
In alcune formulazioni pre-workout o “NO booster” è presente un aminoacido poco conosciuto, la L-Norvalina. Sulla sicurezza d’uso di alte dosi di Norvalina si dibatte da diverso tempo, in alcuni studi si è affermato che l’assunzione di alte dosi di Norvalina causi un aumento considerevole dell’ammoniaca nel fegato.(1) Recentemente, alcuni ricercatori australiani hanno pubblicato sul Toxicology in Vitro un interessante studio riguardante la Norvalina. Sembra che a concentrazioni elevate questo amminoacido possa causare la morte dei neuroni.(2)
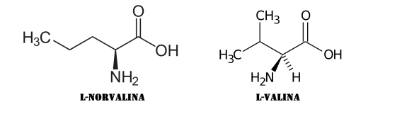
La L-Norvalina (abbreviato come Nva) è un amminoacido con formula bruta C5H11NO2 . Il composto è un isomero della Valina.(3) Come la maggior parte degli altri α-amminoacidi, la Norvalina è chirale. È un solido bianco solubile in acqua.


La Norvalina è un amminoacido non proteogenico e, sebbene strutturalmente simile alla Valina, non a catena ramificata. In passato venne identificato come un componente naturale di un peptide antifungineo del Bacillus subtilis. La Norvalina e altri amminoacidi modificati hanno ottenuto una certa attenzione perché incorporati in alcune proteine ricombinanti trovate nel E. coli.(4) La sua biosintesi è stata esaminata. L’incorporazione della Nva nei peptidi riflette la selettività imperfetta dell’amminoacil-tRNA sintetasi associata. Negli esperimenti di Miller-Urey si sono testati metodi di sintesi prebiotica di Norvalina e Norleucina.(5)
È noto che la Norvalina promuova la rigenerazione dei tessuti e la crescita muscolare (6), e che sia un precursore nella via della biosintesi della penicillina.(7)(8)

In breve, la Norvalina è un amminoacido per lo più ricavato in maniera artificiale, sebbene si trovi in piccole quantità in diversi alimenti (carni, latticini, cereali, legumi e noci), di struttura simile alla Valina, conosciuto per la potenziale capacità di rigenerare tessuti e accrescere la massa muscolare. E’ noto anche per essere un inibitore dell’enzima Arginasi, cosa che porta ad un aumento significativo della sintesi di Arginina nell’organismo e un consequenziale aumento dello stimolo della sproduzione di Ossido Nitrico (NO), molecola implicata nella regolazione della circolazione e pressione sanguigna, nella vasodilatazione, nell’apoptosi, nel funzionamento dei neuroni, nell’infiammazione, nelle funzioni immunitarie e sessuali. Questi suoi potenziali effetti hanno permesso una sua larga diffusione nel BodyBuilding.
Come spesso accade nel mondo della supplementazione OTC, il reale impatto sul miglioramento delle prestazioni in seguito ad assunzione di Norvalina non è (al momento) stato dimostrato.
I ricercatori australiani che hanno realizzato lo studio del quale si è accennato all’inizio di questo articolo, hanno esposto delle cellule cerebrali SH-SY5Y alla Norvalina in una Piastra di Petri.

In concentrazioni fino a 2000 micromoli, la Norvalina ha causato la morte delle cellule cerebrali [in basso a sinistra]. Più a lungo è durata l’esposizione, più la Norvalina diventava letale per i neuroni [in basso a destra].


La figura sopra riportata può rivelare il meccanismo attraverso il quale la Norvalina possa portare alla morte dei neuroni: la Norvalina altera il meccanismo di assorbimento dei substrati energetici da parte del neurone. L’amminoacido non ha ridotto il numero dei mitocondri [a sinistra], ma ne ha ridotto le dimensioni [a destra]. Come ben sappiamo, i mitocondri sono le centrali energetiche della cellula nelle quali i substrati energetici vengono convertiti in ATP per produrre energia ad uso della stessa.
Il principale autore dello studio, Kate Samardzic, ha affermato in un comunicato stampa che le scoperte fatte sono particolarmente interessanti per i BodyBuilder e altri atleti.(9) I ricercatori hanno affermato che alcuni amminoacidi non proteici sono tossici perché possono imitare gli aminoacidi proteici e ingannare il corpo causando la produzione di proteine difettose; una proprietà usata da alcune piante per uccidere parassiti e animali che si nutrono di esse. Alcune piante possono anche rilasciare amminoacidi non proteici nel terreno per uccidere altre piante in modo da poter avere maggiore accesso ai nutrienti. La “guerra chimica” tra le piante è un fenomeno ben noto.
Poiché è stato dimostrato che la L-Norvalina ha attività antimicrobica ed erbicida, i ricercatori australiani hanno avuto l’idea di esaminare la sua tossicità nelle cellule umane, in particolare nei neuroni.
Gabriel Bellizzi
Riferimenti:
- http://www.sanihelp.it/enciclopedia/scheda/9784.html
- https://doi.org/10.1016/j.tiv.2019.01.020
- Merriam-Webster Retrieved 4 September 2010
- Soini J, Falschlehner C, Liedert C, Bernhardt J, Vuoristo J, Neubauer P (2008). “Norvaline is accumulated after a down-shift of oxygen in Escherichia coli W3110”. Microbial Cell Factories. 7: 30. doi:10.1186/1475-2859-7-30. PMC 2579280. PMID 18940002
- Alvarez-Carreño C, Becerra A, Lazcano A (October 2013). “Norvaline and norleucine may have been more abundant protein components during early stages of cell evolution”. Origins of Life and Evolution of the Biosphere. 43 (4–5): 363–75. doi:10.1007/s11084-013-9344-3. PMID 24013929.
- Ming XF, Rajapakse AG, Carvas JM, Ruffieux J, Yang Z (2009). “Inhibition of S6K1 accounts partially for the anti-inflammatory effects of the arginase inhibitor L-norvaline”. BMC Cardiovascular Disorders. 9: 12. doi:10.1186/1471-2261-9-12. PMC 2664787. PMID 19284655.
- reference.md Retrieved 4 September 2010
- Kisumi M, Sugiura M, Chibata I (August 1976). “Biosynthesis of norvaline, norleucine, and homoisoleucine in Serratia marcescens”. Journal of Biochemistry. 80 (2): 333–9. PMID 794063.
- https://www.sciencedaily.com/releases/2019/02/190207102627.htm


















