin DJ, Coelho MOC, Pavis GF, Porter C, et al. A mycoprotein-based high-protein vegan diet supports equivalent daily myofibrillar protein synthesis rates compared with an isonitrogenous omnivorous diet in older adults: a randomised controlled trial. Br J Nutr. 2020. 
  105. Coelho MOC, Monteyne AJ, Dunlop MV, Harris HC, Morrison DJ, Stephens FB, et al. Mycoprotein as a possible alternative source of dietary protein to support muscle and metabolic health. Nutr Rev. 2020. 
  106. Dunlop MV, Kilroe SP, Bowtell JL, Finnigan TJA, Salmon DL, Wall BT. Mycoprotein represents a bioavailable and insulinotropic non-animal-derived dietary protein source: A dose–response study. Br J Nutr. 2017. 
  107. Churchward-Venne TA, Pinckaers PJM, van Loon JJA, van Loon LJC. Consideration of insects as a source of dietary protein for human consumption. Nutr Rev. 2017. 
  108. van Huis A, Van Itterbeeck J, Klunder H, Mertens E, Halloran A, Muir G, et al. Edible insects: Future prospects for food and feed security. London: Food and Agriculture Organization of the United Nations; 2013.
  109. Hermans WJH, Senden JM, Churchward-Venne TA, Paulussen KJM, Fuchs CJ, Smeets JSJ, et al. Insects are a viable protein source for human consumption: From insect protein digestion to post-prandial muscle protein synthesis in vivo in humans: a double- blind randomized trial. Am J Clin Nutr. 2021. 

Indolo-3-Carbinolo (I3C) e 3,3′-Diindolylmethano (DIM): un potenziale aiuto per il controllo estrogenico?

Introduzione:

Chi mi conosce sa come io prenda con estrema cautela qualsiasi affermazione sensazionalistica nei confronti di derivati erboristici et similari, ma non solo. Ogni qual volta mi capita di leggere qualche studio o serie di dati aneddotici sono solito indagare tutto lo scindibile riguardante l’oggetto che si ritiene causa primaria di un dato evento migliorativo nella composizione corporea e/o nelle prestazioni. Non di rado le mie ricerche mi hanno portato a conclusioni nettamente negative che liquidavano le affermazioni fatte da taluni come “placebo” o “non riconducibili alla molecola in questione. Mi capitò nei primi anni di ricerca con la Carnitina e il suo presunto effetto nel miglioramento del trasporto degli acidi grassi nel mitocondrio (cosa strettamente regolata e non sovraesprimibile con integrazione della medesima), o con il Tribulus Terrestris, la Maca e altri presunti “Testo-booster”. La lista è lunga.

E’ solo di recente che la mia attenzione è stata attirata verso due molecole, un precursore e il suo derivato, contenute in significative concentrazioni (in particolare riferimento al precursore) nelle crucifere (Broccoli, Cavoli ecc…), le quali presentano una interessante, sebbene contenuta, letteratura che ne sottolinea il potenziale di azioni biochimiche tra le quali spicca quella sul metabolismo degli estrogeni. Sto parlando del Indolo-3-Carbinolo (I3C) e del suo derivato 3,3′-Diindolylmethano (DIM).

E’ mia intenzione, quindi, esporre le loro caratteristiche e la possibile portata attualmente ipotizzata dalla loro assunzione.

I3C e DIM- loro caratteristiche molecolari e attività biochimica:

L’Indolo-3-Carbinolo (C9H9NO) è prodotto dalla scomposizione del Glucosinolato Glucobrassicina, che può essere trovato a livelli relativamente alti nelle verdure crocifere come Broccoli, Cavoli, Cavolfiori, Cavolini di Bruxelle ecc… .[1] È disponibile anche sotto forma di integratore alimentare.[2] L’Indolo-3-Carbinolo è oggetto di continua ricerca biomedica sui suoi possibili effetti anticancerogeni,[3] antiossidanti e anti-aterogeni.[4] La ricerca sull’Indolo-3-Carbinolo è stata condotta principalmente utilizzando animali da laboratorio e cellule coltivate in vitro.[5] Sono stati riportati studi umani limitati e per ora inconcludenti. Una recente review della letteratura sulla ricerca biomedica ha rilevato che “l’evidenza di un’associazione inversa tra l’assunzione di verdure crocifere e il cancro al seno o alla prostata negli esseri umani è limitata e incoerente” e “sono necessari studi controllati randomizzati più ampi” per determinare se l’Indolo-3-Carbinolo supplementare ha benefici per la salute.[6]

Lo studio dei meccanismi attraverso i quali il consumo di Indolo-3-carbinolo potrebbe influenzare l’incidenza del cancro si concentra sulla sua capacità di alterare il metabolismo degli estrogeni e altri effetti cellulari. Sono stati condotti studi controllati su animali come ratti, topi e trote arcobaleno, introducendo vari livelli controllati di agenti cancerogeni e livelli di Indolo-3-Carbinolo nella loro dieta quotidiana. I risultati hanno mostrato diminuzioni dose-correlate della suscettibilità al tumore dovute all’Indolo-3-Carbinolo (indotto dalla diminuzione del legame aflatossina-DNA). La prima prova diretta dell’attività anti-iniziale pura di un anticancerogeno naturale (indolo-3-carbinolo) presente nella dieta umana è stata rivendicata da Dashwood et al. nel 1989.[7]

L’Indolo-3-Carbinolo (I3C) agisce principalmente attraverso il suo principale metabolita, il Diindolylmethano (DIM) (può comprendere fino a un terzo dei derivati del I3C[8]) e alcuni altri metaboliti che possono essere prodotti spontaneamente dall’instabile I3C (come l’indolo {3,2-b}carbazolo,[9] un costituente minore[8]). La formazione precisa di questi metaboliti implica la catalizzazione del I3C per formare indoli reattivi che poi si combinano tra loro per “costruire” una molecola più grande ma stabile, essendo il DIM il risultato della formazione di due di questi indoli.[8]

Il Diindolylmethano (DIM), come già accennato, è il principale metabolita derivato dall’acido farmaceuticamente attivo dell’Indolo-3-Carbinolo (I3C) il quale si trova in molte verdure Brassica attraverso il composto madre glucobrassicina.[10][11][12] La glucobrassicina ingerita viene catalizzata tramite l’enzima Mirosinasi (contenuto nei vegetali) convertendo in Indolo-3-Carbinolo, il quale viene rapidamente metabolizzato sia in DIM che in vari altri metaboliti nello stomaco umano tramite reazioni di condensazione acido-mediate.[8][13]

Le fonti di glucosinolati (in generale) sono elencate di seguito, con qualsiasi fonte che citi il Diindolylmethano o il suo precursore (Indole-3-Carbinolo) specificatamente menzionata in grassetto:

  • Cavoletti di Bruxelles, 104mg per 44 g (mezza tazza)[14];
  • Crescione da giardino, 98mg per 25g (mezza tazza)[14];
  • Senape, 79mg per 28g (mezza tazza, tritata)[14];
  • Rapa, 60mg per 65g (mezza tazza, cubetti)[14]
  • Cavolo Verza, 35mg per 45g (mezza tazza, tritato)[14]
  • Cavolo riccio, 67mg per 67g (1 tazza, tritato)[14];
  • Crescione, 32mg per 34g (1 tazza, tritato)[14];
  • Cavolo rapa, 31mg per 67g (mezza tazza, tritato)[14];
  • Cavolo rosso, 29mg per 45g (mezza tazza, tritato)[14];
  • Broccoli, 27mg per 44g (mezza tazza, tritati)[14];
  • Rafano, 24mg per 15g (cucchiaio)[14];
  • Cavolfiore, 22mg per 50g (mezza tazza tritata)[14];
  • Bok Choy, 19mg per 35g (mezza tazza, tritato)[14].

Poiché la glucobrassicina si degrada in I3C per azione dell’enzima Mirosinasi contenuto nella pianta, la disattivazione di questo enzima mediante trattamento termico (cottura) può ridurre la biodisponibilità orale di qualsiasi glucosinolato incluso DIM.[15][16] Tuttavia, una certa biodisponibilità viene conservata a causa dell’espressione della Mirosinasi anche nell’intestino umano.[17]

Tioglucosidasi (Mirosinasi)

L’ebollizione[18] e il microonde (750-900 watt)[19][20] sembrano i maggiori sospettati per la riduzione della biodisponibilità del glucosinolato; il primo a causa dell’eccesso di acqua che assorbe i composti bioattivi solubili in acqua dal cibo. In questo senso, i metodi di cottura che utilizzano meno acqua trattengono più glucosinolati rispetto a quelli che utilizzano molta acqua.[21]

È stato dimostrato che il DIM attiva la segnalazione del Fattore Nucleare Kappa-Beta (NF-kB), l’attivazione della caspasi, l’attivazione del citocromo P450 (in particolare CYP1A1, CYP1A2 e CYP19), la riparazione del DNA, il recettore degli idrocarburi arilici (AHR) e varie protein chinasi.[22][23][24]

Fattore Nucleare Kappa-Beta

L’Indolo-3-Carbinolo alimentare o integrativo, tramite il metabolita DIM, si ritiene che possa aumentare il peso del fegato come riflesso di un aumento generale della produzione dell’enzima P450;[25] questa risposta organica sembra essere dose dipendente tra basse concentrazioni nella dieta (250 ppm ) fino a quelli molto elevati (5.000 ppm) con la 2-idrossilazione degli estrogeni in aumento in relazione al peso complessivo del fegato.[25]

Uno studio che utilizzava Indole-3-Carbinol ha rilevato che le iniezioni giornaliere di 5mg nell’intestino sono state in grado di attenuare l’aumento previsto di grasso corporeo associato a una dieta ricca di grassi/calorie.[26]

Se si rapporta questa dose utilizzata in topi da laboratorio in una adatta per un essere umano adulto di 80kg si arriverebbe a circa 30mg al giorno. Se fosse somministrato per via orale probabilmente si avrebbe bisogno di una dose teoricamente più alta per ipotizzarne una qualche efficacia in tal senso.

È stato notato che il recettore degli idrocarburi arilici (AhR) ha un ruolo in alcune cellule immunitarie e nelle cellule natural killer (NK) l’attivazione di questo recettore (osservata con 10µM di 3,3′-diindolilmetano[27]) può aumentare la produzione di IFN-γ e funzione effettrice, aumentando così la loro inibizione della crescita delle cellule tumorali.[27]

Cellule Natural Killer (NK)

È stato notato che il 3,3′-Diindolylmethano (DIM) attiva sia il sottoinsieme alfa del recettore degli estrogeni (ERα)[28] che il sottoinsieme beta (ERβ),[29][30] con promozione da parte della molecola della crescita cellulare tramite ERα[ 28] non essendo un ligando diretto[31] mentre anche l’aumento della segnalazione tramite ERβ (15μM) sembra essere mediato indirettamente.[29][30] L’attivazione di ERα può dipendere dal tipo di cellula, poiché concentrazioni simili (10-15 μM; la concentrazione più bassa proposta per essere raggiunta tramite una dieta ricca di crocifere[32]) hanno mostrato efficacia nell’agire su questo recettore nel cancro al seno MCF7 e T47D cellule [28] ma non cellule MDA-MB-231 o HeLa,[29] o può essere dovuto alla sensibilità, poiché anche nelle cellule reattive concentrazioni più elevate (50μM) non riescono a causare una risposta.[28] È noto che l’attivazione indiretta è mediata prevalentemente dall’attivazione di PKA[29][31] che poi attiva MAPK e CREB.[31]

Recettore degli Estrogeni alfa (ERα), noto anche come NR3A1 (sottofamiglia del recettore nucleare 3, gruppo A, membro 1).

La maggiore concentrazione di DIM sembra indurre geni sensibili ad AhR nelle cellule del cancro al seno (CYP1A1 e CYP1B1[28-21]) suggerendo un diverso meccanismo dipendente dalla concentrazione. L’attivazione dell’AhR di per sé induce la produzione di alcuni di questi enzimi di fase I[33] che è un meccanismo di estrogenicità (attraverso l’aumento dell’attività dell’Aromatasi) osservato con pochi estrogeni ambientali[34] ma a causa della minore affinità del DIM verso l’AhR rispetto alla selezionare degli estrogeni ambientali (PCB, diossine e PAH) la combinazione dei due può comportare una minore estrogenicità relativa rispetto ai soli estrogeni ambientali.[35][36][37]

Il DIM è stato implicato nella modifica degli estrogeni preesistenti in altri metaboliti. Il processo di 2-idrossilazione, probabilmente secondario all’attivazione di AhR,[38] può aumentare il rapporto tra 2-idrossiestrone e 16α-idrossiestrone, che si pensa sia un profilo meno estrogenico dato dagli estrogeni.[39] I processi di 4-idrossilazione e 16-idrossilazione non sembrano significativamente influenzati.[40] È stato osservato che l’Indolo-3-Carbinolo induce la formazione di 2-idrossiestrone secondario ad un aumento del processo di 2-idrossilazione[41] e l’integrazione orale di DIM (108mg) nelle donne con anamnesi di carcinoma mammario in fase iniziale aumenta l’incremento delle vie urinarie. concentrazioni di 2-idrossiestrone (insieme a un aumento non significativo del rapporto tra 2-idrossiestrone e 16α-idrossiestrone.[42] Nei ratti trattati con I3C nella dieta per un periodo di tempo prolungato 200-1.000ppm sembravano essere efficaci nell’aumentare la 2-idrossilazione dell’Estradiolo con l’efficacia raggiunta quasi al doppio di circa 600-1.000ppm (17,6-36,3mg/kg),[32] traducendosi in circa 3-6mg/kg in un essere umano adulto.

2-Idrossiestrone 

Le iniezioni di DIM nei ratti per due settimane prima dell’irradiazione corporea totale hanno fatto notare miglioramenti dose-dipendenti della sopravvivenza (fino al 60% da 75 mg/kg), e mentre 7,5mg/kg erano inefficaci se somministrati in questo periodo di tempo mentre una singola dose un giorno prima della irradiazione è sembrato conferire il 55% di sopravvivenza.[43] Si pensava che questo effetto protettivo fosse dovuto all’attivazione dell’atassia-teleangectasia mutata (ATM), un enzima riparatore che aumenta l’attività in risposta al danno genetico,[44] osservato con DIM 300nM ritenuto secondario all’inibizione di PP2A (MRE11 e BRCA1 anche richiesto);[43] PP2A normalmente si complessa con ATM mantenendolo in uno stato inattivo e la sua inibizione consente ad ATM di diventare iperattivo in risposta al danno genetico.[48]

Nel tessuto normale, il DIM (300nM) può attivare la via di riparazione genetica ATM in risposta al danno da irradiazione in modo dipendente da BRCA1 (uno dei suoi bersagli[43]) senza aumentare la sopravvivenza delle cellule del cancro al seno (MDA-MB-231[43]); ci sono alterazioni note in questo percorso in alcuni tumori al seno in cui BRCA1 è ridotto mentre l’ATM stesso sembra essere iperattivo ed è stato notato che l’integrazione orale di 300mg di DIM aumenta i livelli di mRNA di BRCA1 dopo 4-6 settimane di integrazione (misurata nei globuli bianchi) nelle donne che avevano una mutazione a bassa attività.[49] Alcuni studi sugli animali (usando DIM o il suo precursore I3C) che trovano effetti antitumorali sulle cellule del cancro al seno notano che questi cambiamenti si verificano insieme all’aumento della 2-idrossilazione dell’Estradiolo,[50] che sembra essere dose-dipendente fino a dosi orali molto grandi (5.000ppm nei topi o oltre 10g/kg rispetto al peso corporeo).[50]

Idrossilazione dell’Estradiolo

Nei ratti, l’ingestione orale di Indolo-3-Carbinolo (I3C) per una settimana prima dell’induzione del cancro mammario tramite DMBA ha ridotto significativamente l’incidenza (70-90%) e la molteplicità (91-96%) rispetto al controllo cancerogeno,[50] dimostrando efficacia anche sul cancerogeno ad azione diretta N-Nitroso-N-metilurea ma in misura minore (riduzione del 65% della molteplicità).[50] Anche la crescita tumorale spontanea piuttosto che indotta da tossine sembra essere appena dimezzata in uno studio (della durata di 250 giorni) in ratti alimentati con 64-128mg/kg di I3C nella dieta (l’assunzione stimata rispetto al peso corporeo è di 4,8-9,6g/kg) rispetto al controllo, con anche la molteplicità in qualche modo ridotta.[50]

Nei ratti predisposti al cancro dell’endometrio (ratti Donryu) trattati con livelli dietetici di Indolo-3-Carbinolo (I3C; 200-1.000ppm) e valutati per un periodo sperimentale prolungato, i tassi di neoplasie spontanee nell’utero dopo 660 giorni erano significativamente più alti nei controlli (38%) piuttosto che negli esemplari trattati a bassa dose di I3C (25%) con 600-1.000ppm con prestazioni uguali (14-16%);[32] questo effetto è stato osservato insieme all’aumento della 2-idrossilazione dell’Estradiolo.[32]

È stato notato che il DIM antagonizza gli effetti del Diidrotestosterone (DHT) nelle cellule del cancro prostatico (LNCaP e PC-3) di oltre il 50% a una concentrazione di 1μM in modo dipendente dal Recettore degli Androgeni, sembrava essere un antagonista diretto al recettore con affinità simile a Casodex (Bicalutamide).[51] Gli effetti antitumorali del DIM a livello della cellula prostatica non sembrano essere completamente dipendenti da questo recettore sebbene non siano dipendenti da p53 (cellule DU145[42]) e possono indurre l’arresto cellulare in un modo dipendente dall’induzione di p27 (Kip1 ) tramite Sp1 (10μM),[52] due proteine che tendono ad avere una minore attività nelle cellule della prostata androgeno-indipendenti.[53] Questa era l’attivazione di p38 a valle[52] nota che si verifica con DIM anche in altre cellule tumorali.[53]

Bicalutamide

Conclusioni sul uso di I3C o DIM per il controllo estrogenico:

Nel tessuto mammario, ma anche in altri tessuti come quello adiposo, il CYP19 (Aromatasi) catalizza le fasi finali della conversione degli androgeni (Testosterone o Androstenedione) in estrogeni (rispettivamente 17β-Estradiolo o Estrone). Ora sappiamo che il I3C, maggiormente per via della sua conversione in DIM, riduce l’espressione di CYP19 nelle cellule mammarie non tumorali e tumorigeniche estrogeno-responsive (ER+), mentre l’espressione di CYP19 è aumentata nelle cellule mammarie tumorigeniche estrogeno-indipendenti (ER-) trattate con I3C/DIM [54]. Tale effetto potrebbe verificarsi a livello sistemico il che potrebbe comportare un uso di integratori di I3C o DIM come mezzo di controllo estrogenico in quei soggetti nei quali il CYP19 viene espresso in maniera maggiore anche in situazioni di terapia ormonale sostitutiva (vedi TRT).

Ruolo dell’Aromatasi nella sintesi degli Estrogeni.

Come abbiamo visto, gli enzimi metabolizzanti di fase I, CYP1A1, CYP1A2 e CYP1B1, sono stati coinvolti nel metabolismo ossidativo degli estrogeni. Il 17β-Estradiolo può essere convertito in 2-idrossiestradiolo (2HE2) e 4-idrossiestradiolo (4HE2) rispettivamente da CYP1A1/2 e CYP1B1. 2HE2 e 4HE2 sono ulteriormente metabolizzati a 2- e 4-metossimetaboliti dall’enzima di fase II, catecol-O-metiltransferasi (COMT) [55]. Il 2HE2 è un agente non cancerogeno con un potenziale estrogenico più debole del 17β-estradiolo, mentre il 4-HE2 può essere convertito in radicali liberi che possono formare addotti del DNA e promuovere la carcinogenesi [56-57]. In diverse linee cellulari di cancro al seno, è stato dimostrato che I3C e DIM, in particolare, sovraregolano l’espressione di CYP1A1, CYP1A2 e CYP1B1 a livello di trascritto (mRNA) ma non a livello di proteina [58]. Inoltre, gli estrogeni endogeni 17β-Estradiolo ed Estrone possono essere metabolizzati irreversibilmente a 16a-idrossiestrone (16HE1) [59]. A differenza del 2-idrossiestrone (2HE1), il 16HE1 è altamente estrogenico ed è stato scoperto che stimola la proliferazione di diverse linee cellulari tumorali sensibili agli estrogeni [60-61]. È stato ipotizzato che spostare il metabolismo del 17β-Estradiolo verso 2HE1 e lontano da 16HE1, potrebbe ridurre il rischio di tumori sensibili agli estrogeni, come il cancro al seno [62]. Negli studi clinici controllati, l’integrazione orale con I3C o DIM ha costantemente aumentato le concentrazioni urinarie di 2HE1 oi rapporti urinari 2HE1:16HE1 nelle donne [63-64]. Tuttavia, ampi studi caso-controllo e prospettici di coorte non sono riusciti a trovare associazioni significative tra i rapporti urinari 2HE1:16HE1 e il rischio di cancro al seno e all’endometrio [65-66].

16a-idrossiestrone (16HE1)

Gli estrogeni endogeni, compreso il 17β-Estradiolo, esercitano i loro effetti estrogenici legandosi a specifici recettori nucleari chiamati Recettori per gli Estrogeni (ER). All’interno del nucleo, gli ER attivati dagli estrogeni possono legarsi a specifiche sequenze di DNA, note come Elementi di Risposta agli Estrogeni (ERE), nei promotori dei geni che rispondono agli estrogeni. I complessi estrogeno-ER legati all’ERE agiscono come fattori di trascrizione reclutando proteine coattivatrici e fattori di rimodellamento della cromatina nei promotori, innescando così la trascrizione dei geni bersaglio [67]. Come sappiamo, esistono due principali sottotipi di ER, ERα ed ERβ, codificati rispettivamente da due geni separati ESR1 e ESR2. Il ERα è il principale driver dell’effetto proliferativo degli estrogeni, mentre l’espressione del ERβ è stata inversamente associata alla tumorigenesi della ghiandola mammaria [68]. Livelli elevati di ERα promuovono la proliferazione cellulare nel seno e nell’utero, aumentando probabilmente il rischio di sviluppare tumori sensibili agli estrogeni [69].

Nelle cellule del cancro al seno umano sensibili agli estrogeni fatte interagire con il 17β-Estradiolo, è stato scoperto che l’I3C inibisce la trascrizione dei geni sensibili agli estrogeni senza legarsi né al ERβ né al ERα [70-71]. In effetti, è stato dimostrato che il legame di I3C ad AhR innesca la degradazione dipendente dal proteasoma di ERα [72]. La perdita del ERα indotta da I3C ha portato alla sotto-regolazione dei prodotti genici che rispondono al ERα come il fattore di trascrizione GATA3. Poiché GATA3 regola la trascrizione del gene codificante ERα ESR1, l’I3C ha impedito la sintesi di nuove trascrizioni e proteine ​​ERα, sopprimendo infine la via di segnalazione ERα. L’interruzione dell’anello cross-regolatorio GATA3/ERα da parte del I3C ha infine arrestato la proliferazione cellulare ERα-dipendente [73]. I prodotti di condensazione acida del I3C che legano e attivano AhR possono anche inibire la trascrizione dei geni sensibili agli estrogeni competendo per i co-attivatori o aumentando la degradazione del ERα [74]. Il trattamento con I3C ha anche influenzato l’espressione di altri geni ERα-responsivi, compresi quelli che codificano per il Recettore del Fattore di Crescita Insulino-Simile-1 (IGFR1) e il substrato del recettore dell’Insulina-1 (IRS-1), coinvolti nella proliferazione cellulare e deregolati nel cancro al seno ( Figura seguente) [75].

Recettore del Fattore di Crescita Insulino-Simile-1 (IGFR1)

In base alle informazioni riportate in letteratura, sebbene limitate, possiamo ipotizzare che una supplementazione di I3C o DIM possa essere funzionale ad un controllo estrogenico in soggetti trattati con terapia sostitutiva del Testosterone (TRT) che presentano superiori espressioni dell’enzima Aromatasi legate a fattori non controllabili attraverso la semplice dieta e l’allenamento (vedi riduzione della massa grassa). Parliamo quindi di condizioni di lieve iperestrogenemia o alterata estrogenemia soggetto-sensibile (cioè non quantificabile con l’intervallo di riferimento standard ma solo con analisi dei sintomi legati ad una aumentata attività estrogenica). La sua efficacia di controllo estrogenico potrebbe però non essere sufficiente in contesti di uso di dosi sovrafisiologiche di AAS aromatizzabili, specie se queste superano i 180mg di Testosterone (netto) a settimana [dati raccolti aneddoticamente].

L’I3C è disponibile come prodotto da banco senza prescrizione medica anche in Italia, da solo o in combinazione con altre molecole. Il dosaggio varia tra 200 mg/die e 800 mg/die [76]. L’integrazione di I3C ha aumentato le concentrazioni urinarie di 2HE1 negli adulti a dosi da 300 a 400 mg/die [77]. Dosi di I3C di 200 mg/die o 400 mg/die hanno migliorato la regressione della neoplasia intraepiteliale cervicale (CIN) in uno studio clinico preliminare [78]. L’I3C in dosi fino a 400 mg/die è stato usato per trattare la papillomatosi respiratoria ricorrente (vedi Trattamento della malattia) [79-80]. In caso di lieve iperestrogenemia o alterata estrogenemia soggetto-sensibile, il dosaggio di 400mg/die ha portato benefici apprezzabili, sebbene con risposte soggettive, nel giro di 7-14 giorni di somministrazione continua [dati raccolti aneddoticamente].

Il DIM è anch’esso disponibile senza prescrizione medica come integratore alimentare da banco, nonostante sia più difficile da trovare, da solo o in combinazione con altre molecole. In un piccolo studio clinico, l’integrazione di DIM alla dose di 108mg/die per 30 giorni ha aumentato l’escrezione urinaria di 2HE1 nelle donne in postmenopausa con anamnesi di cancro al seno [81]. Dosaggi di 100-200mg/die si sono dimostrati discretamente efficaci in caso di lieve iperestrogenemia o alterata estrogenemia soggetto-sensibile in individui in terapia sostitutiva del Testosterone [dati raccolti aneddoticamente].

Leggeri aumenti delle concentrazioni sieriche dell’enzima epatico, alanina aminotransferasi (ALT) sono stati osservati in due donne che hanno assunto dosi non specificate di integratori di I3C per quattro settimane [64]. Una persona ha riportato un’eruzione cutanea durante l’assunzione di 375 mg/die di I3C [82]. Alte dosi di I3C (800 mg/die) sono state associate a sintomi di squilibrio e tremore, che si sono risolti quando la dose è stata ridotta [83]. In uno studio di fase I in donne ad alto rischio di cancro al seno, 5 partecipanti su 20 hanno manifestato sintomi gastrointestinali con dosi singole ≥600 mg, sebbene altri non abbiano avuto effetti avversi con dosi singole fino a 1.200mg [84]. Non sono stati segnalati effetti avversi con il consumo giornaliero di 400mg di I3C per quattro settimane [84]. In alcuni modelli animali, è stato scoperto che l’integrazione di I3C migliora lo sviluppo del cancro indotto dal cancerogeno quando somministrato cronicamente dopo il cancerogeno [85-86]. Quando somministrato prima o contemporaneamente al cancerogeno, l’I3C orale ha inibito la tumorigenesi in modelli animali di tumori della ghiandola mammaria [87-88], dell’utero [89], dello stomaco [90], del colon [91-92], del polmone [93] e fegato [94-95]. Sebbene non siano noti gli effetti a lungo termine dell’integrazione di I3C sul rischio di cancro nell’uomo, i risultati contraddittori degli studi sugli animali hanno portato diversi esperti a mettere in guardia contro l’uso diffuso di integratori di I3C e DIM negli esseri umani fino a quando i loro potenziali rischi e benefici non saranno meglio compresi [86-96-97]. La sicurezza degli integratori contenenti I3C o DIM durante la gravidanza o l’allattamento non è stata stabilita [98].

Non sono state segnalate interazioni farmacologiche con l’integrazione di I3C o DIM nell’uomo. Tuttavia, l’evidenza preliminare che I3C e DIM possono aumentare l’attività del CYP1A2 [99-100] suggerisce che l’integrazione con I3C o DIM può ridurre le concentrazioni sieriche dei farmaci metabolizzati dal CYP1A2 [101]. Sia I3C che DIM aumentano modestamente l’attività del CYP3A4 nei ratti quando somministrati cronicamente [102]. Questa osservazione aumenta il potenziale di interazioni farmacologiche avverse nell’uomo poiché il CYP3A4 è coinvolto nel metabolismo di circa il 60% dei farmaci terapeutici. L’ambiente acido dello stomaco consente alle molecole I3C di condensare e generare un numero di oligomeri I3C biologicamente attivi. I farmaci che bloccano la produzione di acidi dello stomaco, come gli antiacidi, gli antagonisti del recettore dell’istamina2 (H2) e gli inibitori della pompa protonica, probabilmente impedirebbero la generazione di DIM e ICZ. Tuttavia, non è noto se questi farmaci limitino le attività biologiche attribuite all’I3C e ai suoi derivati ​​[98].

Si esorta il lettore ad avere cautela nell’uso delle summenzionate molecole. A causa del loro effetto sui livelli di Estrogeni (ricordo che gli estrogeni hanno, tra le altre cose, un impatto significativo sulla funzione cerebrale, metabolismo osseo e comportamento/attività sessuale).[103][104] Prima di procedere con il trattamento assicurarsi, per via di analisi specifiche e consulto di specialisti, che i livelli estrogenici e/o la loro attività tissutale necessitino di un controllo per via di trattamento con molecole esogene.

Gabriel Bellizzi

Riferimenti:

  1. https://www.chemblink.com/products/700-06-1.htm
  2. https://www.chemblink.com/products/700-06-1.htm
  3. Sarubin-Fragakis, A.; Thomson, C.; American Dietetic Association (2007). The Health Professional’s Guide to Popular Dietary Supplements. American Dietetic Association. p. 312. ISBN 9780880913638.
  4. Park, N. I.; Kim, J. K.; Park, W. T.; Cho, J. W.; Lim, Y. P.; Park, S. U. (2010). “An efficient protocol for genetic transformation of watercress (Nasturtium officinale) using Agrobacterium rhizogenes”. Molecular Biology Reports38(8): 4947–4953. 
  5. “indole-3-methanol (CHEBI:24814)”Chemical Entities of Biological Interest (ChEBI). European Bioinformatics Institute. Retrieved 2016-03-25.
  6. Tilton, S. C.; Hendricks, J. D.; Orner, G. A.; Pereira, C. B.; Bailey, G. S.; Williams, D. E. (2007). “Gene expression analysis during tumor enhancement by the dietary phytochemical, 3,3′-diindolylmethane, in rainbow trout”Carcinogenesis28 (7): 1589–1598.
  7. Higdon, J.; Delage, B.; Williams, D.; Dashwood, R. (2007). “Cruciferous vegetables and human cancer risk: Epidemiologic evidence and mechanistic basis”Pharmacological Research55 (3): 224–236. 
  8. Dashwood, R. H.; Arbogast, D. N.; Fong, A. T.; Pereira, C.; Hendricks, J. D.; Bailey, G. S. (1989). “Quantitative inter-relationships between aflatoxin B1 carcinogen dose, indole-3-carbinol anti-carcinogen dose, target organ DNA adduction and final tumor response”. Carcinogenesis10 (1): 175–181. 
  9. Grose KR, Bjeldanes LF. Oligomerization of indole-3-carbinol in aqueous acidChem Res Toxicol. (1992)
  10. Riby JE1, et al. The major cyclic trimeric product of indole-3-carbinol is a strong agonist of the estrogen receptor signaling pathwayBiochemistry. (2000)
  11. Aggarwal BB, Ichikawa H. Molecular targets and anticancer potential of indole-3-carbinol and its derivativesCell Cycle. (2005)
  12. Pappa G, et al. Quantitative combination effects between sulforaphane and 3,3′-diindolylmethane on proliferation of human colon cancer cells in vitroCarcinogenesis. (2007)
  13. Bradfield CA, Bjeldanes LF. Structure-activity relationships of dietary indoles: a proposed mechanism of action as modifiers of xenobiotic metabolismJ Toxicol Environ Health. (1987)
  14. De Kruif CA, et al. Structure elucidation of acid reaction products of indole-3-carbinol: detection in vivo and enzyme induction in vitroChem Biol Interact. (1991)
  15. McNaughton SA, Marks GC. Development of a food composition database for the estimation of dietary intakes of glucosinolates, the biologically active constituents of cruciferous vegetablesBr J Nutr. (2003)
  16. Shapiro TA, et al. Chemoprotective glucosinolates and isothiocyanates of broccoli sprouts: metabolism and excretion in humansCancer Epidemiol Biomarkers Prev. (2001)
  17. Conaway CC, et al. Disposition of glucosinolates and sulforaphane in humans after ingestion of steamed and fresh broccoliNutr Cancer. (2000)
  18. Shapiro TA, et al. Human metabolism and excretion of cancer chemoprotective glucosinolates and isothiocyanates of cruciferous vegetablesCancer Epidemiol Biomarkers Prev. (1998)
  19. Rouzaud G, Young SA, Duncan AJ. Hydrolysis of glucosinolates to isothiocyanates after ingestion of raw or microwaved cabbage by human volunteersCancer Epidemiol Biomarkers Prev. (2004)
  20. Verkerk R, Dekker M. Glucosinolates and myrosinase activity in red cabbage (Brassica oleracea L. var. Capitata f. rubra DC.) after various microwave treatmentsJ Agric Food Chem. (2004)
  21. Rungapamestry V, et al. Changes in glucosinolate concentrations, myrosinase activity, and production of metabolites of glucosinolates in cabbage (Brassica oleracea Var. capitata) cooked for different durationsJ Agric Food Chem. (2006)
  22. Song L, Thornalley PJ. Effect of storage, processing and cooking on glucosinolate content of Brassica vegetablesFood Chem Toxicol. (2007)
  23. Weng JR, et al. Indole-3-carbinol as a chemopreventive and anti-cancer agentCancer Lett. (2008)
  24.  Aromatic hydrocarbon responsiveness-receptor agonists generated from indole-3-carbinol in vitro and in vivo: comparisons with 2,3,7,8-tetrachlorodibenzo-p-dioxin.
  25. 2,3,7,8-Tetrachlorodibenzo-p-dioxin and Diindolylmethanes Differentially Induce Cytochrome P450 1A1, 1B1, and 19 in H295R Human Adrenocortical Carcinoma.
  26.  Effects of dietary indole-3-carbinol on estradiol metabolism and spontaneous mammary tumors in mice.
  27. Chang HP, et al. Antiobesity activities of indole-3-carbinol in high-fat-diet-induced obese miceNutrition. (2011)
  28. Shin JH1, et al. Modulation of natural killer cell antitumor activity by the aryl hydrocarbon receptorProc Natl Acad Sci U S A. (2013)
  29. Marques M, et al. Low levels of 3,3′-diindolylmethane activate estrogen receptor α and induce proliferation of breast cancer cells in the absence of estradiolBMC Cancer. (2014)
  30. Selective Activation of Estrogen Receptor-β Target Genes by 3,3′-Diindolylmethane.
  31. Lo R, Matthews J. A new class of estrogen receptor beta-selective activatorsMol Interv. (2010)
  32. Leong H1, et al. Potent ligand-independent estrogen receptor activation by 3,3′-diindolylmethane is mediated by cross talk between the protein kinase A and mitogen-activated protein kinase signaling pathwaysMol Endocrinol. (2004)
  33. Leong H1, Firestone GL, Bjeldanes LF. Cytostatic effects of 3,3′-diindolylmethane in human endometrial cancer cells result from an estrogen receptor-mediated increase in transforming growth factor-alpha expressionCarcinogenesis. (2001)
  34. Sanderson JT, et al. 2,3,7,8-Tetrachlorodibenzo-p-dioxin and diindolylmethanes differentially induce cytochrome P450 1A1, 1B1, and 19 in H295R human adrenocortical carcinoma cellsToxicol Sci. (2001)
  35. Ah receptor agonists as endocrine disruptors: antiestrogenic activity and mechanisms.
  36. Okino ST, et al. Toxic and chemopreventive ligands preferentially activate distinct aryl hydrocarbon receptor pathways: implications for cancer preventionCancer Prev Res (Phila). (2009)
  37. Parkin DR, et al. Inhibitory effects of a dietary phytochemical 3,3′-diindolylmethane on the phenobarbital-induced hepatic CYP mRNA expression and CYP-catalyzed reactions in female ratsFood Chem Toxicol. (2008)
  38. Wattenberg LW, Loub WD. Inhibition of polycyclic aromatic hydrocarbon-induced neoplasia by naturally occurring indolesCancer Res. (1978)
  39. Jellinck PH1, et al. Ah receptor binding properties of indole carbinols and induction of hepatic estradiol hydroxylationBiochem Pharmacol. (1993)
  40. Estrogenic and antiestrogenic activities of 16α- and 2-hydroxy metabolites of 17β-estradiol in MCF-7 and T47D human breast cancer cells.
  41. Sepkovic DW, et al. Catechol estrogen production in rat microsomes after treatment with indole-3-carbinol, ascorbigen, or beta-naphthaflavone: a comparison of stable isotope dilution gas chromatography-mass spectrometry and radiometric methodsSteroids. (1994)
  42. Bradlow HL, et al. 2-hydroxyestrone: the ‘good’ estrogenJ Endocrinol. (1996)
  43. Dalessandri KM1, et al. Pilot study: effect of 3,3′-diindolylmethane supplements on urinary hormone metabolites in postmenopausal women with a history of early-stage breast cancerNutr Cancer. (2004)
  44. Fan S1, et al. DIM (3,3′-diindolylmethane) confers protection against ionizing radiation by a unique mechanismProc Natl Acad Sci U S A. (2013)
  45. Kitagawa R1, Kastan MB. The ATM-dependent DNA damage signaling pathwayCold Spring Harb Symp Quant Biol. (2005)
  46. Goodarzi AA1, et al. Autophosphorylation of ataxia-telangiectasia mutated is regulated by protein phosphatase 2AEMBO J. (2004)
  47. Kotsopoulos J1, et al. BRCA1 mRNA levels following a 4-6-week intervention with oral 3,3′-diindolylmethaneBr J Cancer. (2014)
  48. Grubbs CJ1, et al. Chemoprevention of chemically-induced mammary carcinogenesis by indole-3-carbinolAnticancer Res. (1995)
  49. Le HT, et al. Plant-derived 3,3′-Diindolylmethane is a strong androgen antagonist in human prostate cancer cellsJ Biol Chem. (2003)
  50. Vivar OI1, et al. 3,3′-Diindolylmethane induces a G(1) arrest in human prostate cancer cells irrespective of androgen receptor and p53 statusBiochem Pharmacol. (2009)
  51. Karan D1, et al. Expression profile of differentially-regulated genes during progression of androgen-independent growth in human prostate cancer cellsCarcinogenesis. (2002)
  52. Xue L1, Firestone GL, Bjeldanes LF. DIM stimulates IFNgamma gene expression in human breast cancer cells via the specific activation of JNK and p38 pathwaysOncogene. (2005)
  53. Saw CL, et al. Pharmacodynamics of dietary phytochemical indoles I3C and DIM: Induction of Nrf2-mediated phase II drug metabolizing and antioxidant genes and synergism with isothiocyanatesBiopharm Drug Dispos. (2011)
  54. Belous AR, Hachey DL, Dawling S, Roodi N, Parl FF. Cytochrome P450 1B1-mediated estrogen metabolism results in estrogen-deoxyribonucleoside adduct formation. Cancer Res. 2007;67(2):812-817.
  55. Jefcoate CR, Liehr JG, Santen RJ, et al. Tissue-specific synthesis and oxidative metabolism of estrogens. J Natl Cancer Inst Monogr. 2000(27):95-112.
  56. Kwon YJ, Baek HS, Ye DJ, Shin S, Kim D, Chun YJ. CYP1B1 enhances cell proliferation and metastasis through induction of EMT and activation of Wnt/beta-catenin signaling via Sp1 upregulation. PLoS One. 2016;11(3):e0151598.  
  57. Park SA, Lee MH, Na HK, Surh YJ. 4-Hydroxyestradiol induces mammary epithelial cell transformation through Nrf2-mediated heme oxygenase-1 overexpression. Oncotarget. 2016;8(1):164-178. 
  58. Szaefer H, Licznerska B, Krajka-Kuzniak V, Bartoszek A, Baer-Dubowska W. Modulation of CYP1A1, CYP1A2 and CYP1B1 expression by cabbage juices and indoles in human breast cell lines. Nutr Cancer. 2012;64(6):879-888.
  59. Ziegler RG, Fuhrman BJ, Moore SC, Matthews CE. Epidemiologic studies of estrogen metabolism and breast cancer. Steroids. 2015;99(Pt A):67-75. 
  60. Telang NT, Suto A, Wong GY, Osborne MP, Bradlow HL. Induction by estrogen metabolite 16 alpha-hydroxyestrone of genotoxic damage and aberrant proliferation in mouse mammary epithelial cells. J Natl Cancer Inst. 1992;84(8):634-638.  
  61. Yuan F, Chen DZ, Liu K, Sepkovic DW, Bradlow HL, Auborn K. Anti-estrogenic activities of indole-3-carbinol in cervical cells: implication for prevention of cervical cancer. Anticancer Res. 1999;19(3A):1673-1680.  
  62.  Bradlow HL, Telang NT, Sepkovic DW, Osborne MP. 2-Hydroxyestrone: the ‘good’ estrogen. J Endocrinol. 1996;150 Suppl:S259-265.
  63. Bradlow HL, Michnovicz JJ, Halper M, Miller DG, Wong GY, Osborne MP. Long-term responses of women to indole-3-carbinol or a high fiber diet. Cancer Epidemiol Biomarkers Prev. 1994;3(7):591-595. 
  64. Wong GY, Bradlow L, Sepkovic D, Mehl S, Mailman J, Osborne MP. Dose-ranging study of indole-3-carbinol for breast cancer prevention. J Cell Biochem Suppl. 1997;28-29:111-116.
  65. Arslan AA, Shore RE, Afanasyeva Y, Koenig KL, Toniolo P, Zeleniuch-Jacquotte A. Circulating estrogen metabolites and risk for breast cancer in premenopausal women. Cancer Epidemiol Biomarkers Prev. 2009;18(8):2273-2279.
  66. Zeleniuch-Jacquotte A, Shore RE, Afanasyeva Y, et al. Postmenopausal circulating levels of 2- and 16alpha-hydroxyestrone and risk of endometrial cancer. Br J Cancer. 2011;105(9):1458-1464.
  67. Liehr JG. Is estradiol a genotoxic mutagenic carcinogen? Endocr Rev. 2000;21(1):40-54. 
  68. Ashok BT, Chen Y, Liu X, Bradlow HL, Mittelman A, Tiwari RK. Abrogation of estrogen-mediated cellular and biochemical effects by indole-3-carbinol. Nutr Cancer. 2001;41(1-2):180-187. 
  69. Meng Q, Yuan F, Goldberg ID, Rosen EM, Auborn K, Fan S. Indole-3-carbinol is a negative regulator of estrogen receptor-alpha signaling in human tumor cells. J Nutr. 2000;130(12):2927-2931.  
  70. Marconett CN, Sundar SN, Poindexter KM, Stueve TR, Bjeldanes LF, Firestone GL. Indole-3-carbinol triggers aryl hydrocarbon receptor-dependent estrogen receptor (ER)alpha protein degradation in breast cancer cells disrupting an ERalpha-GATA3 transcriptional cross-regulatory loop. Mol Biol Cell. 2010;21(7):1166-1177.  
  71. Chen I, McDougal A, Wang F, Safe S. Aryl hydrocarbon receptor-mediated antiestrogenic and antitumorigenic activity of diindolylmethane. Carcinogenesis. 1998;19(9):1631-1639. 
  72. Marconett CN, Singhal AK, Sundar SN, Firestone GL. Indole-3-carbinol disrupts estrogen receptor-alpha dependent expression of insulin-like growth factor-1 receptor and insulin receptor substrate-1 and proliferation of human breast cancer cells. Mol Cell Endocrinol. 2012;363(1-2):74-84. 
  73. Stewart ZA, Westfall MD, Pietenpol JA. Cell-cycle dysregulation and anticancer therapy. Trends Pharmacol Sci. 2003;24(3):139-145.  (PubMed)
  74. Mao CG, Tao ZZ, Chen Z, Chen C, Chen SM, Wan LJ. Indole-3-carbinol inhibits nasopharyngeal carcinoma cell growth in vivo and in vitro through inhibition of the PI3K/Akt pathway. Exp Ther Med. 2014;8(1):207-212.  (PubMed)
  75. Leem SH, Li XJ, Park MH, Park BH, Kim SM. Genome-wide transcriptome analysis reveals inactivation of Wnt/beta-catenin by 3,3′-diindolylmethane inhibiting proliferation of colon cancer cells. Int J Oncol. 2015;47(3):918-926.  (PubMed)
  76. Hendler SS, Rorvik DM. PDR for Nutritional Supplements. 2nd ed: Thomson Reuters; 2008.
  77. Wong GY, Bradlow L, Sepkovic D, Mehl S, Mailman J, Osborne MP. Dose-ranging study of indole-3-carbinol for breast cancer prevention. J Cell Biochem Suppl. 1997;28-29:111-116. 
  78.  Bell MC, Crowley-Nowick P, Bradlow HL, et al. Placebo-controlled trial of indole-3-carbinol in the treatment of CIN. Gynecol Oncol. 2000;78(2):123-129. 
  79. Rosen CA, Woodson GE, Thompson JW, Hengesteg AP, Bradlow HL. Preliminary results of the use of indole-3-carbinol for recurrent respiratory papillomatosis. Otolaryngol Head Neck Surg. 1998;118(6):810-815. 
  80. Rosen CA, Bryson PC. Indole-3-carbinol for recurrent respiratory papillomatosis: long-term results. J Voice. 2004;18(2):248-253. 
  81. Dalessandri KM, Firestone GL, Fitch MD, Bradlow HL, Bjeldanes LF. Pilot study: effect of 3,3′-diindolylmethane supplements on urinary hormone metabolites in postmenopausal women with a history of early-stage breast cancer. Nutr Cancer. 2004;50(2):161-167.  (PubMed)
  82. McAlindon TE, Gulin J, Chen T, Klug T, Lahita R, Nuite M. Indole-3-carbinol in women with SLE: effect on estrogen metabolism and disease activity. Lupus. 2001;10(11):779-783. 
  83. Rosen CA, Woodson GE, Thompson JW, Hengesteg AP, Bradlow HL. Preliminary results of the use of indole-3-carbinol for recurrent respiratory papillomatosis. Otolaryngol Head Neck Surg. 1998;118(6):810-815.
  84. Reed GA, Arneson DW, Putnam WC, et al. Single-dose and multiple-dose administration of indole-3-carbinol to women: pharmacokinetics based on 3,3′-diindolylmethane. Cancer Epidemiol Biomarkers Prev. 2006;15(12):2477-2481.
  85. Kim DJ, Han BS, Ahn B, et al. Enhancement by indole-3-carbinol of liver and thyroid gland neoplastic development in a rat medium-term multiorgan carcinogenesis model. Carcinogenesis. 1997;18(2):377-381.
  86. Stoner G, Casto B, Ralston S, Roebuck B, Pereira C, Bailey G. Development of a multi-organ rat model for evaluating chemopreventive agents: efficacy of indole-3-carbinol. Carcinogenesis. 2002;23(2):265-272. 
  87. Grubbs CJ, Steele VE, Casebolt T, et al. Chemoprevention of chemically-induced mammary carcinogenesis by indole-3-carbinol. Anticancer Res. 1995;15(3):709-716.  
  88. Bradlow HL, Michnovicz J, Telang NT, Osborne MP. Effects of dietary indole-3-carbinol on estradiol metabolism and spontaneous mammary tumors in mice. Carcinogenesis. 1991;12(9):1571-1574. 
  89. Kojima T, Tanaka T, Mori H. Chemoprevention of spontaneous endometrial cancer in female Donryu rats by dietary indole-3-carbinol. Cancer Res. 1994;54(6):1446-1449.  
  90. Wattenberg LW, Loub WD. Inhibition of polycyclic aromatic hydrocarbon-induced neoplasia by naturally occurring indoles. Cancer Res. 1978;38(5):1410-1413. 
  91. Wargovich MJ, Chen CD, Jimenez A, et al. Aberrant crypts as a biomarker for colon cancer: evaluation of potential chemopreventive agents in the rat. Cancer Epidemiol Biomarkers Prev. 1996;5(5):355-360.  
  92. Guo D, Schut HA, Davis CD, Snyderwine EG, Bailey GS, Dashwood RH. Protection by chlorophyllin and indole-3-carbinol against 2-amino-1-methyl-6-phenylimidazo[4,5-b]pyridine (PhIP)-induced DNA adducts and colonic aberrant crypts in the F344 rat. Carcinogenesis. 1995;16(12):2931-2937. 
  93. Morse MA, LaGreca SD, Amin SG, Chung FL. Effects of indole-3-carbinol on lung tumorigenesis and DNA methylation induced by 4-(methylnitrosamino)-1-(3-pyridyl)-1-butanone (NNK) and on the metabolism and disposition of NNK in A/J mice. Cancer Res. 1990;50(9):2613-2617.
  94. Dashwood RH, Arbogast DN, Fong AT, Hendricks JD, Bailey GS. Mechanisms of anti-carcinogenesis by indole-3-carbinol: detailed in vivo DNA binding dose-response studies after dietary administration with aflatoxin B1. Carcinogenesis. 1988;9(3):427-432. 
  95. Oganesian A, Hendricks JD, Williams DE. Long term dietary indole-3-carbinol inhibits diethylnitrosamine-initiated hepatocarcinogenesis in the infant mouse model. Cancer Lett. 1997;118(1):87-94. 
  96. Dashwood RH. Indole-3-carbinol: anticarcinogen or tumor promoter in brassica vegetables? Chem Biol Interact. 1998;110(1-2):1-5. 
  97. Lee BM, Park KK. Beneficial and adverse effects of chemopreventive agents. Mutat Res. 2003;523-524:265-278.
  98. Hendler SS, Rorvik DM. PDR for Nutritional Supplements. 2nd ed: Thomson Reuters; 2008.
  99. He YH, Friesen MD, Ruch RJ, Schut HA. Indole-3-carbinol as a chemopreventive agent in 2-amino-1-methyl-6-phenylimidazo[4,5-b]pyridine (PhIP) carcinogenesis: inhibition of PhIP-DNA adduct formation, acceleration of PhIP metabolism, and induction of cytochrome P450 in female F344 rats. Food Chem Toxicol. 2000;38(1):15-23. 
  100. Lake BG, Tredger JM, Renwick AB, Barton PT, Price RJ. 3,3′-Diindolylmethane induces CYP1A2 in cultured precision-cut human liver slices. Xenobiotica. 1998;28(8):803-811. 
  101. Natural Medicines. Professional monograph: Indole-3-carbinol/Interactions with drugs; 2016.
  102. Leibelt DA, Hedstrom OR, Fischer KA, Pereira CB, Williams DE. Evaluation of chronic dietary exposure to indole-3-carbinol and absorption-enhanced 3,3′-diindolylmethane in Sprague-Dawley rats. Toxicol Sci. 2003;74(1):10-21.
  103. Culmsee, C.; Vedder, H.; Ravati, A.; Junker, V.; Otto, D.; Ahlemeyer, B.; Krieg, J.-C.; Krieglstein, J. (1999). “Neuroprotection by Estrogens in a Mouse Model of Focal Cerebral Ischemia and in Cultured Neurons: Evidence for a Receptor-Independent Antioxidative Mechanism”Journal of Cerebral Blood Flow & Metabolism19 (11): 1263–1269. 
  104. “Estrogen’s Influence on the Brain”. Society for Neuroscience.