HMB E CORTICOSTEROIDI

hmbc

I corticosteroidi, come il Desametasone e il Prednisone, sono potenti agenti anti-infiammatori che possono anche causare atrofia muscolare. Se si dovesse aver bisogno di usare i corticosteroidi, potrebbe essere utile considerare l’uso concomitante di HMB. Secondo i ricercatori della Pusan National University nella Corea del Sud, l’HMB può ridurre l’atrofia muscolare causata dai corticosteroidi. (1)

Come ben sappiamo, l’HMB è un metabolita della Leucina e le cellule muscolari hanno un tipo di sensore integrato per rilevare questo aminoacido. La Leucina è direttamente implicata nei processi anabolici cellulari.

L’HMB ha un effetto simile a quello della Leucina sulle cellule muscolari, ma non sappiamo esattamente come questo funzioni realmente. Una non particolarmente nuova teoria suggerisce che non è la Leucina che le cellule muscolari “rilevano”, ma il suo metabolita HMB. Studi recenti suggeriscono comunque che HMB e Leucina inducono la crescita muscolare in due modi diversi. (2)

I ricercatori coreani volevano sapere se i pazienti sottoposti a terapia con corticosteroidi avessero potuto mantenere maggior massa muscolare assumendo Leucina o HMB. Hanno eseguito uno studio su animali nel quale somministrarono a dei ratti del Desametasone, un corticosteroide, per 5 giorni. Il Desametasone è cinque volte più forte di Prednisone. Ad un gruppo di controllo [Con] è stato somministrato un placebo.

Ad un gruppo di ratti è stato somministrato solo il Desametasone. [Dexa]

Ad un altro gruppo di ratti è stata somministrata una buona dose di Leucina insieme a Desametasone [Dexa + Leu]. L’equivalente umano di questa dose sarebbe di circa 8g al giorno, sulla base di una persona del peso di 80 kg. (3)

Ad un altro gruppo di ratti è stata somministrata una dose modesta di HMB insieme al Desametasone [Dexa + HMB 150]. L’equivalente umano di questa dose sarebbe circa 2g al giorno. (3)

Infine, ad un altro gruppo di ratti è stata somministrata una dose maggiore di HMB in aggiunta al Desametasone [Dexa + HMB 600]. L’equivalente umano di questa dose sarebbe circa 8g al giorno. (3)

Alla fine dei cinque giorni il Desametasone aveva ridotto il peso del muscolo gastrocnemio dei ratti, ma l’HMB aveva ridotto il livello di atrofia. La figura 1 mostra il peso del gastrocnemio in proporzione al peso corporeo dei ratti.

hmbversuscorticosteroids2

Il Desametasone ha ridotto il tasso di forza muscolare e ha potenziato la concentrazione di creatina chinasi nel sangue. Quest’ultimo è un’indicazione del danno muscolare.

hmbversuscorticosteroids


I ricercatori pensano che l’HMB saboti la proteina FOXO1. Il recettore al quale si legano gli ormoni corticosteroidi non funziona correttamente senza questa proteina.

hmbversuscorticosteroids3

In conclusione i ricercatori affermano che i loro dati in vivo mostrano che l’HMB protegge contro l’atrofia muscolare indotta dai glucocorticoidi suggerendo che la supplementazione di HMB possa essere considerata un potenziale trattamento per l’atrofia muscolare.

Gabriel Bellizzi

Riferimenti:

1- https://www.ncbi.nlm.nih.gov/pubmed/25032690
2- https://www.ncbi.nlm.nih.gov/pubmed/23551944
3- https://www.ncbi.nlm.nih.gov/pubmed/17942826

OXANDROLONE E TRATTAMENTO DELLE MALATTIE NEUROMUSCOLARI

 

anavar2
Oxandrolone

 

Secondo i neurologi italiani, l’Oxandrolone è uno steroide anabolizzante che può essere utile nel trattamento della malattia muscolare di Charcot-Marie-Tooth. (1)

La Charcot-Marie-Tooth è una malattia muscolare ereditaria simile alla Sclerosi Multipla (SM). La differenza tra le due patologie sta nel fatto che la Charcot-Marie-Tooth colpisce le vie nervose che collegano il cervello al resto del corpo. Dato ciò le persone con questa malattia perdono il controllo del movimento degli arti.

Nella SM sono le cellule del cervello e della colonna vertebrale ad essere interessate. La SM è una malattia più aggressiva della Charcot-Marie-Tooth. Le persone con SM hanno una aspettativa di vita da cinque a dieci anni più breve rispetto alle persone sane; la Charcot-Marie-Tooth, non diminuisce l’aspettativa di vita.

In entrambe le patologie viene interessata la guaina mielinica che circonda i nervi. Le vie nervose sono costituite da assoni: i lunghi filamenti di cellule specializzate, che possono essere della lunghezza di decine di centimetri. La mielina è una sostanza grassa che protegge gli assoni.

myelin1

Ci sono diverse forme di Charcot-Marie-Tooth. Il soggetto preso in esame dai ricercatori italiani, un uomo di 25 anni, aveva la CMT-1. I ricercatori hanno descritto il suo stato come “una grave neuropatia demielinizzante presentante tetraparesi spastica, debolezza muscolare, spasticità, e instabilità durante la deambulazione.”

I ricercatori hanno fatto allenare l’uomo con i pesi per un periodo di tre mesi. Sono stati allenati tutti i grandi gruppi muscolari, facendo due serie di esercizi di base. La rep-range è stata bassa: 6-8 ripetizioni. Le persone con malattie muscolari non possono fare un gran numero di ripetizioni.

L’uomo preso in esame ha assunto 20mg di Oxandrolone al giorno. Inoltre al soggetto è stata somministrata un’iniezione di 2000 UI di hCG ogni due settimane. Questo è stato fatto allo scopo di mantenere la sintesi di Testosterone endogeno.

La combinazione di allenamento per la forza, Oxandrolone e hCG ha fatto guadagnare all’uomo preso in esame 5 kg di massa corporea magra. Il paziente ha guadagnato forza muscolare e ha iniziato a camminare più facilmente.

charcotmarietoothoxandrolone

La velocità di trasmissione del segnale nervoso ai muscoli è aumentato del 9%; la forza dei segnali che viaggiano dal cervello ai muscoli è aumentata del 10%.

Alla fine del ciclo di Oxandrolone e hCG, i ricercatori hanno notato una maggiore concentrazione di fibre di tipo-2 nel tessuto muscolare del soggetto. I ricercatori considerano ciò come “espressione di processi di rigenerazione e reinnervazione”.

oxandrolonecharcotmarietooth

Studi in provetta e su animali hanno dimostrato che gli androgeni inducono la crescita delle cellule di Schwann. (2) Queste sono le cellule che formano la guaina mielinica attorno agli assoni. I ricercatori italiani sospettano che la combinazione di allenamento, Oxandrolone e hCG abbia indotto la riparazione dei danni allo strato di mielina.

schwanncell

I ricercatori hanno affermato che nel paziente di questo caso clinico, il trattamento con Oxandrolone aggiunto ad esercizio ha migliorato la funzione neuromuscolare, probabilmente in conseguenza della reinnervazione del muscolo, come evidenziato anche dal recupero della funzione del motoneurone. Questa osservazione suggerisce che il trattamento con Oxandrolone può essere utile per ripristinare l’efficienza funzionale degli assoni e dei motoneuroni e potrebbe essere considerato il suo uso all’interno di programmi di riabilitazione in pazienti con danni neuromuscolari, come le malattie demielinizzanti, neuropatia ereditaria, invecchiamento, e dopo lesione periferica.

la fiducia dei ricercatori nella terapia androgenica sembra anche essere confermata dalle esperienze di altri pazienti. Infatti, nelle conclusioni dell’articolo, i ricercatori affermano di aver trattato altri pazienti con malattie simili e soggetti paraplegici dopo la lesione del midollo spinale e nella loro esperienza, tutti i pazienti traggono beneficio dalla terapia androgena.

Infine, i ricercatori concludono dicendo che lo scopo di questo studio è quello di aumentare l’interesse di altri autori a svolgere ulteriori ricerche perché gli studi in questo campo sono chiaramente utili per la pratica clinica.

Gabriel Bellizzi

Riferimenti:

1- http://www.amjcaserep.com/abstract/index/idArt/893901
2- https://www.ncbi.nlm.nih.gov/pmc/articles/PMC2408920/

L-CARNITINA E PROTEZIONE MUSCOLARE

 

carnitine4
L-Carnitina

 

Una dose giornaliera di 2g di L-carnitina ha un’azione protettiva sui muscoli degli atleti, secondo uno studio su esseri umani che gli scienziati dello sport presso la Islamic Azad University in Iran hanno pubblicato sul Asian Journal of Sports Medicine. (1)

Nei mitocondri le sostanze nutritive vengono convertite in energia. Si potrebbe dire che i mitocondri sono delle centrali elettriche molecolari. E se mitocondri sono le centrali, le molecole di L-carnitina sono i camion che trasportano la biomassa al loro interno. Ecco il motivo per il quale gli scienziati dello sport si sono dedicati allo studio della supplementazione con L-carnitina.

I ricercatori hanno diviso 22 giovani uomini fisicamente attivi in due gruppi:

– Un gruppo ha assunto un placebo per due settimane;
– l’altro gruppo ha assunto un supplemento contenente 2g di L-carnitina.

Al termine delle due settimane, i ricercatori hanno fatto correre i soggetti dello studio per 15 minuti.

I ricercatori hanno anche analizzato il sangue dei soggetti:

– prima dell’inizio della supplementazione [base];
– appena prima della corsa [Pre];
– poco dopo aver terminato la corsa [post];
– di nuovo 2 [2 h] e 24 ore [24 h] dopo.

La sessione di corsa ha aumentato la concentrazione degli enzimi LDH e CK nel sangue degli uomini, ma l’aumento è stato notevolmente meno significativo negli uomini che erano stati supplementati con L-carnitina. LDH e CK sono marcatori del danno muscolare. Sembra che la supplementazione con L-carnitina riduca il danno muscolare.

carnitinephysicalactivitymuscle4carnitinephysicalactivitymuscle2carnitinephysicalactivitymuscle3

Il TBARS è un marcatore per l’attività dei radicali liberi. Si tratta di molecole aggressive che possono danneggiare la struttura delle cellule e che vengono rilasciati durante l’esercizio fisico intenso. La sessione di corsa ha alzato la concentrazione di TBARS nel sangue dei soggetti, ma l’aumento è stato minore negli uomini che avevano assunto L-carnitina.

Inoltre la supplementazione con L-carnitina ha mantenuto l’attività degli antiossidanti nel sangue. Gli antiossidanti possono neutralizzare i radicali liberi.

carnitinephysicalactivitymusclex

Il presente studio ha dimostrato che un allenamento acuto può indurre stress ossidativo in giovani uomini sani e attivi. Due settimane di supplementazione orale quotidiana con L-carnitina hanno mostrato alcuni effetti allevianti sulla perossidazione lipidica e gli indici di danno muscolare a favore di una maggiore capacità antiossidante.

Tuttavia, il meccanismo esatto attraverso il quale la L-carnitina esercita la sua azione attenuante sui marcatori dello stress ossidativo non è ben definita ed è necessaria un’ulteriore ricerca.
Tuttavia, gli effetti della supplementazione con L-carnitina sono inconcludenti in letteratura. Questo è probabilmente dovuto al fatto che il corpo assorbe la L-carnitina se assunta con quantità sostenute di carboidrati.

Gabriel Bellizzi

Riferimenti:

1- https://www.ncbi.nlm.nih.gov/pubmed/25834706

Citrus aurantium e Rhodiola rosea soppressori dell’appetito

Una combinazione attentamente bilanciata di Citrus aurantium e Rhodiola rosea riduce l’appetito e le riserve di grasso, secondo quanto riportato in uno studio effettuato presso la State University del New Jersey.(1)

s-thyroxine_structural_formulae_v2-svg

3ngh
Dall’alto: Rosavine e Salidroside

La Sinefrina, della quale ho parlato nel dettaglio in un mio articolo di qualche anno fa, è il principio attivo del Citrus aurantium, e ha un azione riducente sull’appetito, ma può anche avere un effetto limitante sulle arterie e causare ipertensione. Studi in vitro hanno dimostrato che la Rhodiola rosea ha anche un paio di proprietà che sono di interesse per le persone che vogliono perdere peso, e gli studi sugli animali hanno anche dimostrato che la Rhodiola protegge il muscolo cardiaco.(2) Ecco perché i ricercatori si sono chiesti se fosse stato possibile fare un integratore dimagrante efficace combinando i due estratti.

I ricercatori hanno cercato di rispondere a questa domanda svolgendo uno studio su animali.

I ricercatori hanno somministrato ai ratti Citrus aurantium, Rhodiola o una combinazione dei due estratti al giorno per dieci giorni tramite un tubo. Ad un gruppo di controllo è stata somministrata solo una piccola quantità di liquido senza ingredienti attivi [Placebo]. Ad un altro gruppo di controllo è stata somministrata esattamente la stessa quantità di cibo dato ai ratti del gruppo di Citrus aurantium + Rhodiola rosea [Controllo].

L’estratto di Citrus aurantium conteneva il 6% di Sinefrina, un composto simile al chetone di lampone e all’Efedrina.

L’estratto di Rhodiola conteneva il 3% di rosavine e l’1% di Salidroside.

Una dose di 3,2-5,6 mg di Citrus aurantium per kg di peso corporeo al giorno in combinazione con 20 mg di Rhodiola rosea per kg di peso corporeo al giorno ha ridotto l’apporto calorico giornaliero dei topi. Se la dose di Citrus aurantium è troppo alta, l’effetto stranamente scompare.

L’equivalente umano di queste dosi è circa 45-75 mg di Citrus aurantium e 260 mg di Rhodiola rosea al giorno.(3)

 

citrusaurantiumrhodiolaroseacitrusaurantiumrhodiolarosea2


La quantità di grasso addominale era significativamente inferiore nei ratti che avevano ricevuto sia la Rhodiola rosea che il Citrus aurantium rispetto agli altri gruppi.

I ricercatori non sanno con esattezza come la combinazione di Citrus aurantium e Rhodiola rosea funzioni, ma sospettano che questi due composti abbiano un effetto a livello cerebrale. Essi hanno scoperto che la combinazione ha potenziato la concentrazione dei neurotrasmettitori appetito-soppressori nella parte del cervello che regola il comportamento alimentare. Nel ipotalamo ad esempio la combinazione aveva questo effetto sulla noradrenalina.

citrusaurantiumrhodiolarosea3

Nella corteccia prefrontale, un’altra parte del cervello che è coinvolta nella regolazione dell’appetito, la combinazione di Rhodiola e Citrus aurantium ha potenziato la concentrazione di dopamina di una quantità significativa.

citrusaurantiumrhodiolarosea4


I ricercatori non hanno osservato effetti collaterali cardiovascolari.
I ricercatori hanno affermato che dosi combinate di Citrus aurantium e Rhodiola rosea promuovono il miglioramento delle alterazioni causate da una alimentazione ad alto contenuto di grassi e dall’obesità. I ricercatori continuano dicendo che questi effetti sembrano derivare da una interazione tra i due estratti erboristici ed i loro componenti bioattivi, rappresentando un nuovo meccanismo che richiede un ulteriore esame.

Lo studio è stato finanziato dal governo americano, nella forma del National Center for Complementary and Alternative Medicine e del Office of Dietary Supplements.

Gabriel Bellizzi

Riferimenti:

1- http://www.ncbi.nlm.nih.gov/pubmed/23746567
2- http://www.ncbi.nlm.nih.gov/pubmed/23044195
3- http://www.ncbi.nlm.nih.gov/pubmed/17942826

Nutrienti mitocondriali per maggior resistenza e più mitocondri

 

mitochondriumsmall
Mitocondrio

 

Se si combina l’Acido alfa-lipoico, l’acetil-L-carnitina, la biotina, la vitamina B2, B3 e B6, la Creatina, il Coenzima Q10, il Resveratrolo e la Taurina in un’unica capsula si ottiene con tutta probabilità un integratore che può aiutare gli atleti di resistenza a ottenere tempi migliori. (1)

I ratti dell’esperimento che qui vado ad esporre sono stati supplementati con i seguenti importi giornalieri per kg di peso corporeo dei prima citati composti:

• 50 mg di R-Acido-alfa-lipoico
• 100 mg di Acetil-L-carnitina 100
• 0,1 mg Biotina
• 15 mg Nicotinamide [vitamina B3]
• 6 mg di Riboflavina [vitamina B2]
• 6 mg Piridossina [vitamina B6]
• 50 mg di Creatina
• 5 mg di Q10
• 5 mg di Resveratrolo
• 100 mg di Taurina.

Alcuni dei ratti supplementati non hanno svolto alcun allenamento [SC]. Altri dovevano correre su un tapis roulant durante le 4 settimane dell’esperimento fino a raggiungere il punto di esaurimento [CE]. I ricercatori hanno dato delle scosse elettriche quando i ratti smettevano di correre. Solo quando i ratti smettevano di reagire agli shock i ricercatori fermavano l’allenamento. Un terzo gruppo di ratti è stato sottoposto a un programma di allenamento con le stesse modalità prima citate ma ricevendo la supplementazione mitocondriale [EN].

Un animale è deceduto sia nel gruppo CE che nel gruppo EN durante le sessioni di allenamento. Tanto i ratti dovevano correre ad oltranza.

La figura qui riportata mostra che il gruppo al quale è stato dato il supplemento è stato in grado di correre più a lungo del gruppo CE, fin dall’inizio.

mixrunningmixrunning2
mixrunning3mixrunning4
Il supplemento ha ridotto il danno muscolare. Dopo 4 settimane i ratti del gruppo EN avevano meno creatin-chinasi [CK] e meno lattato deidrogenasi [LDH] nel loro sangue. Entrambi questi valori sono indicatori del danno muscolare.

I mitocondri dei topi del gruppo EN sono aumentati di numero e dimensioni. Inoltre, i loro mitocondri producevano più proteine per i complessi di trasporto degli elettroni I, II e III.

Il mix di sostanze nutritive ha potenziato la produzione di molecole di segnale coinvolte nella sintesi mitocondriale: PGC-1alfa, Nrf-1, Tfam, Mfn1, MFN2 e, ultimo ma non meno importante i recettori estrogeno-correlati alfa.

I nutrienti mitocondriali potrebbero essere una strategia efficace per il miglioramento delle prestazioni fisiche e il recupero della fatica in esercizi di resistenza strenua.

Gabriel Bellizzi

Riferimenti:

1- Scand J Med Sci Sports. 2011 Apr 21. doi: 10.1111/j.1600-0838.2011.01314.x. [Epub ahead of print].

RESVERATROLO, QUERCETINA E CELLULE ADIPOSE

qr

Un mix di Resveratrolo e Quercetina può avere un doppio effetto dimagrante. Secondo uno studio in provetta fatto presso la University of Georgia, un mix di Quercetina e Resveratrolo bloccano la crescita delle cellule adipose portando ad un consumo maggiore dei grassi. Inoltre questo mix uccide le cellule grasse adulte. (1)

La Quercetina, che si trova naturalmente nel tè verde, nel vino rosso, nelle mele e nelle cipolle, stimola il rilascio del grasso dalle cellule adipose e ha un effetto moderatamente stimolante sul metabolismo. Il Resveratrolo ha effetti piuttosto simili: inibisce anche l’assorbimento del grasso da parte delle cellule adipose.(2) Il Resveratrolo induce le cellule a produrre più energia stimolando i mitocondri, aumentando così il consumo di energia.

I ricercatori hanno voluto sapere quale effetto potesse avere una combinazione di Resveratrolo e Quercetina. Così hanno messo giovani cellule adipose in una provetta aggiungendovi concentrazioni crescenti di Quercetina [Q] e Resveratrolo [R]. La figura mostra l’effetto che hanno le sostanze sulla quantità di acidi grassi immagazzinati dalle cellule adipose. I dati si riferiscono alle concentrazioni in micromoli.

resvquer

Le sostanze hanno bloccato la proteina PPAR-gamma. Si tratta di un sensore che segnala alle cellule adipose la presenza di acidi grassi nelle vicinanze.

I ricercatori hanno ripetuto l’esperimento con cellule adipose adulte osservandone la vitalità. Le sostanze hanno ucciso le cellule.

resvquer2


Il mix di Quercetina e Resveratrolo hanno indotto le cellule adipose a suicidarsi – almeno i ricercatori hanno trovato i classici indici di suicidio cellulare: più citocromo C e i filamenti di DNA più sciolti. Il Citocromo C si trova nei mitocondri. Se lo si trova nel liquido cellulare allora c’è qualcosa che non va nella cellula.

I ricercatori che hanno svolto lo studio sono medici veterinari. Comunque, i ricercatori hanno affermato che “questi risultati suggeriscono che somministrare Resveratrolo e Quercetina, specialmente in combinazione, può avere un potenziale per essere utilizzata per regolare il ciclo di vita degli adipociti.”

Gabriel Bellizzi

Riferimenti:

1- https://www.ncbi.nlm.nih.gov/pubmed/18433793
2- https://www.ncbi.nlm.nih.gov/pmc/articles/PMC2596873/

PROLATTINA E PROGESTERONE: FACCIAMO CHIAREZZA.

La Prolattina e il Progesterone sono due ormoni spesso confusi tra i Bodybuilder supplementati chimicamente. Eppure queste due molecole non hanno nulla di simile. Prima di tutto bisogna dare un’occhiata a questi due ormoni prima di proseguire:

 

prg
Progesterone

 

– Il Progesterone è un ormone steroideo sintetizzato dalle ovaie e dal surrene. Nella donna, viene secreto in quantità modesta dall’ovaio nella seconda metà del ciclo mestruale; dopo l’ovulazione, detta appunto fase luteale (luteinica) o progestinica, il corpo luteo ne produce quantità elevate. Da quel momento il Progesterone esercita la sua azione principale, permettendo la creazione delle condizioni adatte alla fecondazione della cellula uovo e al suo annidamento nella mucosa uterina (endometrio), eventi che segnano l’inizio della gravidanza. Il Progesterone esercita anche altre funzioni di minor rilievo, sempre riguardanti l’apparato genitale femminile, quali modificazioni di struttura e di attività funzionale delle tube e della mammella. Infine, durante la gravidanza, il Progesterone viene prodotto in grosse quantità dalla placenta e, durante la stessa, impedisce che avvengano altre ovulazioni. Durante la gravidanza il Progesterone è di fondamentale importanza perché garantisce la secrezione endometriale, inibisce le contrazioni del miometrio (lo strato muscolare liscio al di sotto della tonaca endometriale dell’utero) e soprattutto blocca la risposta immunitaria materna che porterebbe alla fagocitosi dell’embrione riconosciuto come corpo estraneo. Sebbene una piccola quota venga prodotta anche nell’uomo (cellule testicolari del Leydig) il Progesterone è un tipico ormone femminile. (1)

 

prolattina
Prolattina

– La Prolattina (anche conosciuta come Lactotropo), o PRL, è un ormone polipeptidico di 199 amminoacidi del peso di 23 ku prodotto dalle cellule lattotrope dell’ipofisi anteriore che ne costituiscono il 20%. La sua principale azione è di promuovere la lattazione, poiché l’atto di succhiare la mammella della madre da parte del bambino aumenta la secrezione di prolattina ed essa stimola la lattogenesi. Ciò garantisce, quindi, una lattazione normale e adatta alle necessità del bambino. Ci sono, comunque, molti altri effetti della prolattina, che è prodotta anche dai maschi. (2)

 

hpta1

Il Progesterone può essere una preoccupazione per gli utilizzatori di AAS in quanto in alcune circostanze, gli steroidi anabolizzanti che agiscono come progestinici possono essere particolarmente soppressivi per l’HPTA, più di altri composti, e la loro interazione con il recettore del Progesterone può esacerbare il potenziale per lo sviluppo della ginecomastia aumentando la sensibilità del recettore degli estrogeni. La Prolattina può essere una preoccupazione poiché livelli aumentati di questo ormone negli uomini si traducono in lattazione dai capezzoli, così come in soppressione del HPTA e della produzione di Testosterone endogeno, e in effetti sulla libido come la sua riduzione e l’anorgasmia (l’incapacità di raggiungere l’orgasmo).

nandrolone-svg1

I due ormoni più spesso associati con Prolattina e Progesterone sono il Trenbolone e Nandrolone. Il Trenbolone è un derivato del nandrolone, ponendo i due nella stessa categoria/famiglia di AAS. Entrambi questi AAS sono progestinici in sé e per sé (sono anche correttamente classificati come 19-nor steroidi). Contrariamente a molti equivoci e false affermazioni che vengono gettate su questi due composti, il Nandrolone e il Trenbolone non si converte in Progesterone. Sono progestinici, e ciò significa che posseggono la stessa struttura chimica e caratteristiche del Progesterone, e hanno un’affinità di legame per i recettori del Progesterone. Tuttavia, è molto importante capire che non sono Progesterone. Sono quello che potremmo considerare derivati del Progesterone, nello stesso modo in cui lo Stanozololo è un derivato del Diidrotestosterone (DHT), anche se non ci si riferirebbe mai allo Stanozololo come Diidrotestosterone. Lo stesso si può dire per il Methyltestosterone e il Testosterone, o l’Oxandrolone e il Diidrotestosterone, o l’Oxymetholone e il Diidroteststerone ecc…

t1a

Quando entra in gioco la Prolattina? Bisogna notare che non ho menzionato la relazione che il Trenbolone e il Nandrolone hanno con la Prolattina. La verità è che non hanno alcuna relazione reale con la Prolattina alla quale siamo attualmente a conoscenza. La verità è che ciò che la scienza ha già stabilito è che il Progesterone è in realtà un inibitore della Prolattina non solo nel sito del tessuto mammario ma anche nella ghiandola pituitaria. (3,4,5,6) Inoltre, gli androgeni (soprattutto gli androgeni forti) hanno la tendenza a diminuire i recettori della Prolattina nel corpo (7) e l’aumento dei livelli di estrogeni aumentano la Prolattina come evidenziato da un soggetto di studio in cui i livelli di Prolattina sono aumentati significativamente a causa dell’aromatizzazione del Testosterone in estrogeni. (8)

Allora, cosa possiamo concludere da quello che già sappiamo sulla relazione che tutti questi ormoni hanno una con l’altro? Ebbene, il Progesterone effettivamente riduce i livelli di Prolattina, quindi l’affermazione comune secondo la quale i 19-norsteroidi quali Trenbolone e Nandrolone causano un aumento dei livelli di Prolattina sarebbe non valida se non tralasciassimo il fatto che questi sono derivati del Progesterone e non il Progesterone stesso. In altre parole, essi sono forme modificate del Progesterone che a causa delle loro modifiche, potrebbero possedere degli effetti ancora sconosciute sul sistema endocrino. Siamo in grado di confrontare meglio questo usando come esempio l’Oxymetholone. Sappiamo tutti che l’Oxymetholone è un derivato del DHT. Nonostante ciò, l’Oxymetholone non condivide molte caratteristiche con la molecola di partenza. Tuttavia, sappiamo tutti che l’Oxymetholone presenta effetti collaterali estrogenici, come ritenzione idrica e ginecomastia anche se, come derivato del DHT, non è soggetto ad aromatizazione. Infatti possiede affinità di legame con i recettori estrogenici e attività estrogenica.

Questo poterebbe essere simile per il caso del Trenbolone e del Nandrolone. Anche se sono progestinici e dovrebbero quindi esprimere le stesse o simili caratteristiche del Progesterone, le loro modifiche potrebbero conferire loro alcuni altri meccanismi nel corpo che si traducono in attività contrarie a quelle che ci si potrebbero aspettare. Anche se non si verifica per tutti coloro che utilizzano Trenbolone o Nandrolone, ci sono molti che hanno riportato un aumento nei livelli di Prolattina in conseguenza dell’utilizzo di questi composti, come evidenziato dai risultati degli esami del sangue che queste persone hanno condiviso. L’unico modo attraverso il quale potremmo sapere se questa è la verità è solo se verranno condotti ulteriori studi su soggetti di prova con questi due composti. Ma come risultato del divieto di utilizzo degli AAS, del tabù sociale imposto su di loro, e della loro criminalizzazione internazionale, è molto difficile prevedere che saremo in grado di trovare risposte a queste domande in qualunque momento nel breve termine.

Altri fattori che possono contribuire ad un aumento dei livelli di Prolattina con l’uso di Trenbolone o Nandrolone potrebbero essere il risultato di prodotti adulterati (di solito prodotti delle UGL) sul mercato nero a causa del proibizionismo in vigore. Molti prodotti non contengono l’ormone indicato in etichetta, possono contenere ormoni aggiuntivi, o anche additivi di altri tipi che possono influenzare negativamente il sistema endocrino degli utilizzatori in molti modi inaspettati.

Questo è un argomento che potrebbe essere discusso per giorni e giorni, e io probabilmente continuerò questa discussione in un futuro post su questo blog, come ho già fatto in passato. Ciò che sappiamo è solo la punta di un iceberg, quando si tratta del rapporto tra Androgeni, Progesterone, Prolattina, ed Estrogeni.

 

Gabriel Bellizzi

 

Riferimenti:

*Le informazioni riportate in questo articolo sono state estrapolate dall’articolo di Dan Chaiet “Progesterone And Prolactin: Clearing Confusion” pubblicato sul sito Steroidal.com

1- “Metabocard for Hydroxyprogesterone”. Human Metabolome Database. Retrieved 31 July 2013.
2- Bole-Feysot C, Goffin V, Edery M, Binart N, Kelly PA (June 1998). “Prolactin (PRL) and its receptor: actions, signal transduction pathways and phenotypes observed in PRL receptor knockout mice”. Endocr. Rev. 19 (3): 225–68. doi:10.1210/er.19.3.225. PMID 9626554.
3- Zinger M, McFarland M, Ben-Jonathan N (February 2003). “Prolactin expression and secretion by human breast glandular and adipose tissue explants”. J. Clin. Endocrinol. Metab. 88 (2): 689–96. PMID 12574200.
4- Assairi L, Delouis C, Gaye P, Houdebine LM, Olliver-Bousquiet M, Denamur R. 1974. Inhibition by Progesterone of the Lactogenic Effect of Prolactin in the Pseudopregnant Rabbit. Biochem. J. 144, 245-252.
5- Hall TR, Harvey S, Chadwick A. 1984. Progesterone inhibits prolactin and growth hormone release from fowl pituitary glands in vitro. Br Poult Sci. 25(4):555-9.
6- C. L. CHEN, and J. MEITES. 1970. Effects of Estrogen and Progesterone on Serum and Pituitary Prolactin Levels in Ovariectomized Rats. Department of Physiology, Michigan State University. Volume 86 Issue 3.
7- Norstedt G, Mode A 1982. On the primary site of action of estrogens and androgens in the regulation of hepatic prolactin receptors. Endocrinology. 111(2):645-9.
8- Nicoletti I, Filipponi P, Fedeli L, Ambrosi F, Gregorini G, Santeusanio F. 1984. Testosterone-induced hyperprolactinaemia in a patient with a disturbance of hypothalamo-pituitary regulation. Acta Endocrinol (Copenh). 105(2):167-72.

ECDYSTEROIDI E CRESCITA MUSCOLARE

 

ecdysterone
20-idrossi-ecdysone

 

I contenuti di ecdysteroidi presenti nei supplementi per il Bodybuilding sono probabilmente sufficienti a stimolare la crescita della massa muscolare, scrivono gli endocrinologi presso l’Università di Goettingen, in Germania, in un articolo del Journal of Steroid Biochemistry and Molecular Biology. In studi su animali, dosi modeste del ecdysteroide 20-idrossi-ecdysone hanno aumentato la massa muscolare e ridotto la quantità di grasso corporeo di topi. (1)

Dana Seidlová-Wuttke è una ginecologa specializzata nell’uso di erbe medicinali. La sua attuale ricerca in Germania è incentrata sull’uso degli ecdysteroidi in donne in post-menopausa. Ha già pubblicare i risultati di uno studio che ha dimostrato che l’ecdysterone rafforza le ossa e le articolazioni di ratti di sesso femminile. (2) Gli animali trattati dalla Seidlová-Wuttke nei suoi esperimenti erano privati delle ovaie, in modo da produrre livelli molto bassi di ormoni sessuali.

Nello studio pubblicato sul Journal of Steroid Biochemistry and Molecular Biology, i ricercatori hanno somministrato a ratti 18, 56 o 116 mg di ecdysterone ogni giorno per via orale. Ai gruppi di controllo è stata somministrata una alimentazione ordinaria [OVX, SF] o mangimi contenenti una piccola quantità di estradiolo sintetico [OVX + E2].

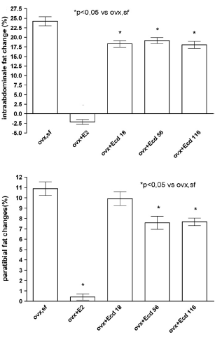
Le figure riportate di seguito mostrano che il gruppo OVX + E2 aveva guadagnato una quantità irrisoria di grasso dopo 3 mesi. Il gruppo OVX,SF aveva guadagnato più grasso, ma i ratti ai quali erano stati somministrati ecdysteroidi avevano guadagnato meno grasso rispetto ai ratti OVX,SF.

ecdymeta

Il grasso sulla tibia è chiamato grasso paratibiale. Questo è un marcatore per il grasso sottocutaneo. Le dosi più elevate di ecdysteroidi hanno inibito la crescita del grasso paratibiale. E tutte le dosi hanno inibito la crescita del grasso viscerale [grasso intra-addominale]. Questo è il grasso che circonda gli organi nella cavità addominale, che aumenta il rischio di malattie cardiovascolari.

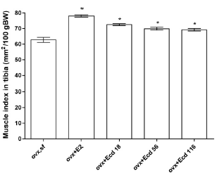
La figura seguente mostra cosa è successo alla massa muscolare degli animali da laboratorio. Gli ecdysteroidi hanno avuto un effetto anabolizzante.


ecdymeta2
I ricercatori hanno concluso che gli ecdysteroidi non hanno avuto un effetto estrogenico: non avevano alcun effetto sull’utero dei ratti. Ovviamente, l’estradiolo ha avuto un effetto estrogenico.

Per gli atleti i passaggi più interessanti di questo articolo riguardano la relazione dose-effetto degli ecdysteroidi. Una regola farmacologica dice che in base al peso corporeo dei roditori si richiede una dose di circa 10-15 volte più alta di quella necessaria per ottenere gli stessi effetti negli esseri umani. Potenziamenti nella massa muscolare negli esseri umani sono stati descritti con una dose giornaliera di 200 mg mentre i culturisti consumano grammi di ecdysteroidi. Sulla base di queste considerazioni la più bassa dose corrisponde alla dose consigliata per i consumatori normali, mentre la dose più elevata corrisponde ai quantitativi assunti dai culturisti. Quindi, dosi utilizzate in questo studio sono valori importanti per l’essere umano, concludono i ricercatori.

Quindi una dose giornaliera di diverse centinaia di milligrammi di ecdysteroidi dovrebbe essere sufficiente per favorire la crescita muscolare, secondo questo articolo. E forse gli ecdysteroidi sono efficaci anche a dosi ancora più piccole.

I ricercatori scrivono come sia stato interessante notare che gli ecdysteroidi alle dosi testate hanno portato raramente ad una risposta dose correlata. Questo potrebbe indicare una curva dose-risposta a forma di campana che significherebbe che tutte e 3 le dosi erano nella gamma di picco della campana e che teoricamente anche le dosi più basse possono essere efficaci su diversi parametri.

Gabriel Bellizzi

Riferimenti:

1- https://www.ncbi.nlm.nih.gov/pubmed/20097286
2- https://www.ncbi.nlm.nih.gov/pubmed/20171072

ECDYSTERONE E TESSUTO ADIPOSO

 

ecdysterone
Ecdysterone

 

Per chi ancora non lo sapesse, l’Ecdysterone è un ormone degli invertebrati (insetti ed altri piccoli animaletti) che ne controlla la crescita, lo sviluppo, la muta e la differenziazione cellulare. E’ anche un fitosterolo prodotto da diverse piante come la maca (Lepidium meyenii), la suma (Pfaffia paniculata) e la Vaga cyanotis; le presunte proprietà rinvigorenti attribuite a questi vegetali deriverebbero anche dalla presenza di questa sostanza.

L’Ecdysterone è ottenibile facilmente anche per sintesi organica partendo dal colesterolo.

I ricercatori della Rutgers University hanno pubblicato i risultati di uno studio che offre la prova che l’Ecdysterone [conosciuto anche come 20-hydroxyecdysone] impedisce ai topi di ingrassare eccessivamente. (1)

Gli stessi ricercatori hanno già pubblicato un articolo in cui hanno mostrato che l’Ecdysterone causa una repentina crescita delle cellule muscolari dei topi. (2,3) L’Ecdysterone ha anche reso gli animali più forti. i ricercatori ungheresi hanno confermato i risultati pochi mesi più tardi. Secondo il loro studio su animali, ecdysterone ha un effetto anabolizzante nelle fibre muscolari lente.

Nella loro pubblicazione successiva i ricercatori hanno esaminato se l’Ecdysterone è un composto adatto per lo sviluppo di un nuovo farmaco per l’obesità e il diabete di tipo 2.

L’esperimento si è svolto dividendo i topi in tre gruppi:

– Gruppo HF: topi alimentati con una dieta che consisteva nel 60% di grassi.
– Gruppo LF (gruppo di controllo): topi alimentati con una dieta contenente solo il 10% di grassi. I topi con questo tipo di dieta non diventano grassi.

La metà dei topi che consumavano una dieta ad alta percentuale di grassi è stata data una dose giornaliera di 10 mg di Ecdysterone per chilo di peso corporeo per via orale. L’esperimento è durato tredici settimane.

La tabella seguente mostra l’effetto sui livelli di Insulina e la concentrazione di adiponectina. L’adiponectina è una proteina che viene secreta dalle cellule adipose sane sensibili all’insulina. L’adiponectina sopprime l’appetito e aumenta l’effetto dell’insulina. Contrariamente, se la sensibilità all’insulina delle cellule diminuisce, la secrezione di adiponectina si abbassa. Sembra che l’Ecdysterone aiuti ad invertire questo processo nei topi che stanno mettendo su peso.
Mentre i topi ingrassavano, la concentrazione di glucosio nel sangue aumentava. Ciò era dovuto appunto all’insulino-resistenza. Ma se i topi grassi venivano supplementati con Ecdysterone questo non accadeva.

ecdysone-vetzucht

Questo meccanismo è probabilmente ciò che permette all’Ecdysterone di frenare l’aumento del peso corporeo. Il più pesante dei topi del gruppo di controllo era aumentato di 5,18 g, mentre i topi ingrassati pesava circa 18,8 g. E i topi ingrassati che sono stati supplementati con Ecdysterone hanno incrementato il loro peso corporeo del 18% in meno. Alla fine dell’esperimento pesavano 15,4 g. È la crescita del tessuto adiposo che l’Ecdysterone inibisce. Lo steroide ha poco effetto sulla crescita della massa magra.


ecdysone-vetzucht2
L’Ecdysterone si trova sotto forma di integratore. I produttori sembrano essere stati ispirati per lo più da studi quasi occulti del blocco orientale sugli effetti degli ecdysteroidi. Anche se vi è una crescente evidenza che gli ecdysteroidi hanno qualche effetto, non è ancora del tutto certo se gli utilizzatori di supplementi contenenti Ecdysterone che sono attualmente disponibili possano realmente notare questi effetti. Le dosi contenute sono troppo basse.

Gabriel Bellizzi

Riferimenti:

1-http://ajpendo.physiology.org/content/early/2009/01/06/ajpendo.90772.2008
2- https://www.ncbi.nlm.nih.gov/pubmed/18585021
3- https://www.ncbi.nlm.nih.gov/pubmed/18444661

INIBITORI DELLA MIOSTATINA E CLENBUTEROLO

myoclen

Negli ultimi anni si è diffuso tra i Culturisti l’uso di inibitori della Miostatina, delle sostanze che attualmente sono in fase sperimentale per il trattamento di gravi patologie quali cancro e malattie degenerative dell’apparato muscolo-scheletrico.
Esistono diversi studi svolti su animali che hanno dimostrato che gli inibitori della Miostatina possono causare una massiccia crescita della massa muscolare. Uno studio svolto su animali, pubblicato sul Muscle & Nerve, suggerisce che la combinazione di un inibitore della Miostatina con il Clenbuterolo causa una crescita muscolare ancora maggiore.(1)

Come ben sappiamo la Miostatina è una proteina che mantiene la crescita muscolare sotto controllo. Inibitori della Miostatina disattivano questa proteina e il suo effetto. Dal momento che la Miostatina è attiva praticamente solo nei muscoli e in nessun altro tessuto, gli scienziati sperarono che gli inibitori della Miostatina possano essere degli agenti anabolizzante senza i classici effetti collaterali. Solo il tempo ci potrà dire se le loro speranze sono giustificate. In due studi sempre svolti su animali il blocco della Miostatina ha ridotto la resistenza (2), e indebolito le inserzioni muscolari.(3)

I ricercatori non sono ancora d’accordo su quale sia il modo migliore per disattivare l’attività della Miostatina. Aziende farmaceutiche come la Acceleron stanno eseguendo test su sostanze che mimano la Miostatina legandosi al sito recettore neutralizzando l’azione di quest’ultima. Un altro approccio è quello di aumentare la sintesi di Follistatina. La Follistatina, della quale ho già abbondantemente parlato in passato è una proteina che disattiva la Miostatina nelle cellule muscolari. Un altro approccio si serve del sistema immunitario per questo scopo.

Ricercatori cinesi stanno osservando un altro metodo per contrastare l’azione della Miostatina Iniettando massicce quantità . Questo metodo può portare alla rottura del tessuto muscolare nel breve termine, ma nel lungo periodo il sistema immunitario inizierebbe a considerare la Miostatina come una sostanza estranea da abbattere.(4)

Lo studio che qui riporto è frutto del lavoro degli scienziati molecolari dalla University of Hawaii. Gli autori dello studio hanno utilizzato topi in cui il gene della Miostatina era stato disattivato. I muscoli di questo tipo di topi sono mostrati nella figura seguente. La foto in alto mostra i muscoli di un topo normale . I ricercatori hanno voluto capire se questi topi potessero sviluppare masse muscolari ancora maggiori, somministrando loro il Clenbuterolo. Il risultato è stato positivo.

M = topi miostatina-deficienti, W = topi normali . 0 ppm = no Clenbuterolo, 20 ppm = con Clenbuterolo.
myoclen

L’esperimento è durato solo 14 giorni. La tabella seguente mostra che durante tale periodo i topi normali hanno aumentato massa muscolare maggiormente quando sono supplementati con Clenbuterolo, ma i topi miostatina-deficienti hanno aumentato molto di più la propria massa muscolare. Questo è un dato promettente per gli atleti supplementati chimicamente. Con la diffusione nel “mercato grigio” degli inibitori della Miostatina come il YK11, l’abbinamento di queste molecole con vecchie “glorie” della Old School (come il Clenbuterolo o il Salbutamolo) potrebbero essere degli stack utilizzabili nei periodi di stacco dagli AAS e/o dai Peptidi; sempre sotto stretto controllo da parte di professionisti qualificati! .

myoclen2

Nota: la WADA sta già lavorando su un test antidoping per il rilevamento degli inibitori della Miostatina.

Gabriel Bellizzi

Riferimenti:

1- http://onlinelibrary.wiley.com/doi/10.1002/mus.21950/abstract
2- http://www.ncbi.nlm.nih.gov/pubmed/20544938
3- http://www.ncbi.nlm.nih.gov/pubmed/18162552
4- http://www.ncbi.nlm.nih.gov/pubmed/20163624