N-ACETILCISTEINA POST-ALLENAMENTO

nacstructure
N-acetilcisteina

L’N-acetilcisteina (NAC) è un forte antiossidante e diversi atleti lo assumono anche per proteggere i loro muscoli dagli effetti negativi dello sforzo estremo, come dolore e infiammazione. Ma sembra che inibisca anche il recupero muscolare, come riportato dagli scienziati dello sport della Democritus University of Thrace in Grecia. (1)

 

glutathione
Glutatione

 

Il peptide glutatione aiuta gli enzimi nelle cellule muscolari a svolgere le loro funzioni di protezione. Se si assume la N-acetilcisteina, le cellule utilizzano questo aminoacido come un precursore per la sintesi di glutatione.

Più le cellule muscolari contengono glutatione, peggiore sarà la funzione del fattore di trascrizione NF-kB. Di conseguenza, una supplementazione post-allenamento con N-acetilcisteina può indebolire le reazioni infiammatorie avviate da parte delle cellule del sistema immunitario che ripuliscono le cellule muscolari danneggiate.

Questo potenzia la prestazione o no? Questa è la domanda che i ricercatori si sono posti. Per rispondere a essa hanno eseguito un esperimento con 10 sportivi amatoriali, che hanno eseguito due sedute di allenamento estremo per i quadricipite: hanno svolto 20 serie da 15 ripetizioni su una leg-extension.

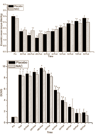
In un’occasione i soggetti dello studio hanno assunto 20 mg di N-acetilcisteina per kg di peso corporeo ogni giorno per otto giorni dopo il loro allenamento. Il dosaggio dei soggetti è stato suddiviso in tre dosi giornaliere. In un’altra occasione i soggetti hanno assunto un placebo.

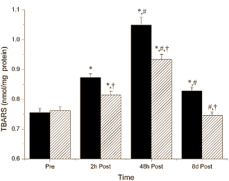
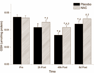
Durante gli otto giorni in cui è stato assunto il supplemento dopo la sessione di allenamento si sono notati aumenti delle concentrazioni di glutatione nei muscoli e una riduzione del TBARS – un indicatore dell’attività dei radicali liberi.

nacetylcysteinemusclerecovery2nacetylcysteinemusclerecovery

La cosa suona bene, ma nei giorni dopo l’allenamento, il recupero [resistenza] era meno buono quando i soggetti avevano assunto N-acetilcisteina. D’altra parte, la N-acetilcisteina ha ridotto il dolore muscolare [DOMS].

nacetylcysteinemusclerecovery3.gif

La N-acetilcisteina ha ridotto la secrezione delle proteine infiammatorie come il CRP, l’interleuchina 1-beta e l’interleuchina-6 [In basso a sinistra]. Inoltre, la N-acetilcisteina ha anche ridotto l’attività di segnalazione delle molecole anabolizzanti come l’Akt, l’mTOR e il MyoD nelle cellule muscolari [In basso a destra].

nacetylcysteinemusclerecovery4

I ricercatori hanno scritto che i loro risultati confermano quanto suggerito da studi precedenti e cioè che l’uso pesante di antiossidanti può avere un effetto negativo sulle prestazioni muscolare ed il recupero, probabilmente alterando vie di segnalazione che mediano l’infiammazione muscolare ed il recupero e la biogenesi mitocondriale e successivamente il metabolismo energetico.

Quindi, si potrebbe dire, che non solo “è la dose che fa il veleno” ma che ciò dipende anche da quando la “dose” la si prende…

Gabriel Bellizzi

Riferimenti:

1- http://www.ncbi.nlm.nih.gov/pubmed/23719546

OXANDROLONE: 6 SETTIMANE VS 12 SETTIMANE.

 

ox1
Oxandrolone

 

Se si somministra una dose di 20mg di Oxandrolone a uomini di età media 72 anni, come conseguenza essi vedranno migliorare forza e massa muscolare. Durante le prime sei settimane del ciclo i progressi sono particolarmente evidenti. Ma se il ciclo prosegue per altre sei settimane, i soggetti mostreranno un marcato rallentamento e stallo dei progressi in forza e massa muscolare. I ricercatori della University of Southern California hanno pubblicato un articolo sul tema nel 2005. (1)

oxandrin

I ricercatori hanno somministrato ad un gruppo di circa 20 uomini una compressa di Oxandrin due volte al giorno. Ogni compressa contiene 10mg dello steroide anabolizzante. Un gruppo di controllo di circa 10 uomini sono stati trattati con un placebo. Gli uomini dello studio non si sono in alcun modo allenati.

In un precedente esperimento, i ricercatori avevano somministrato ad uomini più anziani Oxandrolone per 12 settimane scoprendo, ovviamente, che dopo che il ciclo ebbe termine i soggetti avevano perso tutta la massa muscolare che avevano guadagnato.(2) Anche in questo studio i soggetti del test non si erano allenati, il che probabilmente spiega almeno in parte perché gli uomini hanno perso tutta la massa muscolare e la forza che avevano guadagnato.

I ricercatori temono che i loro risultati significhino che gli uomini che vogliono mantenere la loro massa muscolare sul lungo termine debbano usare lo steroide continuamente. Ciò, viste le caratteristiche molecolari, non è così una buona idea. I ricercatori hanno notato che l’Oxandrolone, che è stato considerato sicuro, in realtà aveva aumentato i livelli di colesterolo degli uomini e aveva causato un lieve aumento della probabilità di sviluppare cancro alla prostata.

Svolgere allenamenti di Forza è un modo più sicuro per costruire muscolo, così i ricercatori hanno concluso. Forse l’Oxandrolone può svolgere un ruolo, ma in cicli più brevi e quindi più sicuri. Ma questi brevi cicli funzionano? Questa è la domanda che questo studio si proponeva di rispondere.

La risposta è si’. La tabella seguente riassume i cambiamenti di forza e composizione corporea che i ricercatori hanno registrato nei loro soggetti dopo 6 e 12 settimane. C’è un evidente guadagno dopo 6 settimane. Ma un altre 6 settimane di supplementazione portano quasi nessun guadagno addizionale.

ox2.png

La figura seguente mostra l’effetto sulla massa magra: peso corporeo meno massa grassa. Barra Nera: guadagno dopo 6 settimane; Barra Bianca: guadagno dopo 12 settimane.

ox3

La figura seguente mostra l’effetto sulla quantità del peso che i soggetti del test avrebbero potuto tollerare per 1 reps su leg-press e leg-curl.

ox4

La scoperta più importante di questo studio è che oltre il 90% dei guadagni di forza totale e di massa magra sono stati raggiunti in 6 settimane.

Che la maggior parte dei guadagni vengono ottenuti durante le prime sei settimane di un ciclo non era una nuova scoperta per i ricercatori. Molti medici che seguono gli utilizzatori di steroidi raccomandano cicli di breve durata. Dopo 4-6 settimane non si ottengono aumenti marcati del muscolo, a meno di non aumentare la dose somministrata. Se continuate ad usarli, tutto ciò che otterrete è uno sforzo supplementare organico. La cosa migliore potrebbe essere quella di interrompere il ciclo, magari con un bridge, o lasciando che il vostro corpo recuperi facendo in modo di conservare il più possibile della massa muscolare guadagnata.

Gabriel Bellizzi

Riferimenti:

1- http://www.ncbi.nlm.nih.gov/pubmed/16424293
2- http://www.ncbi.nlm.nih.gov/pubmed/14578370

Allenamento e dieta nelle atlete: da dove partire?

wobb

L’allenamento femminile nel BodyBuilding è tutt’oggi un’incognita dalle più sfaccettate sfumature che spaziano tra l’ibridazione su modelli allenanti maschili diluiti, a infiniti circuiti cardio intervallati da una sala pesi vissuta ai limiti del ludico. Come uscirne fuori da questo “loop” infinito caratterizzato da svariate teorie e da un metro di misura troppo standardizzato? Beh, diciamo innanzi tutto che una risposta definitiva ovviamente non c’è, ma esiste una risposta (o meglio una serie di risposte) che possono indirizzare le atlete e/o i Preparatori verso soluzioni più pratiche e funzionali. Come accaduto spesso e volentieri, i lavori di Lyle McDonald mi sono stati di grande aiuto per fare necessaria chiarezza.

Innanzi tutto, bisogna sempre rammentare che una donna è una donna, non un uomo con livelli di Testosterone bassi…di conseguenza l’atleta di sesso femminile va “gestito” come tale. Le variazioni ormonali nella donna costituiscono il cardine da comprendere e gestire per strutturare allenamenti e diete consone al soggetto. Ed ecco che il fattore principale da tenere in considerazione è il ciclo mestruale con le sue marcate variazioni ormonali.

Il ciclo mestruale dura solitamente 28 giorni anche se c’è una variabilità e lo possiamo dividere in due grandi fasi di 14 giorni, fase Follicolare e fase Luteale.

I due ormoni principali che caratterizzano le due fasi sono gli Estrogeni e il Progesterone. Quando si parla di estrogeni ci si riferisce soprattutto all’Estradiolo.

Cosa caratterizza le due fasi?

1° fase: La fase follicolare (primi 14 giorni) è caratterizzata soprattutto dagli Estrogeni

2° fase: La fase luteale (gli ultimi 14 giorni e sopratutto l’ultima settimana) dal Progesterone.

 

GrafoOrmoni.jpg
Curve ormonali della fase Follicolare (a sinistra) e Luteale (a destra)  

 

Contrariamente a quanto si pensa, gli estrogeni sono in realtà gli ormoni che hanno l’effetto più favorevole nelle donne. Essi migliorano la sensibilità insulinica, abbassano l’appetito, aumentano la produzione di enzimi che utilizzano gli acidi grassi nei muscoli.

progesterone

Il Progesterone è quello che crea i veri problemi: aumenta marcatamente la fame, tanto che l’ultima settimana del ciclo è caratterizzata dalla maggior voglia di zuccheri e cibi grassi. Il Progesterone causa un pò di insulino resistenza, si lega ai recettori androgeni bloccandoli e impedendo il legame recettoriale con il testosterone, diminuisce la sintesi proteica muscolare e ne incrementa il catabolismo. In definitiva, nella fase follicolare avvengono gli adattamenti positivi, mentre in quella luteale i negativi.

Nelle donne, contrariamente a quanto avviene negli uomini, ogni settimana ha una situazione ormonale totalmente diversa. Ciò ha un impatto considerevole sugli allenamenti: nella fase luteale la forza cala drasticamente, la coordinazione diminuisce, e anche le capacità cognitive si abbassano.

Se si allena una donna bisogna tenere conto di ciò, e inserire esercizi di forza e coordinazione nella fase luteale è un’impresa alquanto ardua.

Ovviamente, se all’atleta in questione viene somministrato Testosterone esogeno, tutto questo non conta più niente. E le atlete si possono allenare senza tenere conto di quanto detto similmente agli uomini.

Nella fase follicolare (la prima fase) la fame è più bassa e la sensibilità insulinica è migliore. Questo periodo è quindi adatto per avere un’alimentazione alta in carboidrati e eseguire allenamenti più duri.

Nella fase luteale (la seconda fase), a causa di una fame maggiore e una peggiore sensibilità insulinica è consigliabile tenere la quota glucidica più basse (a causa della resistenza insulinica indotta dal Progesterone si incorrerà in grossi sbalzi glicemici e di fame) e eseguire allenamenti più leggeri.

Ricordiamoci che il ciclo in se né limita né penalizza il dimagrimento. Bisogna semplicemente tenere in considerazione le sue due fasi e organizzare dieta e allenamento a seconda della fase in cui ci si trova.

E’ inoltre consigliabile non far iniziare una restrizione calorica ad una donna nella parte finale della fase luteale quando la fame è al massimo!

Le donne dovrebbero prestare attenzione anche quando devono misurare peso e circonferenze (o la massa grassa) perché, dal momento che durante le varie settimane del ciclo questi fattori cambiano a causa di variazioni di ritenzione idrica, paragonare due settimane diverse del ciclo per analizzare i progressi può essere fuorviante e far credere che un programma non stia funzionando quando, in realtà, non è così. I paragoni tra le misurazioni andrebbero fatti sempre nelle stesse settimane del ciclo (ad esempio 1° settimana con 1° settimana, 2° con 2° ecc…) 

Quindi, ricapitolando:

-1° Fase (fase follicolare): allenamenti intensi e dieta con alto contenuto glucidico, moderato contenuto proteico e basso contenuto lipidico.

-2° Fase (fase luteale): allenamenti leggeri e dieta con alto contenuto proteico, moderato contenuto lipidico e basso contenuto glucidico.

E il fattore contraccettivi?

perche_la_pillola_anticoncezionale_fa_ingrassare

Esistono diverse varianti di contraccettivi tra pillole, anelli, iniezioni, cerotti ecc…

La maggior parte utilizzano la stessa variante sintetica di Estrogeni (una forma dell’Estradiolo) ma per quanto riguarda il Progesterone esistono circa 8 varianti.

Queste varianti possono essere divisi in 4 generazioni e ognuno influenza cose come fame, spesa energetica, sensibilità insulinica, bloccaggio dei recettori androgeni in maniera diversa.

In generale non possiamo dire che i contraccettivi causano direttamente un facile incremento del grasso, anche se influenzano davvero tante cose è possono essere veramente negativi.

L’effetto è molto marcato a seconda del farmaco quelli più vecchi usano dosi maggiori, i più nuovi dosi minori con Progesterone di qualità migliore.

Quello che però possiamo dire è che molti contraccettivi orali causano rapidamente una forte ritenzione idrica, e quindi aumento di peso.

Spesso accade che le donne che usano contraccettivi subiscono aumenti di fame e voglie fortissime ed ingrassano perché non rispettano più la dieta, incolpando poi direttamente il farmaco.

In generale gli aumenti di peso usando i contraccettivi sono dovuti ad effetti indiretti come quelli appena indicati, che non hanno motivi farmacologici specifici che agiscono sull’accumulo diretto del grasso.

Inoltre, giova ricordare che ogni atleta può presentare diversi profili ormonali di base.

Per esempio, in caso di PCOS (Poly-Cystic Ovary Syndrome) la donna presenta 2-3 volte più Testosterone del normale.

Una donna con il PCOS ha comunque meno Testosterone di un uomo con bassi livelli di Testosterone, ma le donne sono più sensibili degli uomini al Testosterone ed anche piccoli incrementi dell’androgeno portano grandi differenze.

Alcuni rischi nei quali possono incorrere le donne con PCOS sono il diabete, la perdita di capelli, l’infertilità, l’aumento di peli corporei, pelle grassa e molti altri effetti che di solito sono collegati ad un eccesso dei livelli di Testosterone.

Le donne con PCOS tendono ad essere fisicamente e psicologicamente più prestative in attività quali PowerLifting e BodyBuilding.

Purtroppo, nella società odierna si consuma troppo cibo e si svolge poca attività fisica, quindi in caso di PCOS il soggetto si presenta maggiormente predisposto al diabete.  

Ma se questi soggetti si allenano, seguono una dieta corretta e mangiano abbastanza proteine possono esprimere un grosso potenziale. Eseguono allenamenti pesanti, aumentano di massa magra più facilmente e si definiscono con meno difficoltà .

Gabriel Bellizzi

Approfondimenti:

 

FRUTTOSIO E CORTISOLO

 

fructosestructure
Fruttosio

 

Un mancato controllo dell’assunzione di fruttosio nella dieta non solo porta ad un graduale aumento di peso, aumenta anche l’attività del Cortisolo. Biochimici serbi hanno dimostrato questo effetto su ratti ai quali era stata data da bere acqua addizionata a fruttosio. (1)

Quasi tutti i prodotti alimentari trasformati che consumiamo contengono quantità crescenti di fruttosio sotto forma di zucchero, sciroppo di glucosio-fruttosio o succo di frutta. Questa dieta a base di fruttosio che l’industria alimentare ci sta servendo contribuisce a renderci grassi. Non solo perché contiene grandi quantità di Kcal nascoste, ma anche perché una dieta ad alto contenuto di fruttosio altera il nostro appetito e il nostro metabolismo. (2)

I biochimici presso l’Università di Belgrado, hanno pubblicato sul Journal of Nutritional Biochemistry i risultati di uno studio nel quale hanno esaminato un altro aspetto potenzialmente “ingrassante” del fruttosio: l’effetto del cortisolo nelle cellule adipose.

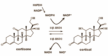
In tutto il mondo ci sono diversi laboratori che stanno lavorando sullo sviluppo di aiuti dimagranti che disattivano l’azione del cortisolo nei depositi adiposi bloccando l’enzima 11-beta-HSD-1. Questo è l’enzima che converte l’ormone inattivo cortisone nell’ormone attivo cortisolo. Come ben sappiamo, Il cortisolo è l’ ormone dello stress che inibisce la crescita muscolare, ma stimola la crescita delle cellule adipose.

cortisol11bhsd1

I ricercatori serbi hanno studiato due gruppi di ratti di laboratorio maschi. Ad un gruppo è stata data da bere acqua potabile ordinaria [controllo]; all’altro gruppo è stata data acqua potabile contenente il 10% di fruttosio [fruttosio].

Dopo nove settimane, i topi del gruppo “fruttosio” aveva assunto più fruttosio rispetto agli animali del gruppo di controllo. I topi del gruppo “fruttosio” avevano un po’ più di grasso addominale rispetto ai ratti del gruppo di controllo, ma la differenza non era statisticamente significativa.

La quantità di acidi grassi liberi [NEFA] nel sangue dei ratti del gruppo “fruttosio” era significativamente superiore rispetto ai ratti del gruppo di controllo. Se si utilizzano gli acidi grassi liberi come fonte energetica non c’è nessun problema. Se non lo si fa, un’alta concentrazione di acidi grassi liberi nel sangue è disastrosa nel lungo periodo. Gli acidi grassi si accumulano nei muscoli e negli organi e finiscono per sabotare il loro funzionamento.

La dieta con fruttosio addizionale non ha aumentato il numero di recettori del cortisolo [GR] nelle cellule adipose, ma i ricercatori hanno trovato un numero più elevato dei recettori del cortisolo nei nuclei delle cellule. Questi sono stati probabilmente recettori attivati dal cortisolo, che successivamente trasmette istruzioni al DNA nelle cellule adipose.

1-Testosterone.svg.png

Nelle cellule adipose i ricercatori hanno scoperto concentrazioni più alte di 11 beta-HSD-1 e di H6PDH. L’H6PDH è un enzima che fornisce energia all’11-beta-HSD-1, in modo che possa svolgere la sua azione.

I ricercatori non sono stati in grado di confermare la teoria secondo la quale l’11-beta-HSD-1 e l’H6PDH bloccanti sono un aiuto ai fini del dimagrimento. Essi non hanno osservato un significativo aumento del grasso addominale nei loro animali da laboratorio, ma il loro studio suggerisce che una dieta a basso contenuto di fruttosio è interessante per tutti coloro che vogliono ridurre i loro livelli di cortisolo.

Gabriel Bellizzi

Riferimenti:

1- http://dx.doi.org/10.1016/j.jnutbio.2012.09.002
2- http://www.ncbi.nlm.nih.gov/pubmed/17326204

Nandrolone Decanoato e recupero ormonale

nandrolone

Per gli atleti supplementati chimicamente che hanno assunto Nandrolone Decanoato, ristabilire il loro equilibrio ormonale può richiedere più tempo di quanto ci si aspetterebbe. Ricercatori svedesi del Karolinska Institutet hanno scoperto questo quando hanno monitorato gli utilizzatori per un certo numero di mesi dopo che avevano svolto un ciclo contenente il suddetto AAS. (1)

I ricercatori hanno trovato la maggior parte dei loro soggetti di studio attraverso l’Anti-Doping Hot-Line, un servizio telefonico gratuito in Svezia per gli utilizzatori di steroidi. I ricercatori hanno reclutato un totale di 21 uomini che avevano assunto Nandrolone Decanoato, e li hanno monitorati dopo che avevano completato un ciclo. I ricercatori hanno scritto che tutti i soggetti sottoposti al test avevano “un genuino desiderio di abbandonare l’uso di steroidi anabolizzanti”.

norandrosteron
Norandrosterone

Il Nandrolone Decanoato è conosciuto per essere l’AAS con il più lungo tempo di rilevabilità dopo il suo utilizzo. Tutte le tracce di Nandrolone scompaiono dal corpo entro 4-5 settimane dopo l’ultima iniezione, ma i suoi metaboliti, 19-norandrosterone e 19-noreticholanolone, continuano a circolare per molto, molto più tempo. Nel loro articolo, apparso nel Journal of Steroid Biochemistry and Molecular Biology, i ricercatori svedesi si sono chiesti se questo fosse il motivo per cui gli utilizzatori di AAS ci mettessero più tempo per recuperare dai cicli.

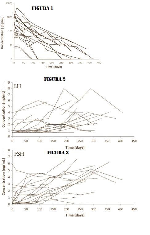
La figura 1 mostra la concentrazione di 19-norandrosterone nelle urine degli atleti. Dopo sei mesi, l’80% degli atleti risultò ancora positivo in seguito a test antidoping. Dopo i sei mesi, i ricercatori hanno perso le tracce della maggior parte dei loro soggetti. Dopo un anno, i ricercatori avevano dati solo su quattro dei soggetti di prova, ma di quelli metà ancora risultava positiva. Se si svolge uno sport in cui i controlli antidoping sono una costante, è meglio non usare Nandrolone Decanoato.

 

decac.jpg

Le figure 2 e 3 mostrano le concentrazioni di LH e FSH nel sangue degli atleti. Questi ormoni stimolano la produzione di Testosterone nei testicoli. Durante i primi quattro mesi c’era una correlazione statistica tra la concentrazione di questi ormoni messaggeri nel sangue e quella del Norandrosterone nelle urine. Tra l’altro, si vede anche che la concentrazione di questi ormoni ha continuato a crescere per quasi un anno dopo il termine dell’assunzione di AAS. Ciò significa che il corpo si sta riprendendo per tutto questo periodo.

La ricerca non menziona la terapia post-ciclo (PCT), ma leggendo tra le righe è possibile distinguere i soggetti che non hanno assunto composti anti-estrogeni dopo la cessazione dell’uso di AAS.

Gabriel Bellizzi

Riferimenti:

1- http://www.ncbi.nlm.nih.gov/pubmed/21884791

AAS E IPOGONADISMO INDOTTO PERMANENTE

Gli utilizzatori di steroidi nella media potrebbero aver alterato l’equilibrio ormonale e il recupero di quest’ultimo dopo pochi anni, almeno stando a quanto affermato da endocrinologi della Copenhagen University Hospital. Lo studio solleva interrogativi sul fatto che la terapia post ciclo [PCT] possa non sempre essere un intervento sufficiente. (1)

I ricercatori danesi hanno preso in esame 37 culturisti che stavano assumendo steroidi, 33 culturisti che erano puliti da 2-3 anni, e altri 30 culturisti che non avevano mai preso steroidi.

I partecipanti erano di età compresa tra i 18 ed i 50 anni e hanno svolto 6-9 ore di allenamento con i pesi a settimana.

Gli utilizzatori di steroidi anabolizzanti attivi stavano assumendo farmaci da un totale di 142 settimane; gli ex-utilizzatori avevano assunto steroidi per 112 settimane. La metà degli utilizzatori ex-utilizzatori avevano assunto hCG dopo un ciclo di steroidi. Circa un terzo degli utilizzatori ed ex-utilizzatori avevano usato anti-estrogeni durante la terapia post ciclo.
cyclingshutsdownhhtaxis6
La concentrazione totale di Testosterone era significativamente più bassa negli ex-utilizzatori rispetto al gruppo di controllo dei culturisti che non avevano mai usato steroidi. Inoltre, gli ex-utilizzatori avevano testicoli significativamente più piccoli rispetto ai soggetti che non avevano mai usato steroidi.

cyclingshutsdownhhtaxis

La concentrazione di Testosterone libero è risultata significativamente più bassa negli ex-utilizzatori rispetto al gruppo di controllo, come mostrato nella figura.

cyclingshutsdownhhtaxis3

La concentrazione di LH e FSH, gli ormoni che stimolano i testicoli a produrre Testosterone, era esattamente la stessa negli ex-utilizzatori come nei soggetti del gruppo di controllo che non avevano mai fatto uso di AAS. È pertanto improbabile che il danno permanente causato dall’uso di AAS si verifichi nelle ghiandole del cervello che controllano i testicoli attraverso FSH e LH.

cyclingshutsdownhhtaxis2

Le dimensioni dei testicoli degli utilizzatori ed ex-utilizzatori era maggiormente inferiori se il periodo sotto steroidi era più, il che suggerisce che l’uso di AAS può provocare danni permanenti ai testicoli.

cyclingshutsdownhhtaxis4

Depressione, disfunzione erettile e diminuzione della libido erano più comuni negli ex-utilizzatori rispetto ai soggetti che non avevano mai usato AAS.

cyclingshutsdownhhtaxis5

I ricercatori danesi scrivono che il presente studio ha dimostrato che un’alta percentuale di ex-utilizzatori/abusatori di AAS presentano ipogonadismo indotto diversi anni dopo la cessazione dell’utilizzo degli steroidi anabolizzanti. Gli attuali abusatori di AAS hanno mostrato anomalie biochimiche e spermatogenesi alterata, che erano associate con l’aumento della durata dell’utilizzo di AAS.

I ricercatori concludono dicendo che l’ipogonadismo indotto dall’abuso di AAS può diventare un problema di salute pubblica per quanto riguarda l’infertilità maschile e l’ipogonadismo.

Lo studio non è pienamente soddisfacente in quanto a risultati semplicemente perché non prende in esame tutte le variabili che gli atleti applicano. Detto ciò, il danno permanente dell’asse ormonale è una possibilità da prendere in considerazione quando si decide di intraprendere certe strade.

Gabriel Bellizzi

Riferimenti:

1- http://dx.doi.org/10.1371/10.1371/journal.pone.0161208

Cardio in “Bulk”

Cardio-and-bodybuilding.jpg

Tra i numerosi dibattiti senza fine nel campo del Bodybuilding,   la questione dell’allenamento aerobico/cardio quando l’obiettivo esplicito è il massimo guadagno di massa muscolare è al quanto critica. E come di solito avviene, ci sono una varietà di punti di vista estremi in questo dibattito.

Ad un estremo vi è l’idea che gli atleti debbano svolgere un’ora di cardio a bassa intensità tutti i giorni durante la loro fase ipercalorica. Questo sistema è di solito proposto come un modo per controllare l’eccessivo guadagno di massa grassa durante il periodo di sovralimentazione necessaria per massimizzare il guadagno muscolare. All’altro estremo, invece, vi è l’idea che qualsiasi attività al di fuori del sollevamento pesi, e soprattutto cardio, non farà altro che inficiare i guadagni di massa muscolare (e forza).

Come al solito, credo che la verità stia nel mezzo e mi piacerebbe sottolineare alcuni dei vari pro e contro del mantenere una qualche forma di allenamento cardio nel programma generale quando l’obiettivo esplicito è l’aumento di massa muscolare. Come al solito, se l’allenamento cardio è buono, cattivo o neutro dipende dalla situazione nell’insieme e a come viene eseguito.

Per chiarire il contesto, il principale tipo di attività cardio che qui prendo in esame è quella a bassa o moderata intensità. Per la maggior parte, a meno che non si tratti di un atleta che deve eseguire sessioni di interval training per il suo sport, io non consiglio l’interval training, quando gli obiettivi sono i massimi guadagni di massa muscolare.

Sì, si può sempre trovare qualcuno che si è trovato bene con l’HIIT in una fase “Bulk” (e ci sono state diverse teorie che avvaloravano come lo sprint potrebbe aumentare i guadagni muscolari), ma per la maggior parte dei soggetti non credo che allenamenti cardio ad alta intensità di qualsiasi tipo (HIIT o altro) siano ottimali quando l’obiettivo è il massimo guadagno muscolare. Così in questa sede ci si concentrerà sul cardio a bassa o moderata intensità.

Cominciamo con i vantaggi di un allenamento Cardio durante la fase “Bulk”.

Tra i pro del mantenere una certa quantità di allenamento cardio durante una fase di massa, troviamo i seguenti:

·         Recupero migliorato

·         Appetito

·         Il mantenimento di una certa capacità di condizionamento e di lavoro (resistenza)

·         Migliorata ripartizione Calorica

·         Mantiene le vie di ossidazione dei grassi attive

Diamo un’occhiata a ciascuno di questi possibili vantaggi.

·         Recupero migliorato

Fatto a bassa o a moderata intensità (Tornerò a specificarlo alla fine di questo articolo) l’allenamento cardiovascolare può agire come una forma di recupero attivo. Pompando il sangue attraverso i muscoli allenati, il recupero è spesso accelerato (e per molti, il recupero attivo aiuta effettivamente più del semplice recupero passivo: non fare nulla).

Vorrei far notare che la maggior parte delle forme di allenamento cardio tendono ad interessare maggiormente la parte bassa del corpo, e quindi la maggior parte di questo effetto (recupero attivo) interesserà la parte inferiore del corpo. L’atleta che vuole ottenere un effetto simile per la parte superiore del corpo dovrebbe effettuare sessioni cardio su vogatore o una macchina che coinvolge anche la parte superiore del corpo in una certa misura (vedi Ellittica).

Infine, vale la pena notare che, sorseggiando una bevanda composta da carboidrati / proteine (all’incirca 30 grammi di carboidrati e 15 grammi di proteine per ora), l’aumento del flusso di sangue ai muscoli che lavorano migliorerà il trasporto dei nutrienti; questo dovrebbe anche aiutare il recupero muscolare generale.

·         Appetito

L’impatto dell’esercizio fisico sull’appetito può essere estremamente variabile. Per alcune persone, l’attività, e questo è particolarmente vero per le attività ad alta intensità, esso è in grado di smorzare l’appetito; per altri può stimolarlo. Nel contesto di una fase “Bulk”, gli atleti che hanno difficoltà a consumare calorie sufficienti spesso inseriscono una moderata quantità di cardio ottenendo un miglioramento in termini di appetito.

·         Mantenimento della capacità di condizionamento/lavoro (resistenza)

A seconda delle specificità dell’allenamento, non è raro per i sollevatori e atleti di perdere molto del loro condizionamento metabolico quando si trovano in fasi di puro guadagno di massa muscolare (in cui tutto quello che stanno facendo è allenamenti con i pesi). Basse ripetizioni / lunghe pause nell’allenamento tendono ad avere il maggiore impatto nel far perdere grandi quantità di condizionamento e capacità di lavoro in questo tipo di fase.

Per gli atleti questo è chiaramente dannoso in quanto significa dover ricominciare le cose di nuovo da zero. Anche per gli atleti di forza (ad esempio Bodybuilder), perdere la capacità di lavoro può interferire negativamente sul recupero complessivo sia durante un allenamento che tra gli allenamenti.

La cosa buona è che si necessita di molto meno allenamento per mantenere un po’ di condizionamento di quanto non ne serva per sviluppare e mantenere almeno una certa quantità di allenamento cardio nel programma nella sua totalità…Quindi “ricominciare da 0” non è funzionale…

·         Migliorata ripartizione Calorica

Come potenziale beneficio aggiuntivo, l’attività aerobica potrebbe potenzialmente migliorare i risultati nel corso di una fase di massa in un altro modo che ha a che fare con il partizionamento calorico complessivo. Come probabilmente saprete, la ripartizione calorica ha a che fare con l’indirizzamento delle calorie nel miocita o nell’adipocita, sia quando ci si sovra-alimenta che quando ci si sotto-alimenta.

Probabilmente il più potente strumento di partizionamento che abbiamo è l’allenamento. L’attività regolare aumenta l’assorbimento dei nutrienti nel muscolo scheletrico; in pratica ciò significa meno calorie in eccesso stoccate altrove (vedi cellule adipose). Mentre è discutibile quanto possa incidere su questo un basso o moderato allenamento cardio, di certo non guasterà in tal senso se sarà fatto in quantità ragionevoli. E può aiutare nel lungo periodo.

·         Mantiene le vie di ossidazione dei grassi attive

Infine, c’è la questione del mantenimento di un buon metabolismo lipidico. Francamente, io non sono estremamente convinto che fare cardio in ipercalorica mantenga effettivamente un atleta magro; in particolare dato che è relativamente facile consumare più calorie e sopraffare qualsiasi lieve consumo calorico dato dal tipo di cardio svolto. Francamente, ho il sospetto che sarebbe più facile mantenere il surplus calorico sotto un maggiore controllo (o migliorare la sua assunzione in base all’allenamento).

La maggior parte dei soggetti otterrà un più rapido tasso di crescita muscolare, evitando che si verifichi un eccessivo guadagno di grasso; ciò richiede fondamentalmente una dieta controllata.  

Ora, tangenzialmente (e questo è un argomento che non posso discutere pienamente qui), credo che una delle ragioni per cui il cardio è demonizzato in termini di perdita di massa muscolare in una dieta è che la gente esegue il cardio da una condizione di totale assenza a grandi maratone sul tapis roulant; questo è spesso accompagnato da una massiccia riduzione delle calorie e ho il sospetto che è questa combinazione che tende a causare la perdita di massa muscolare.

Questo è un problema in quanto durante la sovralimentazione, che è condizione generale necessaria per generare i massimi guadagni di massa muscolare, il corpo spesso perde parte della sua capacità di usare il grasso come combustibile e questo può richiedere un paio di settimane affinché si ristabilisca pienamente quando le calorie vengono limitate (ho il sospetto che questo spiega alcune degli strani ritardi che sembrano verificarsi nella vera perdita di grasso quando la gente inizia nuovamente una  dieta ipocalorica).

E questo sembra essere ancora più evidente se il soggetto in questione non ha eseguito allenamenti cardio durante la fase di “Bulk”. Mantenendo una certa quantità di cardio durante la fase di massa, almeno qualche capacità di usare efficacemente il grasso come substrato energetico viene mantenuta efficiente. Quando la fase di dieta ipocalorica inizia, il corpo sarà maggiormente e prontamente indirizzato all’utilizzo del grasso come fonte energetica.

 Quali sono invece gli svantaggi del cardio durante una fase “Bulk”?

Dopo aver esaminato i vantaggi nel mantenere almeno un medio/basso allenamento cardio durante una fase di massa, ora vorrei sottolineare i due principali svantaggi, o almeno i due svantaggi che solitamente emergono:

·         Brucia calorie che potrebbero essere indirizzate verso la crescita muscolare

·         Possibilità di intralcio del recupero e sovrallenamento

Diamo un’occhiata a questi possibili svantaggi.

·         Brucia calorie che potrebbero essere indirizzate verso la crescita muscolare

Questo tende ad essere una delle principali preoccupazioni di coloro i quali propendono per il ‘no cardio mentre il fine è aumentare la massa’, e cioè la preoccupazione che le calorie che potrebbero essere indirizzate al fine della crescita muscolare vangano bruciate dall’allenamento cardio. E certamente, portato agli estremi della pratica, c’è molto di vero in questo.

Come ho già detto in precedenza, il consumo calorico con un allenamento cardio a bassa o moderata intensità non è molto elevato a meno che qualcuno non sia estremamente ben allenato (e può consumare enormi quantità di calorie anche a bassa intensità). Le poche centinaia di calorie bruciate durante l’attività cardio bassa/moderata è abbastanza facile da sopperire giorno per giorno e non sono sicuro che questo sia un problema enorme in termini di intralcio nella crescita muscolare.

L’unica eccezione a questo sono i soggetti perennemente magri (ad esempio il classico ‘hardgainer’ o il tipo ectomorfo). Queste sono le persone che hanno abbastanza difficoltà a mettere su peso, in primo luogo, per una vasta gamma di motivi. Dal momento che hanno difficoltà a mettere su massa magra e raramente tendono a “sporcarsi”, in primo luogo, questi soggetti probabilmente dovrebbero evitare qualsiasi allenamento cardio in modo che tutte le loro energie e l’assunzione di cibo siano indirizzate verso la crescita muscolare.  

Naturalmente, l’eccezione a questa eccezione si riferisce alla questione appetito che ho citato più sopra. Il classico tipo ectomorfo / hardgainer ha spesso difficoltà a mangiare sufficienti calorie (uno dei motivi per cui tendono a rimanere così magri è che il loro appetito tende a ridursi abbastanza facilmente quando sono in sovralimentazione). In tale situazione, se l’esecuzione di alcuni allenamenti cardio nei giorni off li aiuta a mangiare di più, allora potrebbe essere il caso di inserirli.

·         Possibilità di intralcio del recupero e sovrallenamento

L’ultimo punto racchiude in sé due questioni estremamente legate una all’altra. La preoccupazione di fondo è che il tentativo di combinare l’allenamento intenso in sala pesi con l’allenamento cardio metterà in pericolo i risultati ricercati con l’allenamento in sala pesi. E anche qui c’è sicuramente del vero.

Diversi studi in acuto (e l’esperienza pratica) hanno suggerito che la combinazione di un allenamento cardiovascolare e un allenamento incentrato sulla forza tende a causare un’interferenza in termini di risultati. È interessante notare che (e questo va oltre lo scopo di questo articolo), mentre l’allenamento cardiovascolare tende a mettere in pericolo le prestazioni di forza, al contrario, spesso non è stato visto; allenamenti per la forza pesanti non sembrano mettere in pericolo gli adattamenti di un allenamento di resistenza.

Ora uno dei fattori da tenere a mente è che la maggior parte degli studi che esaminano questo argomento sono stati svolti utilizzando alcuni tipi di allenamenti cardio ad alta intensità; erano spesso esaminati tipi di allenamenti legati al football americano o altri sport di questa natura. Il che significa che non hanno molta rilevanza per ciò che viene discusso in questo articolo. L’intensità è un fattore chiave, per ragioni che vanno oltre la portata di questo articolo. Quando l’intensità è mantenuta bassa e il volume e la frequenza moderate, il potenziale impatto negativo dell’allenamento cardiovascolare sugli adattamenti in sala pesi è massicciamente ridotto.

In tal senso, vorrei ancora far notare che quantità eccessive di cardio possono interferire con il recupero, sia per via sistemica (tutto il corpo) che localmente (specifici gruppi muscolari). Le gambe sono il distretto che più di tutti può subire tale intralcio poiché la maggior parte degli allenamenti cardio interessano tale area del corpo. Anche quantità eccessive di cardio a bassa intensità possono interferire con il recupero complessivo delle gambe e in questo caso sono consigliate le varianti che interessano maggiormente altri distretti corporei (vedi ad esempio il vogatore).   

Quindi il Cardio in fase “Bulk”…sì o no?

A mio parere, con la potenziale eccezione dei soggetti estremamente magri / hardgainer (che potrebbero comunque ancora beneficiare della stimolazione dell’appetito), non vi sono altri aspetti svantaggi reali per cui non si debba inserire un allenamento cardio a bassa/media intensità in una fase “Bulk”.  

Ho semplicemente l’impressione che la maggior parte dei problemi con l’allenamento cardio cominciano a entrare in gioco quando l’intensità o il volume diventano eccessivi. Fino a quando questi fattori sono tenuti moderati e l’intensità è tenuta sotto controllo, credo che la maggior parte delle preoccupazioni sono per lo più inutili. 

Quindi come definire un allenamento cardio moderato, ragionevole, ecc?

Come minimo, 20-30 minuti di cardio eseguiti tre volte alla settimana permette il permanere di una forma cardiovascolare di base, di bruciare qualche caloria, di attuare un recupero attivo, e aiuta a mantenere il metabolismo lipidico attivo in modo che il passaggio ad una dieta ipocalorica è un po’ più semplice; tutte le cose buone che ho citato. Così facendo, seguendo questi accorgimenti, si può eseguire un allenamento cardio senza avere alcun impatto concreto  sui progressi compiuti in sala pesi.  

Una frequenza più elevata può essere utilizzata, ma non avrebbe molto senso per più di cinque volte a settimana a meno che l’intensità non venga mantenuta molto bassa (ad esempio, si può fare una camminata veloce al giorno se lo si desidera). Andando più a lungo rispetto al minimo di 20-30 minuti si bruciano un po’ di calorie, ma ci sono dei limiti alla disponibilità di tempo (e la gente inizia ad annoiarsi) e potrei impostare un limite ragionevole di 40 minuti di cardio a moderata intensità al massimo; se l’intensità è mantenuta fino in fondo (ancora una volta, pensiamo al camminare a ritmo sostenuto), un’ora è accettabile.

In termini di intensità, credo che mantenere una bassa o moderata intensità sia la cosa migliore. Più in particolare, un’intensità massima del 70% della frequenza cardiaca massima (140 battiti al minuto per una persona con un massimo di 200 battiti) o ancora più basso dovrebbe fare raggiungere alcuni benefici senza intaccare il recupero o la crescita.

Come ho fatto riferimento nella prima parte di questo articolo, è qualcosa di molto vicino a una tradizione del bodybuilding quella di camminare sul tapis roulant per un’ora ogni giorno e, mentre penso che la quantità è eccessiva per la maggior parte dei soggetti, l’intensità è sicuramente bassa con quel tipo di attività. Ciò che i bodybuilder hanno fatto con successo per tanti anni sembrerebbe essere una lezione importante, soprattutto per quelle persone che pensano che l’unico tipo di lavoro metabolico vale qualcosa senza l’alta intensità.

Un ultimo problema da esaminare è quello della tempistica,  e cioè quando eseguire il cardio. In un universo ideale, qualsiasi allenamento cardio dovrebbe essere fatto completamente separato dall’ allenamento con i pesi. Il Cardio al mattino (a digiuno o meno) e i pesi alla sera probabilmente sarebbe l’ideale, ma non può sempre essere realisticamente pianificato quando le persone lavorano a tempo pieno.

Un approccio molto comune è quello di eseguire un certo tipo di allenamento cardio nei giorni off dalla sala pesi e questo è certamente praticabile se la programmazione lo permette. Naturalmente, non tutti possono farlo in palestra tutti i giorni o trovare il tempo per farlo all’aperto o in casa. Anche il recarsi in palestra per una breve sessione di 20-30 minuti, renderebbe il viaggio in palestra poco funzionale (il tempo di guida può richiedere più tempo della sessione in se).

Questo solleva quindi la questione se l’allenamento cardio dovrebbe essere fatto prima o dopo l’allenamento.

Fino a quando l’intensità è mantenuta bassa, facendo un breve allenamento cardio prima dei pesi ciò non danneggia l’intensità con i pesi (bisogna pensare ad esso come ad un generale e prolungato riscaldamento). Farlo così avrà un minore potenziale di impatto sulla sessione in sala pesi in sé. Un compromesso ragionevole sarebbe quello di svolgere la sessione dopo i pesi bevendo uno shake post-allenamento mentre si svolge il cardio dopo i pesi.

Vorrei far notare che, dopo un allenamento pesante per le gambe, molto probabilmente non si avrà molta voglia di eseguire una seduta di cardio molto lunga. Mantenere la sessione al minimo (ad esempio 20 minuti di lavoro ad intensità piuttosto bassa) è probabilmente la cosa migliore in questa circostanza. Il Cardio fatto dopo l’allenamento della parte superiore del corpo può essere un po’ più lungo e / o più intenso se lo si desidera (entro le linee guida date sopra).

Riassumendo

Quindi riassumendo, nella maggior parte dei casi, credo che mantenere una ragionevole quantità di allenamento cardio a intensità moderata nel programma di allenamento, anche quando l’obiettivo è esplicitamente quello di aumentare la massa muscolare può essere utile per la maggior parte degli  atleti (la principale eccezione la fanno gli hardgainer estremi).

I potenziali vantaggi includono il miglioramento del recupero, il miglioramento della capacità di lavoro, una migliore ripartizione calorica, il miglioramento dell’appetito (a volte), e una probabilità in più di rimanere con una massa grassa ridotta e passare più facilmente e con maggiore adattabilità ad una dieta ipocalorica una volta che la fase “Bulk” è terminata. I contro, compreso il possibile ostacolo del recupero e sovrallenamento sistematico diventa un reale problema solo quando viene svolto con  un volume eccessivo o un eccessiva intensità.

Un minimo di tre sedute a settimana (fino a forse un massimo di 5) di una durata ragionevole (20-30 minuti almeno fino a forse 40 minuti al massimo) a bassa o moderata intensità (70% della frequenza cardiaca massima o meno) dovrebbe permettere di raggiungere i vantaggi precedentemente elencati senza provocare nessuno dei problemi successivamente esposti.

Gabriel Bellizzi

 

CAFFEINA E PSEUDOEFEDRINA A CONFRONTO

pec

La Caffeina è considerata doping ad un dosaggio predefinito (quantità nelle urine superiore a 12 mg/ ml), mentre la pseudoefedrina, d’altra parte, lo è a prescindere. Gli atleti di resistenza che pensano che l’illegalità della pseudo-efedrina significhi un miglioramento delle loro prestazioni rispetto a quanto avrebbero con l’uso di caffeina commettono un grosso errore, come riportato dagli scienziati dello sport presso l’Università del Western Australia nel International Journal of Sport Nutrition and Exercise Metabolism. I ricercatori hanno testato entrambe le sostanze su 10 ciclisti maschi ben allenati e triatleti. (1)

 

Un certo numero di studi recentemente pubblicato hanno riportato risultati negativi sulla pseudoefedrina. Uno studio su esseri umani ha dimostrato che la pseudoefedrina non ha avuto effetto come sostanza dopante. (2) Anche questo studio è stato svolto in Australia. Una teoria afferma che l’effetto vasocostrittore della pseudoefedrina annulli il suo effetto stimolante.

In tre diverse occasioni i ricercatori hanno somministrato ai loro soggetti:

– un placebo
– 200 mg di caffeina
– 180 mg pseudoefedrina.

Per essere precisi: ai soggetti dello studio è stata somministrata una dose di 2,5 mg di caffeina o 2,3 mg di pseudoefedrina per kg di peso corporeo.

Tutti i soggetti consumavano giornalmente caffeina sotto forma di caffè, tè o bevande energetiche. I ricercatori hanno chiesto ai soggetti dello studio di cessare queste abitudini nelle 48 ore precedenti all’inizio dell’esperimento.

Un’ora dopo l’ingestione della dose prestabilita [o placebo, o caffeina o pseudoefedrina] i soggetti dovevano fare un corsa cronometrata di 40km su un ergometro.

I ricercatori hanno scoperto che somministrare pseudoefedrina ai soggetti non ha avuto alcun effetto sul miglioramento delle prestazioni. Nemmeno la loro potenza [in altre parole la loro velocità] era aumentata dopo l’assunzione di pseudoefedrina. Un miglioramento di questa è accaduto dopo l’assunzione di caffeina, anche se l’effetto non era statisticamente significativo.

pseudoephedrineversuscaffeine2

La Pseudoefedrina non ha ridotto la quantità di tempo necessario affinché i soggetti completassero i 40 km. La caffeina invece ha ridotto il tempo, ma ancora una volta l’effetto non era statisticamente significativo.

pseudoephedrineversuscaffeine

Questi risultati mostrano favorevolmente che gli effetti della caffeina sono probabilmente migliori di quelli della pseudoefedrina. Quindi, un uso/abuso della pseudoefedrina da parte degli atleti non si traduce in un miglioramento delle prestazioni superiore a quello ottenibile attraverso l’uso di sostanze legali…In pratica, a parte la struttura della molecola e il suo nome, la similitudini con la vituperata Efedrina finiscono qui…Non fatevi ingannare dal nome e non spendete quei 10 euro circa per un Naristar pre-workout perché con 5 euro circa potete acquistare della caffeina anidra ottenendo decisamente dei vantaggi…

 

Gabriel Bellizzi


Riferimenti:

1- http://www.ncbi.nlm.nih.gov/pubmed/23578950
2- http://www.ncbi.nlm.nih.gov/pubmed/23988786 Altro…

Inibitori dell’ aromatase e ipertrofia muscolare femminile

 

220px-Aromatase_3EQM.png
Enzima Aromatasi

 

Gli uomini mostrano pochi cambiamenti nella composizione corporea se si blocca la produzione di estradiolo attraverso l’inibizione dell’enzima aromatase, nelle donne le cose sono diverse, come scoperto da oncologi presso la University of Pittsburgh negli Stati Uniti. [1,2]

 

Cominciamo con un riassunto, e cioè che ci sono due tipi di anti-estrogeni:

1. i SERM, come il Tamoxifene e il Clomifene. Questi composti bloccano i recettori dell’ Estradiolo e quindi impediscono a quest’ ultimo di svolgere la sua funzione. Spesso in realtà i SERM esplicano blandamente alcune delle funzioni dell’estradiolo. Negli uomini i SERMS aumentano i livelli di Testosterone; nelle donne questo non succede [3]

2. gli inibitori dell’ aromatase come l’ Anastrozolo. Questi composti interferiscono con il funzionamento dell’enzima aromatase dando come risultato una minor conversione dell’ Androstenedione e del Testosterone in Estradiolo.

Gli atleti supplementati chimicamente utilizzano gli anti-estrogeni per contrastare gli effetti collaterali di alcuni steroidi anabolizzanti, ma anche per ripristinare la propria produzione di Testosterone endogeno dopo un ciclo di steroidi. I medici prescrivono gli stessi anti-estrogeni per i pazienti sopravvissuti al cancro al seno, in quanto questi composti riducono il rischio di recidiva del tumore.

I medici hanno raccolto molte informazioni sugli effetti collaterali dei SERMS, in particolare quelli del Tamoxifene. L’uso a lungo termine del Tamoxifene porta a cambiamenti negativi nella composizione corporea, le donne spesso perdono massa muscolare e accumulano grasso. Nel breve termine invece può aiutare le atlete a perdere grasso nelle gambe e nei fianchi.

Non molto si sa ancora circa gli effetti collaterali a lungo termine degli inibitori dell’ aromatase. Per esempio, qual è l’effetto degli inibitori dell’ aromatase sulla composizione corporea nelle donne? Questa è la domanda alla quale i ricercatori hanno cercato di rispondere nel piccolo studio che hanno svolto su 82 donne, le quali sono state monitorato per un periodo di due anni.

Le donne dello studio erano tutte sopravvissute al cancro. Alla metà di loro è stato somministrato un SERM, di solito Tamoxifene, ma a volte anche Toremifene o Fulvestrant. All’altra metà è stato somministrato un inibitore dell’ aromatase, come il Letrozolo, Anastrozolo o Exemestane.

Durante i 24 mesi dello studio la massa grassa delle donne che avevano assunto un SERM era aumentata di 1kg, mentre non vi è stato alcun aumento della massa grassa in coloro che avevano assunto un inibitore dell’ aromatase.

I SERM non hanno avuto alcun effetto sulla massa magra, mentre gli inibitori dell’ aromatase hanno portato ad un aumento superiore al chilogrammo di massa corporea magra.

Gli inibitori dell’ aromatase hanno causato un aumento del livello di Testosterone ematico, cosa che ha portato i ricercatori a pensare che questo sia stato la causa dell’aumento della massa magra delle donne. Esiste però un problema con questo studio: i ricercatori non rivelano il numero delle donne nel gruppo “AI“ alle quali è stato somministrato Exemestane. Inoltre, c’è da chiedersi se gli effetti miracolosi degli inibitori dell’ aromatase sarebbero stati osservati se l’ Exemestane fosse stato escluso dallo studio.

L’ Exemestane non è solo un inibitore dell’ aromatase, è anche un androgeno con un effetto anabolizzante.

Exemestane e ricomposizione corporea nella donna

L’ Exemestane, il principio attivo del farmaco Aromasin commercializzato dalla Pfizer, risulta essere di per se un efficace agente per la ricomposizione corporea. Ciò viene dimostrato attraverso uno studio italiano svolto su 33 donne che hanno assunto Exemestane per un periodo di 2 anni. [4]

L’ Exemestane è un inibitore dell’ aromatase con uno scheletro steroideo. A parte il gruppo etilico in posizione C6, il composto ha una somiglianza impressionante con il Boldenone. Se l’enzima aromatase – che converte l’ Androstenedione e il Testosterone in Estradiolo – cerca di aggiungere alla molecola di Exemestane un anello aromatico, esso viene bloccato e si rompe. Questo è il modo d’azione con il quale l’ Exemestane abbassa i livelli di estrogeni.

Una volta che le donne con una forma di cancro estradiolo-sensibile sono state sottoposte a chemioterapia, e a radioterapia, di solito assumono anti-estrogeni per i cinque anni successivi. La maggior parte assume Tamoxifene per un paio d’anni per poi passare ad un anti-aromatase come Anastrozolo o Exemestane. Poco si sa circa gli effetti a lungo termine dell’ Exemestane, da qui la ricerca italiana.

I ricercatori hanno monitorato 68 donne anziane per 2 anni. Tutte le donne avevano già assunto 20 mg al giorno di Tamoxifene per 2-3 anni. Una metà delle donne dello studio hanno continuato ad assumere il SERM mentre l’altra metà iniziò ad assumere 25 mg al giorno di Exemestane.

Nei due anni di durata dello studio le donne del gruppo Exemestane avevano guadagnato una media di 2,2 kg di massa magra con una perdita media della massa grassa di 0,7 kg.

I livelli di trigliceridi nel sangue delle donne nel gruppo Exemestane erano scesi, uno sviluppo positivo, ma allo stesso tempo l’ Exemestane aveva aumentato i livelli di LDL e ridotto le concentrazione di HDL, uno sviluppo negativo.

Ma l’ Exemestane possiede un proprio effetto androgeno/anabolico?

Ricercatori americani hanno offerto una spiegazione di come l’ Exemestane potrebbe causare effetti androgeni e anabolici. L’ Exemestane non possiede quasi alcun effetto androgenico, ma i ricercatori hanno annunciato nel 2007 che un metabolita dell’ Exemestane – l’analogo 17-beta-idrossi – è in grado di interagire con il recettore degli androgeni. [5]

Ciò ovviamente significa che le donne dovrebbero prendere in considerazione questo fatto prima di utilizzare o meno l’ Exemestane, ma significa anche che quest’ultimo è ora di maggior interesse per gli atleti (e atlete) supplementati chimicamente ma con obiettivi modesti.

Teniamo anche in considerazione il fatto che, se gli uomini assumono 25mg al giorno di Exemestane ciò causa un aumento di un terzo del livello di Testosterone [6], come riportato dai ricercatori di Farmitalia nel 1980, alla dose di 50 mg il risultato è il medesimo. A ciò c’è da aggiungere la capacità di abbassare le SHBG circolanti.

Considerando che le donne dello studio non si allenavano, cosa potrebbe significare in termini di composizione corporea se una atleta assumesse 25 mg al giorno di Exemestane nella sua preparazione? Probabilmente, un’atleta di categoria Bikini, non avrebbe bisogno d’altro.

E per un atleta di sesso maschile? Beh, 25-50 mg di Exemestane potrebbero essere l’ideale per una preparazione ad un servizio fotografico (ambito foto-moda quindi).

Gabriel Bellizzi

Riferimenti bibliografici:

1. Burnett-Bowie et al., Effects of aromatase inhibition in hypogonadal older men: a randomized, double- blind, placebo-controlled trial. Clin Endocrinol (Oxf). 2009 Jan;70(1):116-23.

2. Finkle et al., Increased risk of non-fatal myocardial infarction following testosterone therapy prescription in men. PLoS One. 2014 Jan 29;9(1):e85805.

3. Mazzarino et al., Relevance of the selective oestrogen receptor modulators tamoxifen, toremifene and clomiphene in doping field: endogenous steroids urinary profile after multiple oral doses. Steroids. 2011 Nov;76(12):1400-6.

4. Montagnani et al., The effects on lipid serum levels of a 2-year adjuvant treatment with exemestane after tamoxifen in postmenopausal women with early breast cancer. Eur J Intern Med. 2008 Dec;19(8):592-7.

5. Ariazi et al., Exemestane’s 17-hydroxylated metabolite exerts biological effects as an androgen. Mol Cancer Ther. 2007 Nov;6(11):2817-27.

6. Giudici et al., 6-Methylenandrosta-1,4-diene-3,17-dione (FCE 24304): a new irreversible aromatase inhibitor. J Steroid Biochem. 1988;30(1-6):391-4.

 

Genisteina, Capsaicina, EGCG e AMPK

 

genistein-svg
Genisteina

 

La Soia contiene la Genisteina, un isoflavone che inibisce la crescita delle cellule adipose e in alte concentrazioni ne provoca l’apoptosi. Si tratta quindi di un composto potenzialmente utile se utilizzato come un integratore dimagrante senza che si provochino aumenti del livello di adrenalina – con i problemi che ciò può comportare. Nutrizionisti coreani presso la Kyung Hee University hanno scoperto che la Capsaicina, la sostanza stimolante nel peperoncino, e il principale flavonoide del tè verde, l’EGCG, agiscono nello stesso modo della Genisteina. Attivano l’AMPK – proprio come fa la molecola denominata Aicar… (1)

I ricercatori hanno posto in provetta le cellule adipose immature di topi, e le hanno fatte entrare in contatto con gli ormoni che stimolano le cellule adipose. I ricercatori hanno aggiunto la Genisteina ad alcune delle provette, e hanno notato che nel giro di due giorni le cellule adipose erano diventate completamente mature [vedi figura seguente]. Ma maggiore era la concentrazione della Genisteina in provette, minore era il tasso di crescita.
gencapegcg.gif
I ricercatori hanno notato anche che le cellule adipose adulte erano maggiormente soggette ad apoptosi se venivano esposte ad alte concentrazioni di Genisteina [vedi figura seguente].

gencapegcg2

La figura seguente mostra come agisce la Genisteina. L’isoflavone attiva l’enzima AMPK. Maggiore è la concentrazione di Genisteina, più gruppi fosforo sono attaccati alla molecola di AMPK e l’enzima acetil-CoA-carbossilasi [ACC]. L’ACC è attivato dal AMPK.

gencapegcg3

La cosa interessante è che sia la Capsaicina che l’EGCG agiscono in modo più incisivo della Genisteina. Questi composti attivano sia l’AMPK che l’ACC.

gencapegcg4

I ricercatori hanno anche aggiunto Aicar alle cellule adipose, osservando che questo composto funziona esattamente allo stesso modo delle tre sostanze vegetali osservate in precedenza. Quindi, conoscendo l’azione che l’Aicar ha avuto negli studi sugli animali, sarà una motivazione in più per essere interessati a questo tipo di supplementazione. La Genisteina, l’EGCG e la Capsaicina non sono composti interessanti solo per gli integratori dimagranti. È possibile utilizzarli anche come integratori per gli atleti di resistenza – se si vuole, in combinazione con sostanze nutritive mitocondriali. (2)

La figura seguente mostra l’interazione tra Aicar, AMPK e ACC quando il grasso viene ossidato nei mitocondri.

ampkacc

 

Gabriel Bellizzi

Riferimenti:

1- http://www.ncbi.nlm.nih.gov/pubmed/16236247
2- http://www.ncbi.nlm.nih.gov/pubmed/21507065