TEMPO DI RECUPERO IDEALE PRECEDENTE AD UNA COMPETIZIONE DI POWERLIFTING, WEIGHTLIFTING E STRONGMEN.

strongmen

Quando i Powerlifter, gli Strongmen o i Weightlifter si preparano per una competizione, avranno una prestazione migliore in gara se interrompono i loro allenamenti qualche giorno prima dell’evento…e questo lo sanno già in molti. La durata ottimale di tale periodo di cessazione dagli allenamento pre-gara è probabilmente di 4 giorni, almeno da quanto riportato dagli autori di uno studio che è stato pubblicato sul Journal of Strength & Conditioning Research. (1)

Quando gli atleti di forza si prendono alcuni giorni liberi dalla palestra, la loro forza aumenta. Ecco perché i Powerlifter e gli Strongmen spesso non si allenano per alcuni giorni prima di una competizione. C’è da sottolineare però che i periodi di riposo che durano una settimana o più possono essere dannosi per le prestazioni della forza, e questo lo sappiamo anche attraverso la ricerca. Quanto detto è tutto ciò che gli scienziati dello sport possono dire al momento su questo argomento.

Hayden Pritchard, uno scienziato del movimento neozelandese affiliato con l’Universal College of Learning, ha svolto il presente esperimento con 8 atleti di forza esperti per ottenere maggiore chiarezza sul periodo di riposo ottimale.

Pritchard ha lasciato che gli atleti si allenassero per 2 settimane con le loro abituali routine, per poi permettere loro di riposare per 3,5 giorni. Ha poi determinato quanta energia (in realtà: Newton per chilogrammo di peso corporeo) gli atleti potessero sviluppare durante un deadlift statico (Mid-Tigh Pull) e una sessione di pressione statica su panca (Isometric Bench Press). Questo è stato fatto con macchine in cui i pesi non potevano muoversi; i soggetti del test hanno comunque compiuto il massimo sforzo.

Successivamente a queste misurazioni, Pritchard ha ripetuto la procedura, ma questa volta ha permesso ai suoi soggetti dello studio di riposare per 5,5 giorni.

Vedere grafico sottostante: misurazioni A1 prima del periodo di allenamento di 2 settimane, misurazioni A2 dopo il periodo di allenamento, misurazioni A3 dopo un periodo di riposo di 3,5 giorni.

Vedere grafico sottostante: misurazioni B1 prima del periodo di allenamento di 2 settimane, misurazioni B2 dopo il periodo di allenamento, misurazioni B3 dopo un periodo di riposo di 5,5 giorni.

graficoschema

Sia il periodo di riposo di 3,5 giorni che quello di 5,5 giorni hanno portato a un aumento modesto ed identico della forza.

Entrambi i periodi di riposo hanno anche permesso ai soggetti dello studio di esercitare una forza tale negli arti inferiore da permettergli di saltare un po’ più in alto.

Secondo quanto riportato da Pritchard, sulla base delle scoperte attuali, è chiaro che la cessazione dagli allenamenti nel breve termine potrebbe essere utilizzata dai professionisti della forza e del condizionamento come mezzo efficace di riduzione graduale per migliorare l’espressione della forza massima. Si suggerisce che gli atleti impieghino un minimo di due giorni, ma non più di una settimana, di stacco dagli allenamenti prima di un evento importante nel quale l’espressione della forza massimale può essere benefico, con uno stacco ottimale che sembra essere di circa quattro giorni.

Gli atleti di forza e condizionamento dovrebbero anche considerare l’entità della routine allenante precedente alla competizione, poiché periodi di allenamento più duri possono richiedere periodi più lunghi di cessazione dagli allenamenti prima dell’evento.

I risultati mostrano anche che i Preparatori nel campo della forza e condizionamento possono progettare programmi per i loro atleti nei quali potrebbero impiegare brevi periodi di riposo dagli allenamenti rimanendo al contempo sicuri che gli atleti soggetti a tale pratica mantengano i loro livelli di forza raggiunti. Tale strategia potrebbe essere applicata come un periodo di recupero pianificato in un ciclo di allenamento o quando un atleta può avere accesso limitato a strutture di allenamento adeguate.

Gabriel Bellizzi

Riferimenti:

  1. https://doi.org/10.1519/JSC.0000000000001803

ALTI LIVELLI DI GLUCOSIO E TESTOSTERONE ENDOGENO

GLUCOSIO
Glucosio

 

Se si hanno livelli glicemici ematici eccessivamente alti, il corpo sintetizza meno Testosterone. Il meccanismo coinvolto è stato mostrato in uno studio in vitro svolto da endocrinologi italiani presso l’Università di Firenze e pubblicato sul International Journal of Endocrinology. (1) Se si desidera ottimizzare i livelli di Testosterone endogeno in modo naturale, bisogna assicurarsi di non aggravare l’insulino-resistenza (e di non far sfociare questa condizione in diabete di tipo II) oltre ad evitare picchi glicemici estremamente alti in cronico.

GNRH, Testosterone e Glucosio

I ricercatori italiani hanno svolto il presente studio al fine di comprendere meglio le cause che portano spesso i diabetici ad avere bassi livelli di Testosterone, il quale si traduce nello sviluppo di problemi della funzionalità sessuale e di infertilità. Hanno svolto esperimenti su cellule umane volte alla produzione di ormone di rilascio delle gonadotropine [GnRH]. Il GnRH svolge un ruolo chiave nel rilascio di Testosterone nel corpo.

gnrh
Ormone di rilascio delle gonadotropine [GnRH]

Nel cervello l’ipotalamo rilascia GnRH un paio di volte al giorno. Di conseguenza questo ormone stimola il rilascio di altri due ormoni ipofisari: LH e FSH. Questi ormoni a loro volta sono responsabili della produzione di Testosterone nei testicoli e della produzione di Testosterone, Progesterone ed Estradiolo nelle ovaie. E’ corretto specificare che nell’uomo l’FSH attiva la produzione della proteina legante gli androgeni (ABP) nelle cellule del Sertoli, nei tubuli seminiferi, ed è fondamentale per la spermatogenesi. E’ l’LH che nell’uomo ricopre principalmente il ruolo di stimolante l’attività endocrina delle cellule interstiziali del testicolo con produzione di Testosterone. Inoltre, a causa del suo ruolo nella produzione di Testosterone, ormone necessario per la maturazione delle cellule germinali, l’ormone luteinizzante stimola anche, in maniera indiretta, la spermatogenesi. Nella donna, invece, l’FSH e l’LH agiscono sinergicamente nella ASSELHFSHriproduzione. L’FSH è rilasciato nel circolo portale dell’adenoipofisi e poi nel circolo sanguineo sistemico dove rimane attivo per 3-4 ore. La sua funzione è principalmente di regolazione dello sviluppo dei follicoli ovarici e, quindi, della stimolazione della produzione di Estrogeno e Progesterone.

 

Studio

I ricercatori hanno esposto le cellule deputate alla produzione di GnRH a una concentrazione normale di glucosio [5 millimoli] [NG], ad un’alta concentrazione di glucosio [22 millimoli] [HG], ad una concentrazione molto elevata di glucosio [40 millimoli] [VHG] e al carboidrato mannitolo ad una concentrazione di 20 millimoli [M].

Se la regolazione del glucosio ematico e della secrezione e funzionalità dell’Insulina non sono compromesse, i livelli di glucosio non raggiungeranno mai gli alti livelli utilizzati dai ricercatori nel loro esperimento. D’altra parte solo i diabetici possono sperimentare questi livelli. E gli alimenti che contengono grandi quantità di carboidrati a rapido assorbimento possono aumentare i livelli di glucosio delle persone sane mediamente tra la concentrazione normale [5 millimoli] [NG] e l’alta concentrazione di glucosio [20 millimoli] [HG] utilizzate nello studio.

Risultati

Le figure sottostanti mostrano che alte concentrazioni di glucosio riducono il rilascio di GnRH. Ciò è probabilmente dovuto al fatto che, in grandi quantità, il glucosio riduce la produzione del recettore per il peptide KISS-1 e il conseguente rilascio di KISS-1. Il KISS-1 è un ormone che aumenta il rilascio di GnRH.

200px-Clenbuterol_skeletal_svg

Un’alta concentrazione di glucosio riduce anche la produzione di recettori per la Leptina [LEPR], come mostrato sopra. Come ben sappiamo, la Leptina è un ormone rilasciato dalle cellule adipose. Tra le sue azioni vi è anche quella di stimola il rilascio di LH, e con sequenzialmente anche di Testosterone, tramite il KISS-1.

I ricercatori hanno voluto dimostrare se la loro teoria fosse vera esponendo le cellule deputate alla sintesi di GnRH alla Leptina sintetica. La figura seguente mostra che alte concentrazioni di glucosio hanno inibito la produzione di GnRH attraverso la Leptina.

graficogluc

Conclusioni

Anche se ottenute in vitro, le scoperte fatte in seguito allo studio qui riportato supportano l’idea di un deleterio contributo diretto dell’iperglicemia sui neuroni del GnRH umano, fornendo così nuove informazioni sui meccanismi patogenetici che collegano l’ipogonadismo ipogonadotropico ai disordini metabolici.

I ricercatori affermano però di non essere pienamente sicuri delle loro scoperte: e quindi se ciò che hanno osservato nelle cellule che hanno usato è rappresentativo di ciò che accade a tutte le cellule che producono il GnRH nel cervello.

Nota: La ricerca svolta non è stata finanziata da un produttore di prodotti dietetici a basso contenuto di carboidrati, ma dal governo italiano.

Gabriel Bellizzi

Riferimenti:

  1. http://www.ncbi.nlm.nih.gov/pubmed/24489542

Protocollo di GH per la perdita di grasso di Chest Rockwell.

Quello che mi accingo a riportare in questo articolo è il protocollo di GH per la perdita di grasso ideato da Chest Rockwell.

  • Storia del GH e perdita di grasso
  • Cos’è la lipolisi?
  • Relazione tra ormone dello stress / GH e digiuno
  • Meccanismi d’azione – Lipolisi GH-mediata
  • Tasso massimo di lipolisi
  • Farmacocinetica / Farmacodinamica
  • Sinergie tra i composti
  • Applicazione pratica e progettazione di uno stack di esempio

 

Storia del GH e perdita di grasso

ipofisi3
Ipotalamo

 

L’Ormone della Crescita (GH) è un potente agente di mobilizzazione dei grassi i cui effetti, se bene all’epoca non ancora imputabili all’ormone in se, vennero osservati dai ricercatori fin dagli anni ’20, quando primitivi studi sugli animali dimostrarono che gli esemplari trattati con l’ipofisi erano più magri rispetto agli animali di controllo non trattati [1-2]. Tuttavia, si dovette attendere fino al 1945, quando il GH fu estratto per la prima volta dall’ipofisi [3], affinché gli scienziati iniziassero veramente a isolare gli effetti di mobilizzazione dei grassi dell’ipofisi su questo specifico polipeptide.

Cos’è la lipolisi?

triacilglicerolo
Triacilglicerolo

 

 

La lipolisi è il processo fisiologico che fornisce all’organismo un substrato energetico sotto forma di acidi grassi attraverso il catabolismo del triacilglicerolo immagazzinato. Il triacilglicerolo immagazzinato all’interno delle goccioline lipidiche degli adipociti viene idrolizzato in acidi grassi e glicerolo e successivamente rilasciato nel circolo ematico per ossidazione e produzione di ATP [4-5]. Sarà importante capire le differenze tra mobilitazione e ossidazione dei grassi; tuttavia una revisione completa della lipolisi va oltre lo scopo di questo articolo.

Relazione tra ormone dello stress / GH e digiuno

Il GH è definibile come “ormone dello stress”, per sua natura, con l’aumento della sua secrezione durante eventi stressanti come il digiuno e l’esercizio fisico [6]. Per il resto di questo articolo, tuttavia, ci concentreremo maggiormente sul ruolo che il GH svolge durante il digiuno e su come sia applicabile a coloro che cercano di massimizzare il potenziale lipolitico dei loro protocolli di GH esogeno.

gli-effetti-del-digiuno-sull-ormone-della-crescita_300x250_37442

Il periodo di digiuno (post-riassorbimento) inizia circa sei ore dopo l’assunzione di cibo e gli obiettivi primari del corpo durante questa fase sono di fornire, convertire e conservare i substrati energetici. Durante questo periodo, vi è un aumento significativo del tasso di secrezione di GH che può durare per 48-72 ore [7-8]. L’innalzamento del GH secreto è direttamente correlato all’ampiezza dell’impulso, mentre la frequenza degli impulsi e i livelli di intervallo basali rimangono sostanzialmente invariati [9]. Durante il digiuno, il GH è l’unico ormone anabolico ad aumentare mentre aumentano i livelli degli ormoni catabolici (ad esempio Glucagone, Cortisolo, Epinefrina ecc.).

Meccanismi d’azione – Lipolisi GH-mediata

Le elevate percentuali di secrezione di GH portano con sé numerosi cambiamenti metabolici, che sono importanti da comprendere. La prima priorità del corpo durante il digiuno è quella di mantenere l’omeostasi del glucosio, in modo da fornire sufficiente glucosio al cervello e ad altri tessuti (ad esempio globuli rossi) che dipendono, principalmente o tassativamente (tessuti glucosio-prefereziali e glucosio-dipendenti), da questo substrato energetico [10]. Per raggiungere questo obiettivo, si verifica uno shift metabolico a favore del metabolismo lipidico in modo che vengano salvaguardate le preziose riserve glucidiche e aminoacidiche. Parallelamente a questo cambiamento shift metabolico a favore del metabolismo lipidico da parte del tessuto muscolare ed epatico, viene attuata la mobilizzazione del glicogeno in quanto non viene rilevato alcun apporto dietetico di glucosio. Grandi quantità di glucosio vengono anche rilasciate dal fegato nel flusso ematico per aiutare a mantenere i livelli di glucosio nel sangue in assenza di un apporto di glucosio con la dieta. Ciò è possibile, in gran parte, grazie al calo simultaneo dei livelli sierici di insulina che impedisce al glucosio rilasciato di entrare nei muscoli e nel tessuto adiposo.

Oltre a questo, con l’aumento del GH si verifica uno stato di insulino-resistenza, vitale per la conservazione delle preziose riserve di glucosio. Questi effetti antagonisti all’insulina che il GH porta con sé riducono l’ossidazione del glucosio e, al contrario, la necessità di precursori gluconeogenici delle riserve di proteine muscolari [11]. Ci sarebbero alcune riflessioni da fare sull’eventualità che sia lo stesso GH o l’aumento degli FFA i principali responsabili dell’instaurarsi di una accentuata insulino-resistenza, tuttavia, la questione potrà essere trattata in un altro articolo. Quindi, per legare tutto ciò che è stato fino ad ora detto, durante il digiuno l’aumento della secrezione di GH porta ad un aumento della mobilitazione degli FFA dagli adipociti, sotto-regola i GLUT-1 per inibire l’assorbimento di glucosio nei tessuti periferici, previene l’ossidazione del glucosio aumentando l’insulino-resistenza e preserva le riserve amminiche sia in modo diretto che indiretto.

lipolisi1

È ben noto che il GH influenza la lipolisi, tuttavia i meccanismi esatti con cui lo fa rimangono in qualche modo elusivi. È stato ipotizzato che questo potrebbe essere multifattoriale con il GH il quale mostra la capacità di ridurre la lipoproteina lipasi del tessuto adiposo (LPL), stimolare la lipasi ormono-sensibile (HSL) e antagonizzare gli effetti antilipolitici dell’insulina. L’aumentata espressione del HSL negli adipociti aumenta il potenziale lipolitico in quanto l’HSL è intimamente coinvolto nel processo di idrolisi del triacilglicerolo. Una volta attivato, l’HSL viene trasportato alla periferia della goccia lipidica intracellulare dove idrolizza il triacilglicerolo a FFA e glicerolo. È anche riconosciuto da molti come l’enzima che determina la velocità della lipolisi [12]. Vale la pena notare che non tutti gli studi hanno universalmente dimostrato che il GH aumenta i livelli di mRNA del HSL negli adipociti [13-14].

Come già accennato, è stato anche dimostrato che il GH ha un impatto diretto sulla soppressione dell’attività della LPL nei tessuti adiposi umani, sebbene ciò non sia stato dimostrato nei tessuti muscoli scheletrici [15-17]. Il motivo per il quale ciò è potenzialmente rilevante per chi è interessato alla perdita di grasso è legato al fatto che la LPL è direttamente coinvolta nella liberazione degli acidi grassi nel flusso ematico, nel loro successivo immagazzinamento negli adipociti e / o renderli disponibili per la beta-ossidazione da parte dei tessuti muscolo scheletrici e del muscolo cardiaco. Quindi, se la LPL può essere soppressa nei tessuti adiposi, si potrebbe ipotizzare che meno acidi grassi potranno essere immagazzinati attivamente (riesterificati) mentre altri saranno disponibili per alimentare i processi metabolici.

Studi condotti su adipociti umani in coltura hanno dimostrato che il GH in realtà non ha effetti lipolitici diretti [18], ma aumenta significativamente la sensibilità alle catecolamine in queste cellule, suggerendo che il GH attivi la lipolisi in uno stadio successivo al coinvolgimento dei beta-adrenorecettori e / o Proteine-G. In effetti, è ragionevole supporre che il GH possa aumentare la densità dei beta-adrenorecettori, rendendo questo fattore di grande interesse per un protocollo volto a massimizzare la lipolisi. È stato precedentemente dimostrato che esistono beta-adrenocettori “di riserva” sugli adipociti umani e un aumento acuto del numero di recettori accoppiati aumenterebbe la sensibilità e, in definitiva, il potenziale lipolitico [19]. E, in modelli animali, è stato dimostrato che il GH aumenta specificamente l’espressione dei recettori β3-adrenergici negli adipociti, seguita dall’attivazione del HSL [20]. Quindi, oltre agli effetti direttamente mediati che il GH possiede, è ovvio che l’uso di un agonista beta-adrenergico potrebbe molto probabilmente creare un effetto additivo sul processo lipolitico.

Tasso massimo di lipolisi

gh1
Ormone della Crescita (GH)

 

Quindi, mentre ci si adopera per creare uno stack che massimizzi il potenziale lipolitico del GH, esiste un limite effettivo (o teorico) alla velocità con cui ciò si verifichi? In realtà esiste una risposta; almeno per quanto riguarda esclusivamente il tasso massimo in cui il GH con somministrazione endovenosa possa provocare la lipolisi [21]. Si è constatata una dose di circa 3 mcg / kg (corrispondente a un picco medio di GH di 32,4 mcg / litro). La dose non era dipendente dall’età o dal sesso e si aggira intorno all’equivalente di 1,2-1,5 UI per un maschio magro di 100 kg. Una dose più elevata di questa non provoca in realtà un maggiore impatto sulla lipolisi. E’ interessante notare come questo sia anche essenzialmente il limite superiore dei picchi secretori endogeni naturali [22]. Si ipotizza che questo potrebbe essere un limite, o un collo di bottiglia, causato almeno in parte dai tassi di clearance extra-renale in concomitanza con i livelli di GHBP circolanti [23].

Ci sono alcune prove che questo sia un collo di bottiglia specifico del GH, e che i trattamenti combinati con varianti delle catecolamine producono un effetto additivo sulla lipolisi, maggiore di entrambi i singoli trattamenti [24-27] che supportano ulteriormente l’idea che il GH sia un mediatore lipolitico di mediazione. Alcuni hanno definito questo come un effetto permissivo sulla lipolisi indotta da catecolamine [28]. Aneddoticamente, sembra che un associazione di GH e composti catecolamine-stimolanti [29] abbia un effetto sinergico. Ma di questo se ne parlerà più approfonditamente proseguendo con questo articolo.

Farmacocinetica / Farmacodinamica

La farmacocinetica è una branca della farmacologia che studia gli effetti che i processi dell’organismo hanno sul farmaco (assorbimento, distribuzione, metabolismo, eliminazione). La farmacodinamica, invece, è lo studio degli effetti biochimici e fisiologici dei farmaci sull’organismo, ed il loro meccanismo d’azione [30]. È abbastanza importante capire entrambi, in relazione al GH, al fine di massimizzare il suo potenziale lipolitico e garantire che il GH somministrato sia ottimizzato così da prevenire la stesura di protocolli non corretti. Il GH lo sappiamo bene che è un composto costoso, quindi sarebbe nell’interesse dell’utilizzatore cercare di non sprecarlo.

Le vie di somministrazione modificano notevolmente la farmacocinetica del GH. Come discusso in precedenza, il GH endogeno viene secreto in maniera pulsatile e la sua presenza nel siero viene rapidamente eliminata attraverso i naturali feedback negativi di regolazione del corpo. Per simulare più strettamente questo comportamento secretorio, è necessario ricorrere alla somministrazione endovenosa una volta ogni 2-3 ore, che è il tempo necessario affinché il feedback ultra-corto (GHRH che inibisce la sua stessa secrezione) conduca al calo ematico dell’ormone. Tuttavia, a meno che non si è sotto la supervisione di un medico, questa non è una pratica che un qualsiasi preparatore degno di tale appellativo consiglierebbe e, infatti, in questo articolo ci si concentrerà invece sui due metodi di somministrazione del GH più popolari; sottocutaneo e intramuscolare.

hGHsom

A seguito di una iniezione SC o IM di GH, i livelli plasmatici di FFA e glicerolo aumentano dopo un breve periodo di latenza con un picco nei tassi di mobilizzazione dei grassi raggiunto intorno ai 150-160 minuti.

L’altro punto importante che vale la pena di sottolineare riguarda la tempistica d’iniezione del GH. Lo stato di digiuno è associato non solo a un aumento pronunciato della secrezione di GH endogeno, come precedentemente descritto, ma anche a un aumento della sensibilità lipolitica data dalla somministrazione di GH esogeno [33]. Infatti, tutti i marker lipolitici sono migliorati quando il GH viene somministrato a digiuno rispetto a quando viene somministrato in stato digestivo / postprandiale [34]. Anche il tasso di clearance globale è aumentato in modo significativo rimanendo nello stato di digiuno.

Vale anche la pena di notare che la somministrazione serale di GH ha dimostrato di avere una maggiore biodisponibilità, almeno quando somministrata a soggetti con deficit dell’Ormone della Crescita (GHD) [35]. Ciò potrebbe essere dovuto al fatto che tale somministrazioni mimi in modo ravvicinato il rilascio endogeno di GH nelle ore serali, ma questa è in gran parte solo una semplice speculazione.

Sinergie tra i composti

451px-Beta-2_adrenergic_receptor
Recettore Beta-2 adrenergico

 

Quando si progetta uno stack finalizzato alla perdita di grasso che massimizza il potenziale lipolitico, bisogna scegliere con logica l’inserimento di composti con una potenziale sinergia, o con effetti additivi l’uno sull’altro. In precedenza, abbiamo discusso alcuni dei meccanismi mediante i quali il GH esercita i suoi effetti lipolitici. Uno dei suoi percorsi chiave coinvolge i recettori beta-adrenergici. Quindi sembrerebbe plausibile che se si è in grado di aumentare la sensibilità e / o l’espressione dei recettori beta-adrenergici, si possa ulteriormente ottimizzare la risposta lipolitica complessiva dello stack.

AR2
Recettore degli Androgeni

 

Gli androgeni inducono potenti effetti lipolitici direttamente attraverso i recettori degli androgeni (AR) espressi nel tessuto adiposo [36]. Questo è interessante, in sé e per sé, perché è un percorso diverso rispetto a quello utilizzato dal GH e, anche, perché è stato dimostrato che gli androgeni aumentano l’espressione dei recettore beta-adrenergici [37-38]. Si è già discusso del’aumento del numero dei recettori beta-adrenergici e della loro sensibilità e, in definitiva, come questo si rifletta positivamente sul potenziale lipolitico. Quindi questa potrebbe essere una potente sinergia nella metodologia di progettazione di uno stack.

L’asse tiroideo e l’asse GH / IGF hanno una relazione molto interessante, anche se complicata, l’una con l’altra. Di particolare interesse per il design di uno stack lipolitico sono i suoi impatti sull’mRNA del recettore beta-adrenergico e più specificamente i suoi impatti sull’espressione dei β3, che ha dimostrato di essere un passo critico nella lipolisi GH-mediata [39-41]. Inoltre gli ormoni tiroidei stimolano la sintesi, la degradazione e la mobilizzazione dei lipidi con conseguente aumento dei livelli degli FFA circolanti [42]. E l’ultima caratteristica sinergica che vale la pena di menzionare è che essi, proprio come il GH, sembrano regolare la sensibilità alle catecolamine dei processi metabolici.

Per approfondire la questione GH e ormoni tiroidei vi rimando al mio articolo dedicato

200px-Clenbuterol_skeletal_svg
Clenbuterolo

 

E una volta aumentata la sensibilità e la densità dei recettori beta-adrenergici, è ovvio che un agonista beta-adrenergico sarebbe la ciliegina sulla torta per massimizzare il potenziale di mobilizzazione del grasso. Il Clenbuterolo [43] o il Salbutamolo sono entrambi candidati eccellenti per far parte di uno stack lipolitico sinergico; tuttavia una revisione completa degli agonisti beta-adrenergici va oltre lo scopo di questo articolo.

Applicazione pratica e progettazione di uno stack di esempio

Ora che si hanno le informazioni che stanno alla base di una progettazione oculata di uno stack lipolitico sinergico e avente come colonna portante l’uso del GH, come fare a progettare lo stack ed a gestire i composti facenti parte di esso?

Penso che sia abbastanza evidente il fatto che la somministrazione di GH (a fini lipolitici) debba essere fatta a digiuno. Sebbene gli effetti lipolitici del GH non siano completamente attenuati in presenza di cibo (diversamente dal GH endogeno), somministrandolo a stomaco pieno si eserciterebbe un serio antagonismo nei confronti dell’azione ricercata.

Cardio-for-Strong-People

Utilizzando le informazioni esposte in precedenza riguardo al digiuno, insieme a una dose ben calibrata per ottenere la massima risposta lipolitica, si giunge all’applicazione di un’unica iniezione da 2UI di GH. Svolgere tale somministrazione al mattino appena svegli soddisfacerebbe molto bene i fini della pratica, poiché ci si troverà in uno stato di digiuno, più che probabile. Poiché le iniezioni sottocutanee hanno un tempo di eliminazione più lungo, questo sarebbe un buon metodo di somministrazione, soprattutto se si prevede di rimanere a digiuno per molte ore dopo l’iniezione. Per un potenziale effetto additivo sui tassi di mobilizzazione del grasso, vorrei anche prendere in considerazione l’esecuzione di attività strutturate (sia sotto forma di LISS che di allenamento di resistenza) durante questa finestra di digiuno [44].

humangrowthhormone

Seguendo le stesse linee guida, si potrebbe molto probabilmente somministrare una seconda iniezione di 2UI di GH prima di andare a letto, sempre se si è in grado di consumare tutti i pasti della giornata in un lasso di tempo nel complesso ridotto ed entrare così nelle ore serali in uno stato di semi-digiuno. Come illustrato in precedenza, vi è anche evidenza che la somministrazione serale di GH per via sottocutanea fornisca una maggiore biodisponibilità. Quindi, se uno è costretto a scegliere dovrebbe farlo prendendo in considerazione una somministrazione AM o PM, in quanto questo sarebbe il tempo di somministrazione raccomandato. In caso contrario, l’utilizzo di una strategia che comprenda due iniezione da 2IU di GH, una somministrazione AM ed una PM, può teoricamente massimizzare il potenziale lipolitico nel corso delle 24 ore, assumendo che aderisca alle linee guida sul digiuno/semi-digiuno corrette.

Testosteron_svg
Testosterone

 

L’uso di questo protocollo di dosaggio di GH, in combinazione con una co-somministrazione di androgeni, può aumentare il potenziale complessivo sulla perdita di grasso. Per questo motivo si dovrebbe prendere in considerazione l’uso di dosi sovra fisiologiche di AAS, oltre al fatto che tale inserimento previene il rischio di atrofia del tessuto magro durante periodi sostenuti di deficit calorico. Ci possono essere piccole differenze nel tasso di perdita di grasso prodotto dall’utilizzo di diversi tipi di androgeni, ed esso è strettamente legato al potenziale androgeno del composto, ma questo va oltre lo scopo di questo articolo. Anche il semplice inserimento di Testosterone nello stack funzionerebbe molto bene per lo scopo prefissato.

ormoni-tiroidei-t3-t4-300x142

Aggiungendo sia composti tiroidei che Clenbuterolo, o Salbutamolo, nello stack si massimizzerà ulteriormente il potenziale lipolitico globale basato sulle loro proprietà sinergiche addizionate a quelle tra androgeni e GH spiegate in precedenza. A causa delle loro rispettive proprietà, il Clenbuterolo può essere somministrato una volta al giorno come pure il T4. Per quelli che usano il T3, si raccomanda un minimo di due dosi al giorno, distribuite a distanza di 12 ore. Chi sceglie di usare il Salbutamolo è raccomandabile distribuire la dose totale in più somministrazioni durante il giorno (4-5h di distanza l’una dall’atra).

Per riunire quanto detto fino ad ora, e al fine di renderlo comprensibile ai più, qui di seguito viene esposto uno schema breve ma decisamente esaustivo:

  • Cosomministrazione di AAS soprafisiologico
  • Cosomministrazione di Clenbuterolo o Salbutamolo + tiroidei
  • GH somministrato per via sottocutanea a una dose non superiore a 2 UI a digiuno due volte al giorno (AM / PM) o una volta al giorno (PM) se si è costretti a scegliere.
  • Attività strutturata eseguita durante lo stato di digiuno, post-iniezione per aumentare il potenziale di mobilizzazione del grasso.

Nota conclusiva

L’articolo ” The Most Effective Growth Hormone Protocol for Fat Loss”, il quale è stato utilizzato per la stesura del presente articolo, è un estratto sintetico ed abbreviato della sezione GH presente nel libro “The Growth Hormone Handbook” (titolo provvisorio) di Chester “Chest” Rockwell.

Gabriel Bellizzi

Riferimenti:

  1. National Research Council (US) Committee on Technological Options to Improve the Nutritional Attributes of Animal Products. Designing Foods: Animal Product Options in the Marketplace. Washington (DC): National Academies Press (US); 1988. The Role of Growth Hormone in Fat Mobilization
  2. Lee, M. O., and Schaffer, N. K.: Anterior Pituitary Growth Hormone and the Composition of Growth , J. Nutrition 7: 337 ( (March 10) ) 1934.
  3. Li CH, Evans HM, Simpson ME. Isolation and properties of the anterior hypophyseal growth hormone. J Biol Chem. 1945;159:353–366.
  4. Schoemaker RC, Buijs MM, Pijl H, Burggraaf J, Cohen AF. Modeling the influence of growth hormone on lipolysis. J Pharmacokinet Pharmacodyn. 2002 Apr;29(2):157-70
  5. Lass A, Zimmermann R, Oberer M, Zechner R. Lipolysis – A highly regulated multi-enzyme complex mediates the catabolism of cellular fat stores. Progress in Lipid Research. 2011;50(1-4):14-27.
  6. ROTH J, GLICK SM, YALOW RS, BERSON SA. Secretion of human growth hormone:physiologic and experimental modification. Metabolism. 1963 Jul;12:577-9
  7. Hartman ML, Veldhuis JD, Johnson ML, Lee MM, Alberti KG, Samojlik E, Thorner MO. Augmented growth hormone (GH) secretory burst frequency and amplitude mediate enhanced GH secretion during a two-day fast in normal men. J Clin Endocrinol Metab. 1992 Apr;74(4):757-65.
  8. Ho PJ, Friberg RD, Barkan AL. Regulation of pulsatile growth hormone secretion by fasting in normal subjects and patients with acromegaly. J Clin Endocrinol Metab. 1992 Sep;75(3):812-9.
  9. Goldenberg N, Barkan A. Factors regulating growth hormone secretion in humans. Endocrinol Metab Clin North Am. 2007 Mar;36(1):37-55. Review
  10. Berg JM, Tymoczko JL, Stryer L. Biochemistry. 5th edition. New York: W H Freeman; 2002. Section 30.3, Food Intake and Starvation Induce Metabolic Changes.
  11. Nørrelund H. The metabolic role of growth hormone in humans with particular reference to fasting. Growth Horm IGF Res. 2005 Apr;15(2):95-122. Review.
  12. Birnbaum MJ. Lipolysis: more than just a lipase. J Cell Biol. 2003 Jun 23;161(6):1011-2. Epub 2003 Jun 16. Review.
  13. Pedersen, S.B. & Børglum, Jens & Jorgensen, Jens & Richelsen, Bjørn. (1995). Growth hormone treatment of obese premenopausal women: Effects on isolated adipocyte metabolism. 2. 251-258.
  14. Slavin BG, Ong JM, Kern PA. Hormonal regulation of hormone-sensitive lipase activity and mRNA levels in isolated rat adipocytes. J Lipid Res. 1994 Sep;35(9):1535-41.
  15. Ottosson M, Vikman-Adolfsson K, Enerbäck S, Elander A, Björntorp P, Edén S. Growth hormone inhibits lipoprotein lipase activity in human adipose tissue. J Clin Endocrinol Metab. 1995 Mar;80(3):936-41.
  16. Richelsen B. Effect of growth hormone on adipose tissue and skeletal muscle lipoprotein lipase activity in humans. J Endocrinol Invest. 1999;22(5 Suppl):10-5. Review.
  17. Richelsen B, Pedersen SB, Kristensen K, Børglum JD, Nørrelund H, Christiansen JS, Jørgensen JO. Regulation of lipoprotein lipase and hormone-sensitive lipase activity and gene expression in adipose and muscle tissue by growth hormone treatment during weight loss in obese patients. Metabolism. 2000 Jul;49(7):906-11.
  18. Marcus C, Margery V, Kamel A, Brönnegård M. Effects of growth hormone on lipolysis in humans. Acta Paediatr Suppl. 1994 Dec;406:54-8; discussion 59. Review.
  19. Arner P, Hellmér J, Wennlund A, Ostman J, Engfeldt P. Adrenoceptor occupancy in isolated human fat cells and its relationship with lipolysis rate. Eur J Pharmacol. 1988 Jan 27;146(1):45-56
  20. Heffernan M, Summers RJ, Thorburn A, Ogru E, Gianello R, Jiang WJ, Ng FM. The effects of human GH and its lipolytic fragment (AOD9604) on lipid metabolism following chronic treatment in obese mice and beta(3)-AR knock-out mice. Endocrinology. 2001 Dec;142(12):5182-9.
  21. Hansen TK, Gravholt CH, ØRskov H, Rasmussen MH, Christiansen JS, Jørgensen JO. Dose dependency of the pharmacokinetics and acute lipolytic actions of growth hormone. J Clin Endocrinol Metab. 2002 Oct;87(10):4691-8
  22. Hartman ML, Faria AC, Vance ML, Johnson ML, Thorner MO, Veldhuis JD. Temporal structure of in vivo growth hormone secretory events in humans. Am J Physiol. 1991 Jan;260
  23. Haffner D, Schaefer F, Girard J, Ritz E, Mehls O 1994 Metabolic clearance of recombinant human growth hormone in health and chronic renal failure. J Clin Invest 93:1163–1171
  24. Fain JN. Effect of dibutyryl-3′,5′-AMP, theophylline and norepinephrine on lipolytic action of growth hormone and glucocorticoid in white fat cells. Endocrinology. 1968 Apr;82(4):825-30.
  25. Goodman HM. Effects of growth hormone on the lipolytic response of adipose tissue to theophylline. Endocrinology. 1968 May;82(5):1027-34.
  26. Yip RG, Goodman HM. Growth hormone and dexamethasone stimulate lipolysis and activate adenylyl cyclase in rat adipocytes by selectively shifting Gi alpha2 to lower density membrane fractions. Endocrinology. 1999 Mar;140(3):1219-27.
  27. Fain JN, Cheema P, Tichansky DS, Madan AK. Stimulation of human omental adipose tissue lipolysis by growth hormone plus dexamethasone. Mol Cell Endocrinol. 2008 Nov 25;295(1-2):101-5.
  28. Goodman HM 1970 Permissive effects of hormones on lipolysis. Endocrinology 86:1064–1074
  29. Davis E, Loiacono R, Summers RJ. The rush to adrenaline: drugs in sport acting on the β-adrenergic system. British Journal of Pharmacology. 2008;154(3):584-597
  30. Greenblatt, D. J. and Abourjaily, P. N. (2016), Pharmacokinetics and Pharmacodynamics for Medical Students: A Proposed Course Outline. The Journal of Clinical Pharmacology, 56: 1180–1195.
  31. Keller A, Wu Z, Kratzsch J, Keller E, Blum WF, Kniess A, Preiss R, Teichert J, Strasburger CJ, Bidlingmaier M. Pharmacokinetics and pharmacodynamics of GH:dependence on route and dosage of administration. Eur J Endocrinol. 2007 Jun;156(6):647-53
  32. Laursen T. Clinical pharmacological aspects of growth hormone administration. Growth Horm IGF Res. 2004 Feb;14(1):16-44. Review.
  33. Møller N, Pørksen N, Ovesen P, Alberti KG. Evidence for increased sensitivity of fuel mobilization to growth hormone during short-term fasting in humans. Horm Metab Res. 1993 Mar;25(3):175-9.
  34. Moller L, Dalman L, Norrelund H, Billestrup N, Frystyk J, Moller N, Jorgensen JO. Impact of fasting on growth hormone signaling and action in muscle and fat. J Clin Endocrinol Metab. 2009 Mar;94(3):965-72
  35. Jørgensen JO, Møller N, Lauritzen T, Alberti KG, Orskov H, Christiansen JS. Evening versus morning injections of growth hormone (GH) in GH-deficient patients: effects on 24-hour patterns of circulating hormones and metabolites. J Clin Endocrinol Metab. 1990 Jan;70(1):207-14.
  36. Blouin K, Veilleux A, Luu-The V, Tchernof A. Androgen metabolism in adipose tissue: recent advances. Mol Cell Endocrinol. 2009 Mar 25;301(1-2):97-103
  37. Xu X, De Pergola G, Björntorp P. The effects of androgens on the regulation of lipolysis in adipose precursor cells. Endocrinology. 1990 Feb;126(2):1229-34
  38. De Pergola G. The adipose tissue metabolism: role of testosterone and dehydroepiandrosterone. Int J Obes Relat Metab Disord. 2000 Jun;24 Suppl 2:S59-63. Review
  39. Viguerie N, Millet L, Avizou S, Vidal H, Larrouy D, Langin D. Regulation of human adipocyte gene expression by thyroid hormone. J Clin Endocrinol Metab. 2002 Feb;87(2):630-4
  40. Rubio A, Raasmaja A, Silva JE. Thyroid hormone and norepinephrine signaling in brown adipose tissue. II: Differential effects of thyroid hormone on beta 3-adrenergic receptors in brown and white adipose tissue. Endocrinology. 1995 Aug;136(8):3277-84.
  41. Ghosh M, Das S. Increased beta(2)-adrenergic receptor activity by thyroid hormone possibly leads to differentiation and maturation of astrocytes in culture. Cell Mol Neurobiol. 2007 Dec;27(8):1007-21. Epub 2007 Sep 8
  42. Pucci E, Chiovato L, Pinchera A. Thyroid and lipid metabolism. Int J Obes Relat Metab Disord. 2000 Jun;24 Suppl 2:S109-12. Review
  43. Kim HK, Della-Fera MA, Hausman DB, Baile CA. Effect of clenbuterol on apoptosis, adipogenesis, and lipolysis in adipocytes. J Physiol Biochem. 2010 Sep;66(3):197-203
  44. Taaffe DR, Thompson JL, Butterfield GE, Hoffman AR, Marcus R. Recombinant human growth hormone, but not insulin-like growth factor-I, enhances central fat loss in postmenopausal women undergoing a diet and exercise program. Horm Metab Res. 2001 Mar;33(3):156-62.

IBUPROFENE E IPOGONADISMO

Ibuprofen2_svg
Ibuprofene

 

Ci sono molti atleti che assumono antidolorifici come l’Ibuprofene poco prima di un allenamento o di una competizione. Sopprimendo il dolore dato dallo sforzo a carico delle articolazioni, soprattutto di quelle che hanno subito un infortunio, l’uso degli antidolorifici permette all’atleta di ottenere prestazioni migliori – a breve termine. A lungo termine questi atleti potrebbero, in base alla ricerca danese recentemente pubblicata sul PNAS, abbassare i livelli di Testosterone endogeno. (1)

Gli endocrinologi danesi, affiliati all’Università di Copenaghen, hanno diviso 31 uomini sani di età compresa tra i 18 ed i 35 anni in 2 gruppi. Un gruppo ha assunto 2 volte al giorno una dose di 600 milligrammi di Ibuprofene per 6 settimane. Questa è la dose massima indicata nel bugiardino del farmaco. L’altro gruppo ha assunto un placebo.

Dopo due settimane di somministrazione di Ibuprofen, la concentrazione di LH – l’ormone che stimola le cellule di Leydig a produrre Testosterone – nel flusso ematico era aumentata significativamente nei soggetti trattati, e dopo 6 settimane quell’effetto era diventato ancora più marcato. Tuttavia, la concentrazione di Testosterone non ha subito un aumento consequenziale.

ibugrafic1

ibugrafic2

Con l’avanzare dell’età, i testicoli possono avere sempre più problemi a mantenere un livello adeguato e stabile di Testosterone. Ecco perché il livello di LH nel sangue aumenta. Nei primi stadi di questo processo di invecchiamento ormonale, a causa dell’aumento del livello di LH, il rilascio di Testosterone rimane costante. Gli endocrinologi in tale circostanza parlano quindi di “ipogonadismo compensatorio”.

In una fase successiva, tuttavia, i testicoli diventano insensibili all’LH e, di conseguenza, la secrezione di Testosterone cala. Il livello di Testosterone circolante subisce un calo. Gli endocrinologi in tale circostanza parlano quindi di “ipogonadismo manifesto”.

Sembra che l’uso a lungo termine di dosi elevate di Ibuprofene imiti e forse addirittura acceleri questo processo di invecchiamento endocrinologico.

Quando i ricercatori hanno svolto esperimenti in vitro con campioni di testicoli umani, hanno osservato che la sintesi di Testosterone era ridotta dall’Ibuprofene. Questo effetto diventava più marcato quanto più le concentrazioni di Ibuprofene erano elevate e quanto più l’esposizione a tale composto era prolungata.

ibugrafic3

ibugrafic4

L’Ibuprofene ha ridotto l’effetto di letteralmente tutti gli enzimi coinvolti nella sintesi di Testosterone dal Colesterolo nei testicoli.

Come accennato poc’anzi, In ambito clinico, la compromissione della funzione delle cellule di Leydig che determina una maggiore insensibilità all’LH è definita come ipogonadismo compensatorio, un fattore associato alla mortalità per tutte le cause.(2) Pertanto, i ricercatori affermano che lo studio dell’ipogonadismo compensatorio indotto dall’Ibuprofene è cruciale, in quanto questo stato clinico è generalmente associato al fumo e all’invecchiamento.

Ulteriori caratterizzazioni dello stato di ipogonadismo compensatorio indotto dall’Ibuprofene, che era già stato stabilito dopo 14 giorni di somministrazione del farmaco, sono quindi importanti nel determinare i potenziali effetti su giovani uomini sani.

Diverse relazioni hanno sottolineato l’alto livello di uso di analgesici a lungo termine tra gli atleti dilettanti e professionisti; l’Ibuprofene è risultato un composto favorito in questo uso e abuso. Da notare, una relazione inversa è stata recentemente riportata tra l’esercizio fisico di resistenza e la libido sessuale maschile, ma la possibilità che l’assunzione di farmaci possa interferire in questa osservazione non può essere totalmente esclusa.(3)

Inoltre, l’Ibuprofene sembra essere l’analgesico farmaceutico preferito per il trattamento del dolore cronico a lungo termine e l’artrite.

Pertanto, in tale contesto, è anche preoccupante che gli uomini con ipogonadismo compensatorio possano eventualmente progredire verso l’ipogonadismo primario manifesto, caratterizzato da un basso livello di Testosterone circolante e da sintomi connessi tra i quali vi sono la riduzione della libido, la riduzione della massa e della forza muscolare, il calo dell’umore, affaticamento e depressione.

Gabriel Bellizzi

Riferimento:

  1. https://doi.org/10.1073/pnas.1715035115
  2. https://www.ncbi.nlm.nih.gov/pubmed/26488309
  3. https://www.ncbi.nlm.nih.gov/pubmed/28195945

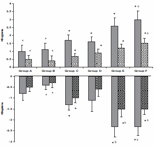
TERAPIA ORMONALE ANTI-AGING: EFFETTO DELLA SOMMINISTRAZIONE DI TESTOSTERONE E GH PER 16 SETTIMANE.

gha

Un guadagno di massa magra di 3 kg e una perdita di grasso di 2 kg: questo è il risultato modesto seguito a uno studio di 16 settimane nelle quali uomini tra i 70 e gli 80 anni sono stati trattati con somministrazioni di Ormone della Crescita e Testosterone. I medici americani hanno pubblicato i risultati del loro studio svolto su 112 uomini sul Journal of Clinical Endocrinology & Metabolism. (1)

testo1

Tra i 70 e gli 80 anni, tra gli anziani sedentari si sperimenta una perdita del 30% della forza muscolare. Questa è la stessa perdita che si verifica tra i 50 ed i 70 anni. Ciò significa che oltre i 70 anni la forza muscolare diminuisce con il doppio della velocità. Lo scopo dello studio che qui riporto era quello di scoprire se l’Ormone della Crescita e il Testosterone avessero qualche effetto su questa condizione legata all’età. E’ bene ricordare che i soggetti dello studio non hanno fatto alcun allenamento.

I ricercatori hanno arrestato la produzione di Testosterone endogeno dei soggetti dando loro del Leuprolide. Quindi hanno diviso i soggetti in 6 gruppi.

I soggetti del gruppo A si sono applicati 5g di Testosterone in gel ogni giorno, così da portare i livelli ematici dell’ormone ai livelli normali per gli individui della loro età. Il Testosterone in gel utilizzato era stato prodotto da Solvay.

Al gruppo B, oltre al Testosterone, è stata somministrata un’iniezione di circa 0,75UI di Ormoni della Crescita 2-3 ore dopo il pasto serale. Questa quantità ha un effetto anabolico negli adulti che per ragioni mediche non producono abbastanza Ormone della Crescita. La preparazione utilizzata è stata prodotta dalla Genentech. Ai soggetti del gruppo C è stata somministrata una dose di circa 1,27 UI di Ormone della Crescita.

I soggetti del gruppo D si sono applicato giornalmente 10g di Testosterone in gel. Questo ha fatto si che i soggetti in questione raggiungessero concentrazioni ematiche dell’ormone simili ad un uomo di giovane età.

Ai soggetti del gruppo E, oltre alla somministrazione di Testosterone, è stata iniettata una dose giornaliera di 0,75 UI di Ormone della Crescita, mentre ai soggetti del gruppo F sono state somministrate 1,27 UI di Ormone della Crescita al giorno.

La figura seguente mostra l’aumento della massa magra nei soggetti dello studio. Le barre scure rappresentano la massa magra delle braccia e delle gambe. La figura in basso mostra la quantità di grasso che i soggetti hanno perso. Le barre scure rappresentano la massa grassa nel tronco. I risultati confermano ciò che i Bodybuilder sanno già: l’Ormone della Crescita e il Testosterone rafforzano reciprocamente i loro effetti.

graficotgh1

I soggetti non hanno migliorato la propria forma a causa del trattamento, ma hanno subito un aumento della forza. Ciò si è verificato soltanto nel gruppo trattato con 10g di Testosterone in gel. Quando questo quantitativo era combinato con l’Ormone della Crescita, la forza dei soggetti ha subito un aumento del 30%. Tale percentuale equivale alla perdita di forza media riscontrabile tra i 70 e gli 80 anni.

graficotgh2

graficotgh3

Il trattamento ha causato un aumento della pressione sanguigna aumentando la densità ematica (aumento dell’ematocrito). E’ stato osservato anche un aumento del PSA. I marker per il diabete, come il livello della glicemia al mattino, HOMA-IR e il QUICKI, sono aumentati, così come i livelli di trigliceridi. Gli effetti erano statisticamente significativi, ma non erano motivo di allarme per i medici.

Tuttavia i ricercatori non si esprimono su quali possano essere gli effetti di un trattamento simili sul lungo termine. Essi suggeriscono che le persone che intendono assumere Testosterone e Ormone della Crescita come terapia “Anti-Aging” dovrebbero essere sotto costante controllo medico.

I ricercatori concludono dicendo che, la somministrazione combinata di dosi fisiologiche di Testosterone e GH ha portato a guadagni sostanziali nella massa magra e nella forza dei muscoli volontari, insieme ad una riduzioni del grasso totale e del tronco che era di maggiore entità rispetto a quanto riscontrato con il trattamento con solo Testosterone.

Il presente studio mancava di un tassello fondamentale che da solo avrebbe potuto modificare marcatamente i risultati ottenuti, l’attività fisica! Un adeguata attività fisica, da sola, esercita un effetto contrastante considerevole contro la sarcopenia e la perdita di forza legata all’età.

Gabriel Bellizzi

Riferimenti:

  1. http://www.ncbi.nlm.nih.gov/pubmed/19293261

CARDIO A DIGIUNO E SUPPLEMENTAZIONE DI L-FENILANINA

lphenylalanine

 

 

Le sessioni di cardio a bassa intensità e a stomaco vuoto vedono un aumento dell’ossidazione dei grassi se precedute dall’assunzione di 3g dell’amminoacido L-fenilalanina mezz’ora prima della seduta allenante. I ricercatori della giapponese Meiji (1) ne parlano sul Journal of International Society of Sports Nutrition. (2)

 

La L-fenilalanina è un amminoacido necessario per la sintesi proteica e per la produzione di Insulina e Glucagone. Il Glucagone è un ormone che induce il corpo a convertire il glicogeno in glucosio, le proteine in amminoacidi e i grassi in acidi grassi.

glucagonaminoacidsequence

La L-fenilalanina è anche un elemento fondamentale per la sintesi di una serie di ormoni e neurotrasmettitori stimolanti come adrenalina [epinefrina], noradrenalina [nor-epinefrina] e dopamina. Come alcuni già sapranno, questo gruppo di sostanze è denominato con il termine catecolamine.

catecholamines

I ricercatori si sono chiesti se la L-fenilalanina potesse essere un efficace aiuto dimagrante e, di conseguenza, hanno deciso di trovare risposta al loro quesito svolgendo un esperimento reclutando 6 partecipanti. I partecipanti dovevano pedalare al 50 percento del loro massimo consumo di ossigeno per un’ora in due diverse occasioni. I partecipanti – uomini sani di età compresa tra i 20 ed i 40 anni – hanno fatto ciò al mattino presto. Non avevano ancora fatto colazione.

In un’occasione i partecipanti hanno assunto un placebo 30 minuti prima dell’inizio della sessione cardio; nell’altra occasione i soggetti dello studio hanno assunto 3g di L-fenilalanina.

 

phenylalaninefatoxidation0

Mentre eseguivano la sessione cardio, la concentrazione di glicerolo nel sangue dei partecipanti aumentava notevolmente dopo che avevano assunto la supplementazione di L-fenilanina , il che indicava che il loro consumo di grassi era aumentato.

phg1

phg2

 

Anche la concentrazione di Glucagone era aumentata maggiormente quando i partecipanti avevano assunto la L-fenilalanina.

Il rapporto di scambio respiratorio (respiratory exchange ratio (RER))era un po’ più basso in vari momenti dopo che i partecipanti avevano assunto la L-fenilalanina. Anche questo è un fattore indicativo sul aumento del consumo lipidico.

phg3

I ricercatori concludono dicendo che, l’ingestione pre-esercizio di un supplemento di fenilalanina ha accelerato significativamente la secrezione di Glucagone sia durante il riposo che durante l’esercizio fisico. Inoltre, in particolare i livelli sierici di glicerolo sono aumentati significativamente durante l’esercizio, indicando uno spostamento metabolico verso l’ossidazione dei grassi.

Gabriel Bellizzi

Riferimenti:

  1. http://www.meiji.com/global/
  2. http://dx.doi.org/10.1186/s12970-017-0191-x

ELIMINARE LATTICINI E DERIVATI DALLA DIETA? NON SEMPRE E’ UNA BUONA IDEA …

latticini

Quando le persone vogliono perdere grasso, è abbastanza popolare che esse eliminino interi gruppi di alimenti, principalmente perché alle persone “piace”, ed è anche più semplice, incolpare alcuni gruppi di alimenti per il loro grasso in eccesso.

 

Naturalmente, tutte le cose che le persone pensano che facciano ingrassare, di per se, non fanno ingrassare. Carboidrati? No, di per se non fanno ingrassare. Cereali? No, di per se non fanno ingrassare. Dolcificanti artificiali? No, non fanno ingrassare (1). Zucchero? No, di per sé non fa ingrassare.

whole30-web-banner-copy

I latticini e derivati sono anch’essi nella lista degli alimenti che le persone credono facciano ingrassare. Quando le persone vogliono dimagrire, molto spesso prendono la decisione di eliminare dalla loro alimentazione latticini e derivati. In effetti, eliminare i latticini è un punto fermo di alcune diete come la Paleo o la Whole30.

C’è un problema, però. Non solo i prodotti lattiero-caseari NON fanno ingrassare, ma se vengono eliminati dalla dieta, la perdita di grasso potrebbe essere più difficile, non più facile. Ecco il perché…

LATTICINI E APPETITO

Uno dei motivi principali per cui eliminare i prodotti lattiero-caseari può rendere più difficile la perdita di grasso è insita nel fatto che i latticini possono avere effetti positivi sull’appetito, che, a sua volta, aiuterà il soggetto a dieta a mangiare di meno (mangiare di meno mentre ancora si riesce a sentirti sazi è una delle pietre miliari del successo nella perdita di grasso). Ad esempio, alcune ricerche hanno mostrato che il calcio può aiutare a regolare l’appetito nelle persone che presentano una carenza di questo minerale.(2) Uno studio ha mostrato che un integratore derivato dal latte ha contribuito a ridurre l’aumento dell’appetito che si verifica in genere con la perdita di peso.(3) Altre ricerche indicano che i componenti del latte, come le proteine del siero del latte, possono avere effetti di soppressione dell’appetito. (4) Ad esempio, le proteine del latte, e in particolare le proteine del siero del latte, possono aumentare l’Insulina e il GIP (5), due ormoni che possono avere effetti di soppressione dell’appetito.(6) In realtà, esiste molta ricerca che mostra che le proteine del siero di latte possono ridurre l’appetito.(7) Ad esempio, uno studio ha dimostrato che gli snack allo yogurt contenenti elevate quantità di siero di latte hanno portato le persone a consumare circa 200Kcal in meno a pranzo rispetto alle persone che avevano consumato lo yogurt normale.(8) Un altro studio, che ho citato in un mio precedente articolo (9), ha confrontato l’effetto dell’assunzione di shake a base di proteine del siero di latte, di tonni, di uova o di tacchino.

Questo studio ha mostrato che gli shake a base di siero di latte riducono l’appetito e riducono l’apporto calorico in un buffet seguente la loro assunzione rispetto agli altri shake.

250px-Protein_ESR1_PDB_1a52

 

Il vantaggio non si limita al solo uso delle proteine del siero di latte. C’è anche una buona quantità di dati che dimostrano che lo yogurt può promuovere la stabilità del peso corporeo attraverso la sua influenza sull’appetito.(10) Qui puoi trovare una recensione completa degli impatti delle proteine del latte sull’appetito; vedi nota. (11)

LATTICINI, AUMENTO DI PESO E GRASSO CORPOREO

Mentre tutti questi dati appena esposti sui potenziali effetti positivi dei prodotti lattiero-caseari risultano indubbiamente interessanti, ciò che conta davvero è il reale impatto di latte e derivati in termini di grasso e composizione corporea. E se si osservano studi osservazionali o studi randomizzati controllati, i risultati sono gli stessi … il latte e derivati non solo non ti farà ingrassare, ma potrebbe effettivamente aiutarti a perdere grasso ed a mantenere la massa magra.

Per prima cosa, diamo un’occhiata ad alcuni studi osservazionali. Ad esempio, non vi è alcuna relazione tra l’assunzione di prodotti lattiero-caseari e il BMI di donne giapponesi.(12) In uomini statunitensi, non vi è alcuna relazione tra un aumento del consumo di latticini e un aumento del peso sul lungo termine.(13) Nelle donne in perimenopausa, alte assunzioni di prodotti lattiero-caseari sono in realtà inversamente associate all’aumento di peso (cioè, una maggiore assunzione di prodotti lattiero-caseari è associata ad un minore aumento di peso).(14)

Naturalmente, il problema con gli studi osservazionali è che non sono controllati e la valutazione della dieta in tali studi può essere molto imprecisa. Essi, inoltre, non sono in grado di stabilire i meccanismi di causa ed effetto. Per questo, dobbiamo passare ad esaminare studi randomizzati e controllati su animali e esseri umani. Per prima cosa, diamo un’occhiata ai dati sugli animali. Gli studi sugli animali mostrano un minore aumento di peso quando questi vengono alimentati con prodotti lattiero-caseari. Nei topi, la supplementazione dietetica con yogurt comporta un minor aumento del grasso corporeo e del peso rispetto a quanto riscontrato nei controlli con diete isocaloriche. (15) In un altro studio, con alimentazione supplementata con prodotti lattiero-caseari, topi transgenici hanno perso peso con diete a basso consumo energetico. (16) I topi in questione furono quindi autorizzati a mangiare ad libitum (cioè, a sazietà). I topi nutriti con prodotti lattiero-caseari hanno guadagnato meno grasso e peso durante la rialimentazione. In un terzo studio, l’assunzione di prodotti lattiero-caseari, ma non un supplemento di calcio, ha ridotto l’aumento di peso e di grasso corporeo nei topi alimentati con una dieta ricca di grassi.(17) In un quarto studio, le proteine dei latticini hanno attenuato il guadagno di grasso nei roditori nutriti con una dieta ad alto contenuto di grassi e una dieta ad alto contenuto di zuccheri. (18) In un quinto studio, una dieta a base di prodotti lattiero-caseari ha attenuato l’aumento di peso settimanale nei ratti Sprague-Dawley. (19)

Ora, quelli riportati sono studi svolti su animali. E gli studi svolti sugli umani? In uno studio, i latticini a basso contenuto di grassi non hanno mostrato di promuovere l’aumento di peso, mentre i latticini ad alto contenuto di grassi lo hanno fatto. (20) E’ possibile che in questo studio l’aumento di peso sia stato causato semplicemente da un eccesso calorico e non dall’alimento; oppure il picco insulinico dato dalle proteine contenute negli alimenti lattiero-caseari consumati, in concomitanza con il picco di acidi grassi nel sangue, abbia indirizzato questi ultimi nell’adipocita causando l’aumento del peso. In un altro studio, l’aumento dell’assunzione di latticini non ha influito sulla composizione corporea. (21) In un terzo studio, l’aumento dell’assunzione di latticini non ha compromesso la perdita di peso. (22) In uno studio della durata di un anno, l’aumento dell’assunzione di latticini non ha influenzato i cambiamenti nella massa grassa.(23) In un follow-up di 6 mesi successivo a questo studio, l’assunzione di prodotti lattiero-caseari a predetto livelli più bassi della massa grassa.(24) In uno studio della durata di 9 mesi, l’aumento dell’assunzione di latticini non ha influito sul mantenimento del peso, ma il gruppo che consumava elevate quantità di prodotti lattiero-caseari ha evidenziato una maggiore ossidazione dei grassi.(25) In uno studio svolto su agenti di polizia in sovrappeso, le proteine del latte hanno provocato una maggiore perdita di massa grassa e un aumento maggiore della massa magra, rispetto ai soggetti che non avevano assunto alcuna proteina derivata dal latte. (26)

L’ultimo test per verificare se i prodotti lattiero-caseari possano influire sul grasso corporeo e il peso consiste nel valutare le prove attraverso un ampio insieme di studi controllati. Per fare ciò, abbiamo bisogno di una meta analisi, in cui gli scienziati prendono una grande quantità di studi e li analizzano nell’insieme per avere un’idea sulla media degli effetti della classe di alimenti che qui stiamo trattando. Fortunatamente, una di queste meta-analisi è stata pubblicata nel 2012.(27) In questa analisi, gli autori hanno scoperto che i latticini aiutavano a ridurre il grasso corporeo di 1,11Kg addizionali rispetto alle persone in restrizione calorica che non consumavano latticini.

250px-Protein_ESR2_PDB_1hj1

 

Il grafico sopra è chiamato forest plot. Ogni riga è uno studio individuale. Quando un punto in ogni fila si trova a sinistra della linea centrale, significa che uno studio particolare ha riscontrato un beneficio positivo sulla perdita di grasso in seguito al consumo di prodotti lattiero-caseari. Come si può vedere, quasi tutti gli studi si trovano a sinistra della linea centrale. Il subtotale è l’effetto medio tra tutti questi studi, che in questo caso è -1,11Kg.

Questa analisi ha anche riscontrato un beneficio nel consumo di prodotti lattiero-caseari sulla circonferenza della vita, indipendentemente dal fatto che il soggetto fosse a dieta o meno. Il beneficio medio del consumo di prodotti lattiero-caseari sulla circonferenza della vita è risultato di 2,19 cm.

250px-Protein_PGR_PDB_1a28

 

Non solo c’era un beneficio nel consumo di prodotti lattiero-caseari sulla perdita di grasso e sulla circonferenza della vita, ma c’era un vantaggio anche sulla conservazione della massa magra durante la dieta. Nel seguente grafico, è possibile vedere che la maggior parte degli studi che sono a destra della linea centrale, indicano una maggiore massa magra con il consumo di prodotti lattiero-caseari. Il beneficio medio positivo è stato di 0,72 kg.

250px-Androstanolone_svg

Questa non era l’unica meta-analisi che mostra un effetto positivo del consumo di prodotti lattiero-caseari sulla composizione corporea. In un’analisi più recente, 2-4 porzioni di latticini, o 20-84 grammi di proteine del siero di latte al giorno hanno comportato una perdita di peso maggiore con una perdita di grasso di 1,16 kg e 1,49 kg maggiore rispetto ai soggetti che non consumavano latticini e derivati, anche se i risultati tendevano a scomparire quando i ricercatori hanno esaminato solo gli studi che prevedevano un allenamento di resistenza (si dovrebbe notare che questi risultati erano molto incerti dato il numero limitato di studi che comportavano un programma di allenamento con i pesi).

Perché si continua ad eliminare questa classe di alimenti?

Nonostante tutte queste prove che dimostrano come il consumo di prodotti lattiero-caseari sia, nella peggiore delle ipotesi, neutro in termini di grasso corporeo, mentre in molti casi può essere utile per la riduzione di quest’ultimo, perché molte persone continuano a sostenere che eliminando latticini e derivati dalla dieta si ottengono benefici per la perdita di grasso? Bene, pensiamo innanzitutto ai cibi che le persone finiscono per evitare quando eliminano i latticini:

  • Formaggio
  • Burro
  • Crema
  •  Gelato
  • Altri dessert a base di latte
  • Yogurt zuccherato

Fondamentalmente, eliminando i prodotti lattiero-caseari, si finisce per eliminare alcuni cibi con un alta densità calorica e altamente appetibili, che, a loro volta, portano a mangiare meno calorie. Quindi il problema di fondo non è il consumo di latticini e derivati… è l’apporto calorico. Si potrebbe semplicemente scegliere di ridurne il consumo ed eliminare gli alimenti con un alta densità energetica continuando a consumare ancora latticini come yogurt greco senza grassi, fiocchi di latte magri e formaggio magro, o proteine ​​del siero di latte, e avere altrettanto successo, se non maggiore, con la perdita del grasso. Ciò darebbe una maggiore flessibilità alla dieta e una più ampia varietà di scelte alimentari.

Latticini e derivati … per la maggior parte delle persone, ma non per tutti…

Ora, questo non vuol dire che il consumo di latticini vada bene per tutti. Ovviamente, le persone con intolleranza al lattosio devono limitare determinati prodotti facenti parte di questa categoria alimentare. Tuttavia, anche le persone con intolleranza al lattosio possono consumare alcuni prodotti lattiero-caseari, come lo yogurt greco o latticini e derivati delattosati. Inoltre, le persone con una vera allergia ai latticini dovrebbero comunque evitare i latticini. Ora, notate che ho detto UNA VERA ALLERGIA AI LATTICINI, vale a dire una allergia diagnosticata da un allergologo attraverso specifici test. Non sto parlando di “intolleranze alimentari” diagnosticate – si fa per dire – sulla base di test anti-IgG, che, oltretutto, non è un test affidabile. (28)

I latticini possono dare problemi di stomaco, o semplicemente possono non piacere, tutti buoni motivi per ridurre o eliminare i latticini e derivati dalla propria alimentazione. Ma ecco qui di seguito i motivi per NON evitare il consumo di latticini e derivati:

  1. Se la dieta paleo o dieta Whole30 o qualche altra strategia dietetica “scientista” dice che si dovrebbe
  2. Perché un “guru” della supercazzola alimentare dice che è “infiammatorio” (tranquilli, non lo è)
  3. Alcune analisi del sangue IgG hanno detto che si è intolleranti ai latticini
  4. Perché i latticini e derivati stimolano l’Insulina
  5. Perché il solito “guru” della supercazzola alimentare dice “siamo l’unico animale che consuma il latte di un altro animale” (l’ultima volta che ho controllato, siamo anche l’unico “animale” che digita su una tastiera o beve da un bicchiere o scrive e cucina).

La linea di fondo è, se si eliminano latticini e derivati quando non sussiste un reale bisogno, si potrebbe rendere più difficile la perdita di grasso, non più facile. Quindi, sarebbe meglio evitare certe inutili pratiche alimentari.

E no, non sono addentro al commercio dei prodotti lattiero-caseari e non commercio integratori di proteine derivate dal latte…non ho scritto questo articolo a fini commerciali…

Gabriel Bellizzi

Riferimenti:

  • Articolo liberamente ispirato dallo scritto “Stop Ditching the Dairy” di  Weightology.net
  1. https://www.ncbi.nlm.nih.gov/pubmed/24944060
  2. https://www.ncbi.nlm.nih.gov/pubmed/19263591
  3. http://www.ncbi.nlm.nih.gov/pubmed/21205360
  4. http://www.ncbi.nlm.nih.gov/pubmed/21320381
  5. https://www.ncbi.nlm.nih.gov/pubmed/25733461
  6. https://www.ncbi.nlm.nih.gov/pubmed/16933179?itool=EntrezSystem2.PEntrez.Pubmed.Pubmed_ResultsPanel.Pubmed_RVDocSum&ordinalpos=66
  7. https://www.ncbi.nlm.nih.gov/pubmed/24698990
  8. https://www.ncbi.nlm.nih.gov/pubmed/26394259
  9. https://biogentech.wordpress.com/2017/03/11/insulina-e-latticini/
  10. https://www.ncbi.nlm.nih.gov/pubmed/26175486
  11. https://www.ncbi.nlm.nih.gov/pubmed/23858091
  12. http://www.nutritionjrnl.com/article/S0899-9007(05)00380-1/abstract
  13. http://www.ajcn.org/cgi/content/full/83/3/559
  14. http://www.ajcn.org/cgi/content/full/84/6/1481
  15. http://www.nutritionjrnl.com/article/S0899-9007(07)00245-6/abstract
  16. http://jn.nutrition.org/cgi/content/full/134/11/3054
  17. http://iv.iiarjournals.org/content/23/4/527.abstract
  18. http://www.nature.com/oby/journal/v18/n4/abs/oby2009300a.html
  19. http://www.liebertonline.com/doi/abs/10.1089/jmf.2009.0223
  20. http://onlinelibrary.wiley.com/doi/10.1111/j.1365-277X.2009.00967.x/abstract
  21. http://www.ncbi.nlm.nih.gov/pubmed/19710195
  22. http://www.ncbi.nlm.nih.gov/pubmed/16129716
  23. http://www.ncbi.nlm.nih.gov/pubmed/15817848
  24. http://www.ncbi.nlm.nih.gov/pubmed/17189552
  25. http://www.ncbi.nlm.nih.gov/pubmed/18950508
  26. https://www.ncbi.nlm.nih.gov/pubmed/10838463
  27. http://www.ncbi.nlm.nih.gov/pubmed/22249225
  28. http://sciencebasedmedicine.org/igg-food-intolerance-tests-what-does-the-science-say/

MAGNESIO E TESTOSTERONE LIBERO

shbg

Gli uomini con maggiori concentrazioni ematiche di Magnesio molto probabilmente hanno maggiori concentrazioni ematiche di Testosterone libero. Questa conclusione è stata riportata in un articolo pubblicato sul Journal of Pharmaceutical and Biomedical Analysis. (1)

Circa il 2% del Testosterone circolante nel flusso ematico è attivo: non è legato alle proteine di trasporto che impediscono al Testosterone di interagire con il recettore degli androgeni. Circa il 40% del Testosterone circolante è legato all’albumina, una proteina che non impedisce all’ormone di svolgere la sua attività. Il Testosterone libero e il Testosterone legato all’albumina sono indicati come Testosterone biodisponibile.

Circa il 60% del Testosterone circolante è legato alle Globuline leganti gli ormoni sessuali (SHBG). Gli Androgeni legati alle SHBG perdono il loro effetto anabolizzante, ma probabilmente mantengono il loro effetto androgenico. Nella prostata, per esempio, ci sono recettori per le SHBG i quali inviano segnali di “errore” alle cellule della prostata se ad essi si legano SHBG legate ad androgeni. Gli ormoni steroidei androgeni legati alle SHBG hanno quindi potenziali effetti indesiderati, ma senza effetti desiderabili.

Man mano che un uomo invecchia, aumentano le concentrazioni di SHBG e con esse il Testosterone legato. Questo avviene anche perché gli uomini più anziani mangiano meno proteine. Un basso consumo proteico aumenta le concentrazioni di SHBG nel sangue. Un apporto proteico più elevato porta a concentrazioni maggiori di albumina e aumenta la quantità di Testosterone biodisponibile. Entro certi limiti, ovviamente.

I ricercatori, associati all’Université de Franche-Comte, hanno estratto dal sangue di giovani uomini le SHBG esponendole in seguito agli ioni di Magnesio. Successivamente i ricercatori hanno misurato la velocità con cui il Testosterone si legava alle SHBG all’aumentare delle concentrazioni di Magnesio. Maggiore era la concentrazione di magnesio, minore era l’attrazione tra l’ormone e la proteina legante.

Anche se i ricercatori non hanno esaminato se maggiori concentrazioni di Magnesio portino effettivamente a maggiori concentrazioni di Testosterone libero negli esseri umani, credono che i loro risultati siano significativi a livello fisiologico.

I ricercatori scrivono che i risultati presentati forniscono evidenza per una variazione mediata dall’Mg2 + nell’associazione Testosterone-SHBG, suggerendo che un aumento della concentrazione di Mg2 + all’interno dell’intervallo di concentrazione biologica (0,75mM-1,0mM) potrebbe portare ad un miglioramento del Testosterone biodisponibile.

Venticinque anni fa dei ricercatori hanno esaminato l’effetto di concentrazioni di Magnesio estremamente elevate e biologicamente improbabili. Ciò ha portato ad un piccolo calo dei livelli di Testosterone. (2)

La ricerca negli ultimi anni si è spinta avanti prendendo in esame l’effetto delle sostanze vegetali sul legame del testosterone con le SHBG (vedere, a proposito, l’effetto del Fieno Greco sul Testosterone libero).

Il Magnesio è un minerale presente negli alimenti di origine vegetale. Buone fonti sono i cereali integrali, gli spinaci, le noci e i fagioli.

Gabriel Bellizzi

Riferimenti:

  1. http://dx.doi.org/doi:10.1016/j.jpba.2008.10.041
  2. http://www.ncbi.nlm.nih.gov/pubmed/8428707