Uno degli argomenti che spesso vengono dibattuti in ambito sportivo, e soprattutto culturistico, è il senso, non ché l’efficacia, dell’uso del solo GH per il miglioramento delle prestazioni. Ormai dovrebbe essere di dominio pubblico il fatto che il GH, di per se, non è una molecola anabolizzante (se non, e per un certo grado diretto/indiretto, a carico delle fibre di tipo I), e che anche l’aumento del solo IGF-1, legato al picco del precedente peptide, non è garanzia di incrementi significativi nelle dimensioni del tessuto contrattile se non accompagnato da altri fattori come l’incremento concomitante di AAS circolanti. Quindi, è facile giungere alla conclusione che protocolli farmacologici volti all’ipertrofia, o al mantenimento della stessa, basati esclusivamente sul GH sono fallimentari, e, alle dosi consuete o minimamente efficaci, con un carico di possibili effetti avversi sicuramente maggiore rispetto ai possibili benefici (vedi, ad esempio, peggioramento dell’insulino resistenza e quello consequenziale dello stato metabolico glucidico/lipidico e della composizione corporea). I benefici sulle articolazioni, se qualcuno se lo chiedesse, possono essere raggiunti con dosi decisamente inferiori a quelle comunemente utilizzate dai BodyBuilder e, con l’avvento di peptidi specifici per tali trattamenti, oggi l’applicazione del GH in monoterapia è quasi del tutto in disuso anche nell’ambiente “doped” (quello minimamente aggiornato). Comunque sia, l’uso del solo GH per il miglioramento delle prestazioni potrebbe non risultare sempre inutile…se si è atleti di sport caratterizzati da sprint. Questa è la conclusione raggiunta dall’esperto dell’Ormone della Crescita Ken Ho presso la University of New South Wales, in una review pubblicata su Archives of Endocrinology and Metabolism.(1)
Ken Ho ha voluto trovare una risposta al quesito pocanzi discusso valutando quanto forti fossero le evidenze scientifiche che avvalorassero il potenziale del GH sul miglioramento delle prestazione. Per fare ciò ha raccolto tutti gli studi sull’uomo che prendevano in esame soggetti sani e in forma.
In quasi tutti gli studi raccolti, i soggetti avevano ricevuto solo l’Ormone della Crescita. Come ben sappiamo, nella pratica sportiva, tali pratiche monoterapiche sono praticamente inesistenti. Gli atleti supplemenmtati farmacologicamente usano quasi sempre il GH in combinazione con altri composti che migliorano le prestazioni come gli AAS.
Negli studi raccolti da Ho, i soggetti presi in esame sono stati trattati con dosi di GH dai 15 ai 180mcg per Kg di peso corporeo al giorno per un periodo massimo di 12 settimane.
Diversi studi non hanno riportato alcuna prova che l’Ormone della Crescita possa aumentare la forza [2] o la resistenza aerobica [3] degli atleti trattati con tale peptide.
Tuttavia, esiste uno studio in cui la somministrazione dell’Ormone della Crescita ha portato ad un aumento della capacità negli esercizi anaerobici degli atleti pari al 3,8%. [4] La dose ricevuta dagli atleti in questione era di 2mg di GH al giorno. Questa dose è di circa 2-3 volte superiore alla capacità di sintesi endogena giornaliera di un soggetto in giovane età.
La somministrazione in questo specifico caso è durata 8 settimane.

Secondo quanto riportato dai ricercatori, se tradotto in riduzione proporzionale del tempo, il 3,8% potrebbe equivalere a un miglioramento di 0,4 secondi in uno sprint di 10 secondi, di 1,2 secondi nei 100 metri e di 30 secondi nel attraversamento di una vasca olimpionica di 50 metri.
I ricercatori concludono che, Nei soggetti in forma, il GH in dosi utilizzate negli studi eticamente controllati non influisce sulla forza muscolare o sulla capacità aerobica, ma migliora la capacità anaerobica. Le prove suggeriscono che è improbabile che l’Ormone della Crescita avvantaggi negli sport di potenza o di resistenza ma che probabilmente benefici eventi di breve durata, vedi, appunto, gli sprint.
Gabriel Bellizzi
Riferimenti:
1- http://dx.doi.org/10.20945/2359-3997000000187
2- https://pubmed.ncbi.nlm.nih.gov/1550219













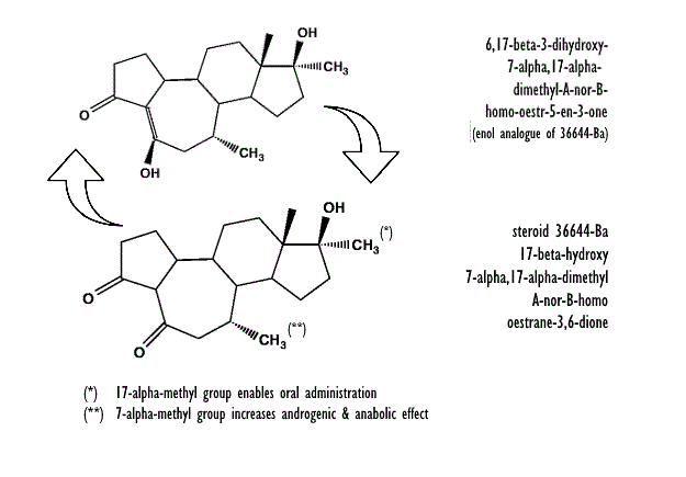
La prima formula strutturale mostrata di seguito è quella ufficiale, la seconda è il metabolita in cui il composto progenitore 36644-Ba si converte per poi ritornare alla forma di partenza.

