Assunzione di Whey Protein e stimolo dell’Acne

whey

Vi sono prove cumulative a sostegno del ruolo dei fattori nutrizionali nello sviluppo dell’acne. In uno studio svolto su 5 pazienti adulti maschi sani, è stato evidenziato lo sviluppo dell’acne dopo il consumo di proteine del siero del latte, un supplemento favorito e largamente consumato da coloro che sono impegnati nel BodyBuilding e Fitness. Queste osservazioni sono in linea con i dati biochimici ed epidemiologici a sostegno degli effetti di latte e derivati sullo stimolo di Insulina e Fattore di Crescita Insulino-simile-1(IGF-1). Queste osservazioni hanno evidenziato un aggravamento dell’acne.

 

Gabriel Bellizzi


Studio di riferimento:

Dermatology. 2012;225(3):256-8. doi: 10.1159/000345102. Epub 2012 Dec 13.

Latte e bilancio acido-base: ipotesi contro evidenze scientifiche.

acidob

Recentemente la stampa ha rivendicato una ipotetica associazione tra il consumo di prodotti lattiero-caseari, la generazione di acido dietetico, e i danni alla salute umana. Questa associazione teorica si basa sull’idea che la proteina e il fosfato del latte e dei prodotti lattiero-caseari li rendano alimenti che producono acido, che determinano l’acidificazione del nostro corpo, promuovendo la comparsa di malattie tipiche della civiltà moderna. Alcuni autori hanno suggerito che i prodotti lattiero-caseari non siano utili e che siano forse dannosi per la salute delle ossa, perché la più alta incidenza di fratture osteoporotiche si osserva nei paesi con il più alto consumo di prodotti lattiero-caseari. Tuttavia, le prove scientifiche non supporta alcuna di queste affermazioni. Latte e prodotti lattiero-caseari non producono acido sul metabolismo né determinano acidosi metabolica, e il pH sistemico non è influenzato dalla dieta. L’osservazioni sulla maggiore assunzione di prodotti lattiero-caseari nei paesi con fratture osteoporotiche diffuse non tengono in considerazione altri fattori come quello ambientale e del lavoro fisico svolto in località rurali. Il latte e altri prodotti caseari continuano nell’insieme ad essere una buona fonte di proteine alimentari e altre sostanze nutritive (ovviamente, il metodo di allevamento dell’animale è di rilevante importanza).

Punti chiave di insegnamento:

– La misurazione del pH delle urine acido non riflette acidosi metabolica o una condizione nociva per la salute.

– La dieta “moderna” e il consumo di prodotti lattiero-caseari non rende il corpo acido.

– Le Diete Alcaline alterano il pH delle urine, ma non cambiano il pH sistemico.

– L’escrezione di acido non influenza in maniera importante il metabolismo del calcio.

– Il latte non produce un effetto acidificante.

– I fosfati nella dieta non hanno un impatto negativo sul metabolismo del calcio, e ciò è contrario all’ipotesi dell’acid-ash.

 

Gabriel Bellizzi

Riferimenti allo studio:

J Am Coll Nutr. 2011 Oct;30(5 Suppl 1):471S-5S. Fenton TR(1), Lyon AW.
1Department of Community Health Sciences, University of Calgary, Calgary, Alberta, Canada. tanisfenton@shaw.ca
Altro…

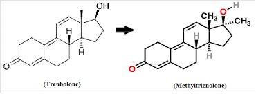
Methyltrienolone (Metribolone)

 

 

metribolone
Methyltrienolone

 

Androgenico: 12,000
Anabolico: 30,000
Standard: Methyltestosterone (orale)
Nome Chimico: 17alpha-methyl-17betahydroxyestra-4,9,11-triene-3-one, 17alpha-methyl-trenbolone
Attività Estrogenica: nessuna
Attività Progestinica: moderata

 

Il Metribolone (Methyltrienolone R1881) [17beta-Hydroxy-17-methyl estra-4,9,11-trien-3-one], è un potente androgeno non-aromatizzabile che è strutturalmente simile al Trenbolone ed è stato denominato “Trenbolone orale” (esiste anche la versione iniettabile). Si tratta infatti di Trenbolone metilato nella posizione C-17 alfa. Originariamente sviluppato da Roussell-UCLAF nel corso degli anni ‘60.

trenmetr

Il Methyltrienolone è stato descritto per la prima volta nel 1965. (1) Fin da subito venne immediatamente identificato come un agente anabolizzante estremamente potente, molto più potente di altri agenti disponibili commercialmente al tempo. Nonostante la sua elevata attività relativa, tuttavia, il Metyltrienolone u ha visto un uso molto limitato negli esseri umani. E’ stato utilizzato clinicamente durante la fine degli anni ’60 ed i  primi anni ’70, in particolare nel trattamento del carcinoma mammario avanzato. Qui, la sua potente attività anabolizzanti/androgena si esplicava nei confronti degli effetti locali degli estrogeni endogeni, conferendole una certa efficacia per rallentare o addirittura regredire la crescita del tumore. Tale applicazione non è stato praticata a lungo, come conseguenza delle valutazioni  realistiche sulla tossicità del farmaco che ben presto portarono al suo abbandono nella medicina umana.

A metà degli anni ’70, il Metyltrienolone stava diventando uno standard accettato in studi di ricerca non-umani, in particolare quelli relativi allo studio della attività del recettore degli androgeni. A questo scopo questo agente è molto adatto. La sua pura potenza e la resistenza alle SHBG lo rendono un ottimo standard per studi in vitro sul recettore vincolante per confrontare altri agenti. Nonostante questo agente sia così resistente al metabolismo, i metaboliti del Metyltrienolone attivi  non vanno ad interferire notevolmente con i risultati della maggior parte degli esperimenti. I tessuti del corpo possono metabolizzare più steroidi abbastanza facilmente, il che significa che anche studi di incubazione possono essere complicati dal momento che si rende difficile indentificare la reale causa di un effetto in particolare, se lo steroide o uno dei suoi metaboliti non identificati. Questo è molto meno di un problema con il Metyltrienolone. Oggi, il Metyltrienolone rimane un agente di uso di ricerca.

Il Methyltrienolone si lega fortemente al recettore degli androgeni (AR) ed è più potente come agonista (attivatore) del recettore degli androgeni rispetto al Trenbolone o al DHT e derivati: come spesso accade la 17-alfa metilazione non comporta solo la capacità della molecola di passare più o meno indenne attraverso il fegato, avvengono altre modificazioni, in questo caso particolare un’estrema affinità per i recettori androgeni e stabilità del legame (come accennato prima, è considerato l’AAS più potente da questo punto di vista e pertanto usato in laboratorio per determinare la forza dell’affinità per i recettori AR degli altri AAS). Inoltre l’affinità per le proteine leganti degli androgeni (che impediscono la bio attività degli AAS) è ancora più bassa del Trenbolone, praticamente nulla. Ma anche la forza del segnale emesso dalla molecola una volta legata al sito recettore è estremamente amplificato, forse a causa proprio della stabilità del legame con il recettore androgeno: per un periodo si è parlato di una potenza androgena e anabolica paria a 10 o 100 volte quella del Trenbolone (valutazioni empiriche). Julius Vida, già nel 1969, nel suo fondamentale libro “Androgens and Anabolic Agents: Chemistry and Pharmacology”, afferma di aver misurato in laboratorio un forza anabolica pari a 30.000 volte (non è un errore) e 12.000 volte la forza androgena con riferimento il Methyltestosterone 100:100 (che rispetto al Testosterone è 150:130). Questo vuol dire una molecola, mg per mg, circa 72 volte più anabolizzante e 100 volte più androgena del Trenbolone.

Al pari del Trenbolone, il Methyltrienolone non è soggetto ad aromatizzazione,  e non possiede attività estrogenica misurabile. Come per il Trenbolone, anche il Metyltrienolone mostra  affinità di legame per il recettore del Progesterone. (2) Gli effetti collaterali associati con il Progesterone sono simili a quelli degli estrogeni, compresa il feedback negativo di inibizione della produzione di Testosterone e una maggiore velocità di accumulo di grasso. I progestinici aumentano anche l’effetto stimolante degli estrogeni sulla crescita del tessuto mammario. Sembra che ci sia una forte sinergia tra questi due ormoni, in modo tale che la ginecomastia potrebbe anche verificarsi con l’aiuto dei progestinici, senza eccessivi livelli di estrogeni. L’uso di un anti-estrogeno, che inibisce la componente estrogenica di questa alterazione, è spesso sufficiente per mitigare la ginecomastia causata da AAS con attività progestica.  Il rialzo della Prolattina è un altra possibile conseguenza.

L’uso di anti-prolattinici andrebbe preso in considerazione solo quando, attraverso appositi esami ematici, si è appurata una iperprolattinemia. Molto spesso, il controllo adeguato degli estrogeni risulta più che sufficiente.

Possedendo un valore androgeno di media pari a 12.000, la comparsa di effetti collaterali androgenici è assai probabili con l’uso di Methyltrienolone nonostante le dosi efficaci siano molto contenute. L’uso femminile è assolutamente sconsigliato.

Il Methyltrienolone è uno degli AAS più epatotossici mai prodotti. Infatti, come detto precedentemente, il Methyltrienolone è Trenbolone metilato in posizione C-17, caratteristica che ne aumenta la resistenza al metabolismo epatico (e la tossicità connessa). L’esposizione prolungata o a dosaggi alti può causare danni al fegato. In rari casi la disfunzione epatica pericolosa per la vita può svilupparsi.

Essendo il Methyltrienolone una molecola estremamente resistente al metabolismo epatico, questo la rende estremamente tossica per il fegato, caratteristica che ne ha precluso l’utilizzo come agente da prescrizione, in qualsiasi parte del mondo. Studi pubblicati presso l’Università di Bonn in Germania nel 1966 rendono questo molto chiaro.(3) I ricercatori hanno ritenuto il Methyltrienolone  lo steroide più epatotossico ad essere stato studiato sugli esseri umani, riassumendo il tutto come segue:

“Il Methyltrienolone … che è attivo per via orale come agente anabolizzante in una dose inferiore a 1,0 mg al giorno in adulti normali, è stato testato per quanto riguarda la sua influenza sulla funzione epatica. Come misurato da più parametri (ritenzione BSP, bilirubina totale,  attività delle transaminasi, fosfatasi alcalina e della colinesterasi nel siero, attività della proaccelerina nel plasma) il Metyltrienolone si è rivelato molto attivo nel  causare sintomi biochimici della colestasi intraepatica. … Quindi il Metyltrienolone attualmente risulta  essere lo steroide più ‘epatotossico’ “.

Bill Roberts ha paragonato la tossicità del Methyltrienolone a quella che si avrebbe assumendo contemporaneamente alti dosaggi di Anadrol combinati con alti dosaggi di Halotestin.

Tuttavia, dal momento che i dosaggi necessari affinché la molecola esplichi il suo effetto sono molto bassi, l’epatotossicità è gestibile e attenuabile in specie con l’assunzione di N-ademetionina (Samyr) e/o con un mix di Deursil, Silimarina e NAC.

Gli AAS possono avere effetti deleteri sul colesterolo sierico. Questo include una tendenza alla riduzione del colesterolo HDL (buono) e all’aumento del colesterolo LDL (cattivo), con un alterazione dell’equilibrio tra HDL/LDL favorendo un maggiore rischio di arteriosclerosi. L’impatto relativo di un AAS sui lipidi sierici dipende dalla dose, dalla via di somministrazione (per via orale o iniettabile), dal tipo di steroide (aromatizzabile o non aromatizzabile), e dal livello di resistenza al metabolismo epatico. A causa della sua natura non aromatizzabile e alla sua forte resistenza al metabolismo epatico, il Methyltrienolone possiede una forte capacità di influenzare (negativamente) i valori lipidici con aumentato rischio iatrogeno. Gli AAS possono anche influenzare negativamente la pressione del sangue e i livelli dei trigliceridi, ridurre il rilassamento endoteliale, e incrementare l’ipertrofia ventricolare sinistra, tutti fattori che aumentano il rischio di sviluppare malattie cardiovascolari e infarto del miocardio.

Per contribuire a ridurre lo sforzo cardiovascolare si consiglia di mantenere un programma di esercizio cardiovascolare attivo e di ridurre al minimo l’assunzione di grassi saturi, colesterolo e carboidrati semplici in ogni momento durante la somministrazione di AAS. La supplementazione con oli di pesce (4 grammi al giorno) e un integratore alimentare di Niacina per il controllo del colesterolo è anche raccomandata.

Giova ricordare che tutti gli AAS se assunti in dosi sufficienti per promuovere l’aumento della massa muscolare causano una soppressione del  Testosterone endogeno. Senza l’intervento con sostanze  Testosterone-stimolante, e una adeguata PCT, i livelli di Testosterone dovrebbero tornare alla normalità entro 1-4 mesi dalla cessione del farmaco. Si noti che un ipogonadismo ipogonadotropo prolungato può svilupparsi secondariamente all’abuso di steroidi, cosa che richiede un intervento medico.

Il Methyltrienolone si trova commercializzato nel mercato nero sia in forma orale che iniettabile. Se assunto per via orale, questo AAS, come altri AAS orali, andrebbe assunto lontano dai pasti dal momento che gli studi hanno dimostrato che l’assunzione di uno steroide anabolizzante per via orale con il cibo può veder diminuire  la sua biodisponibilità. (4)  Questa caratteristica  è causata dalla natura liposolubile degli ormoni steroidei, che può permettere ad una parte del farmaco di sciogliersi  con i grassi alimentari non digeriti, riducendo l’assorbimento dal tratto gastrointestinale. Per la massima biodisponibilità , questo steroide deve essere assunto a stomaco vuoto.

Torno a ribadire che il Methyltrienolone non è più utilizzato nella medicina clinica a causa di un livello inaccettabile di epatotossicità. Questo agente non è generalmente consigliato per scopi  dopanti per lo stesso motivo, anche se l’uso di apposita epatoprotezione (come indicato qui sopra) può rendere la tossicità epatica più gestibile. Un suo eventuale utilizzo deve essere preso con la dovuta cautela considerando seriamente il suo livello di tossicità epatica . Per lo meno, dovrebbero essere condotti esami del sangue di routine al fine di garantire un azione repentina qualora l’agente causasse un aumento estremamente elevato dei marker epatici. La sua durata d’uso dovrebbe essere molto limitata, preferibilmente non oltre le 4 settimane (anche di meno). La potenza relativa del Metyltrienolone è estremamente elevata, e ciò porta la dose minima necessaria a 0.25 milligrammi al giorno. Il range mediamente utilizzato si aggira tra gli 0,5 ed i 2 mg al giorno. Dosi più elevate non dovrebbero mai essere prese in considerazione.  Per la versione iniettabile la dose media si attesta a 1-2mg al giorno.

La vita attiva del Methyltrienolone è di 4-6 ore per la versione orale, mentre per la versione iniettabile è di circa 24 ore.

Secondo Patrick Arnold, molti atleti hanno utilizzato il Methyltrienolone negli anni ‘90 riuscendo a superare con successo i controlli antidoping a causa delle piccolissime quantità di questo steroide necessarie per migliorare gli effetti delle prestazioni. Egli rimase un po’ sorpreso che il Methyltrienolone sia stato rilevato dai test anti-doping creando lo scandalo che interessò alcuni atleti greci. Questo avvenimento ha suggerito che i test anti-doping sono stati notevolmente migliorati nel rilevamento di questa molecola. 11 pesisti greci e 4 atleti di atletica leggera greci sono risultati positivi al Methyltrienolone prima delle Olimpiadi di Pechino del 2008.

 

thg
Tetrahydrogestrinone

 

Patrick Arnold è un chimico organico che ha sviluppato il Tetrahydrogestrinone (THG) una volta non rilevabile dai test per gli AAS. Il THG è una forma modificata del Methyltrienolone. Nel marzo 1997, Patrick Arnold ha pubblicato in maniera dettagliata un metodo per sintetizzare il Methyltrienolone dal facilmente ottenibile prodotto veterinario Finaplix-H (Trenbolone Acetato in sferette per inserimento sottocutaneo nel bestiame).

Riassumendo, il Methyltrienolone possiede le seguenti caratteristiche:

  • 12.000 androgeno/ 30.000 anabolico rapportato al Methyltestosterone
  • Fortemente AR ma con l’aggiunta della capacità di stabilire un legame agonista diretto ai recettori progestinici ed un legame agonista inverso con i recettori del Cortisolo;
  • Del tutto non aromatizzabile anche se non 5-alfa-ridotto grazie al doppio legame in C9-C10 introdotto rispetto al Nandrolone
  • Epatotossicità elevata se superate certe soglie di dosaggio e di tempo di somministrazione (dipendenti anche dall’alimentazione e dalla supplementazione protettiva): mantenuto nei range minimi l’epatotossicità è all’incirca quanto gli altri C-17-metilati su base relativa (mg x mg), meno in termini assoluti, data appunto l’entità dei dosaggi. Con dosi eccessive il danno epatico non è solo un pericolo ma una realtà.
  • La sua vita attiva è di circa 4-6 ore (24 ore per la versione iniettabile).

Si può tranquillamente affermare che le affermazioni fatte da William Llewellyn e Patrick Arnold, secondo cui il Metribolone sia il più potente agente anabolizzante mai realizzato, siano del tutto vere.

Gabriel Bellizzi

Riferimenti:

1- Protein anabolism produced in man by a new steroid: methyltrienolone. Tremolieres J, Pequignot E. Presse Med. 1965 Nov 6;73(47):2655-8.

2- Specific binding of [3H]-methyltrienolone to both progestin and androgen binding components in human benign prostatic hypertrophy (BPH). Asselin J, Melancon R, Gourdeau Y, Labrie F, Bonne C, Raynaud JP. J Steroid Biochem. 1979 May;10(5):483-6

3- Liver toxicity of a new anabolic agent: methyltrienolone (17-alpha-methyl-4,9,11-estratriene-17 beta-ol-3-one). Kruskemper, Noell. Steroids. 1966 Jul;8(1):13-24.

4- Anabolic Steroids and Sports Volume II. James E. Wright. Sports Science Consultants, Natick, MA 1982

 

Cardarine (GW1516 o GSK-516)

gw

Cardarine (GW501,516 o GW1516 o GSK-516) conosciuto anche con il nome Endurobol, è un farmaco che agisce come un modulatore PPARδ. Cardarine attiva l’AMPK e stimola l’assorbimento del glucosio nel tessuto muscolo-scheletrico, ed ha dimostrato di invertire le anomalie metaboliche negli uomini obesi con sindrome metabolica pre-diabetica, molto probabilmente stimolando l’ossidazione degli acidi grassi (leggi a proposito anche Diabete: Metformina e altri farmaci). È stato proposto come potenziale trattamento per l’obesità e le condizioni correlate, soprattutto quando usato in combinazione con un composto sinergico come l’AICAR: questa combinazione ha dimostrato di aumentare significativamente la resistenza in studi su animali.

Cardarine è un agonista selettivo (attivatore) del recettore PPARδ. Esso mostra un’alta affinità (Ki= 1 Nm) e potenza (EC50= 1 Nm) per i PPARδ con >1000 volte la selettività sui PPARα e PPARγ. Nei ratti, il legame del cardarine per i PPARδ recluta il co-attivatore PGC-1a. Il complesso/coattivatore PPARδ a sua volta regola l’espressione delle proteine coinvolte nella spesa energetica. Inoltre, nei ratti trattati con cardarine, è stato osservato un aumento del metabolismo degli acidi grassi nel muscolo scheletrico e la protezione contro l’obesità indotta dalla dieta e il diabete di tipo 2. Nelle scimmie rhesus obese, cardarine ha mostrato di aumentare le lipoproteine ad alta densità (HDL) e abbassare le lipoproteine a bassissima densità (VLDL). Il meccanismo con cui gli agonisti PPARδ aumentano l’HDL sembra essere il risultato di un aumento dell’espressione del trasportatore del colesterolo ABCA1. Comunque, ci sono due principali usi del cardarine in ambito sportivo:

1. Il più comune utilizzo è quello dato dalla sua azione sull’aumento della resistenza. Cardarine è stato per questo motivo inserito nella lista delle sostanze vietate dalla WADA. Chiunque ricerchi un drastico aumento della resistenza trova in questa molecola una grande efficacia. Il cardarine mostra il suo effetto su questo parametro molto rapidamente e il risultato può essere sconcertante. Un dosaggio comune di 10mg al giorno fornisce un significativo aumento della resistenza.

2. Il secondo utilizzo è quello dato dalla sua azione sulla perdita di grasso. Molti atleti utilizzano questa molecola come agente lipolitico senza proprietà cataboliche (salvaguardia del tessuto muscolare). Ciò comporta una marcata conservazione del tessuto muscolare mentre si verifica una riduzione sostanziale del grasso. Il mantenimento di una maggiore condizione muscolare lo si ottiene anche con la combinazione di cardarine con AAS o SARM come l’Ostarina e l’Andarina. Una dose di 10mg al giorno fornisce una buona perdita di grasso, ma un aumento della dose a 20mg al giorno fornisce un risultato nettamente superiore sulla perdita di grasso.

Cardarine può essere utilizzato in cicli di 8 settimane ma, come con qualsiasi altro supplemento, l’assunzione dovrebbe essere ben strutturata facendo passare un periodo di tempo adeguatamente lungo tra un ciclo ed il successivo per evitare la comparsa di eventuali effetti collaterali mantenendo il più possibile la sua efficacia.

Effetti collaterali e dibattito sulle evidenze

Ci sono costanti dibattiti e diversi studi a sostegno dei potenziali effetti collaterali del cardarine sugli utilizzatori. Vi sono studi che dimostrano che cardarine ha causato il cancro nei ratti, mentre altri studi lo confutano. Non ci sono dati sufficienti per convalidare sostanzialmente questa tesi (ma nemmeno a confutarla tassativamente). Nel complesso cardarine ha dimostrato di avere pochi o nessun effetto collaterale, specie se comparato con altre molecole: non si presenta, per esempio, soppressione ormonale o tossicità epatica. Inoltre, va ricordato che gli studi che sono stati fatti sono stati svolti in tempi molto lunghi rispetto ad un ciclo “classico”, e non a un dosaggio corrispondente a quello di un essere umano.

La questione del cardarine e del cancro deriva principalmente da uno studio nel quale veniva somministrata a dei ratti la molecola alla dose di 10mg/kg al giorno; paragonata all’uomo, sarebbe come se una persona di 90Kg assumesse giornalmente 900mg di cardarine! Queste dosi sfidano ogni logica e sono lontanissime dai dosaggi mediamente utilizzati dagli atleti (10-20mg al giorno). Ricapitolando, nello studio citato, i ratti hanno ricevuto l’equivalente di una dose di 900mg di cardarine; questo sarebbe paragonabile all’assunzione di 14625mg di aspirina al giorno. Di solito, una dose di aspirina corrisponde a 325mg (1 pillola). Questa dose di aspirina potrebbe letteralmente uccidere, dimenticate il cancro!

Alcuni studi sono tesi a dimostrare che il cardarine provoca una crescita e un aumento delle cellule tumorali basandosi sulla stima del numero delle cellule utilizzando un metodo che testa l’attività enzimatica: una maggiore attività indicherebbe un maggior numero di cellule. Il problema con questo metodo di prova è la sostanza stessa che viene testata, la quale causa un reale aumento dell’attività enzimatica all’interno delle cellule. Si può vedere che giudicare la proliferazione cellulare dall’attività enzimatica, introducendo una sostanza che aumenta l’attività enzimatica, può dare risultati alterati con riferimento a un aumento delle cellule. Anche se nessun aumento delle cellule si è verificato, la maggiore attività enzimatica potrebbe indurre a credere che esso si sia verificato.

Ci sono rapporti che sostengono che il cardarine aumenta la carcinogenesi in vari modi:

  • aumentando la crescita delle cellule a causa della inibizione della apoptosi (morte cellulare)
  • promuovendo la proliferazione cellulare (crescita cellulare) aumentando la cicloossigenasi-2 (COX- 2) e/o il Fattore di Crescita Endoteliale Vascolare (VEGF).

Questi rapporti sostengono quindi che cardarine può portare:

  • all’inibizione della apoptosi nelle cellule tumorali umane del colon
  • stimolare la proliferazione delle cellule cancerose nel fegato, nella mammella, nella prostata
  • aumentare l’espressione dei COX-2 nelle cellule cancerose del fegato umano
  • aumentare l’espressione del VEGF nelle cellule cancerose del seno e del colon

Principalmente, le relazioni si collegano al fallace studio summenzionato fatto sui roditori.

Anche se alcuni rapporti forniscono un argomento a favore della tesi sul cancro, ci sono molti altri rapporti che sono in contrasto con questo punto di vista. Ad esempio il cardarine ha un’azione antinfiammatoria in molti tipi di cellule:

  • epitelio del colon
  • macrofagi
  • cardiomiociti
  • cellule immunitarie
  • cheratinociti
  • mioblasti
  • cellule endoteliali
  • epatociti.

L’evidenza suggerisce anche che il cardarine promuove la differenziazione nell’epitelio intestinale, nelle cellule della mammella e del colon, nel trofoblasto e nei cheratinociti primari. Ciò significa che permette alle cellule di diventare cellule più specializzate mantenendo un limite naturale di alcuni tipi di cellule, senza provocare squilibri. E’ stato anche dimostrato che il cardarine ha un azione inibitoria sulla crescita cellulare in un vasto numero di cellule.

Sintesi degli argomenti contro la tesi del cancro:

  • è un antinfiammatorio in molte cellule
  • limita i tumori
  • inibisce la crescita eccessiva delle cellule
  • riduce il rischio di cancro

E’ stato fatto uno studio nel tentativo di scoprire il motivo per cui così tante incongruenze esistevano sul cardarine. Questo studio ha preso in esame tre campioni di cellule cancerose del colon e due campioni di cellule cancerose del fegato umano testandole con diversi modelli. Nel modello 1, in presenza od in assenza del siero e, nel modello 2 in presenza o assenza di cardarine, studiando a più periodi le colture. I risultati sono stati quantificati usando il metodo Coulter, che è lo standard di conteggio, per determinare la proliferazione cellulare. Con i metodi di prova per questo esperimento, tutti e cinque i campioni non hanno mostrato cambiamenti nella proliferazione cellulare e non si è riusciti ad offrire alcuna prova che i PPARs quali il cardarine possano aumentare la crescita del cancro.

Cardarine (GSK-516) nella preparazione atletica

Le possibilità di inserimento del cardarine in una preparazione nel periodo “Cut” o Pre-Gara sono molteplici. Alcuni lo inseriscono addizionandolo o sostituendolo ai classici Clenbuterolo e T-3, con l’importante vantaggio dato dalla mancata azione catabolica sul tessuto muscolare. Come accennato in precedenza, il cardarine può essere abbinato a diversi AAS o SARM come Ostarina e Andarina. Nonostante ciò, esiste un AAS che mostra una marcata sinergia con il cardarine: il Trenbolone. Dall’esperienza raccolta dagli utilizzatori, la combinazione Trenbolone/Candarine (GSK-516) è perfetta anche per una fase ReComp.

Ma perché accoppiare questi due composti?

Trenbolone e Cardarine hanno effetti sinergici eccezionali! Il Trenbolone consente agli utilizzatori di aggiungere massa muscolare di qualità, anche quando si è in deficit calorico (purchè si mantenga una buona assunzione proteica). Inoltre, permette di ridurre il grasso corporeo, cosa che si somma alla medesima capacità in possesso di Cardarine. Basterebbe quanto esposto per rendersi conto che si tratta di una combinazione vincente, ma ci sono alcuni punti da tenere in considerazione per comprendere la reale compatibilità di questi due composti:

Gli effetti positivi del Trenbolone

  • Aumento della massa anche quando si è in deficit calorico
  • Perdita di grasso corporeo, risparmio di tessuto muscolare, effetti anti-catabolici
  • Aumento della forza in tempi brevi
  • Aumento della qualità muscolare e dell’estetica

Effetti negativi del Trenbolone

  • Calo della resistenza. Il Trenbolone è noto per abbassare notevolmente la resistenza cardiovascolare
  • Altera il profilo lipidico, aumenta il colesterolo cattivo e diminuisce il colesterolo buono
  • Causa “Tren tosse”, rendendo la respirazione difficile
  • Causa “Tren insonnia”, rendendo difficile dormire la notte
  • Letargia, ci si stanca, anche con esercizi di base
  • Pressione alta, mal di testa e svenimenti

Effetti positivi di Cardarine

  • Aumento della resistenza! Il cardarine, come ho detto, è stato vietato dalla WADA a causa della sua capacità di aumentare le prestazioni. Si tratta di un aiuto straordinario per la resistenza cardiovascolare
  • Aumento della perdita di grasso (rapida riduzione della percentuale di grasso)
  • Risparmio Muscolare, aiuta a prevenire la disgregazione muscolare
  • Migliora la salute del fegato
  • Aumenta il colesterolo buono, diminuendo quello cattivo
  • Diminuisce la pressione sanguigna

Mantenere elevata la resistenza è essenziale per svolgere allenamenti di qualità, non c’è niente di peggio che dover affrontare con sofferenza un allenamento per mancanza di fiato. Di certo è difficile pensare di riuscire ad usufruire di una maggiore forza se si resta senza fiato dopo 3 ripetizioni! Un rapido sguardo ai prima citati vantaggi/svantaggi del Trenbolone e di Cardarine mostrerà che gli effetti collaterali negativi del Trenbolone possono essere facilmente contrastati inserendo nella propria preparazione il cardarine! Non solo gli utilizzatori possono ottenere tutti i vantaggi del Trenbolone, ma godranno di un benefico aumento della resistenza e della perdita di grasso (sommata), non soffrendo degli effetti collaterali negativi associati con il solo Trenbolone!

Avere un fisico di alta qualità non dovrebbe essere ricercato a costo della propria performance o, ancor più importante, salute. Questi due composti aumentano la capacità di bruciare il grasso e proteggere il muscolo, il tutto mantenendo la resistenza cardiovascolare e, soprattutto, con un occhio alla salute. Queste molecole si completano a vicenda.

Un esempio di ciclo combinato potrebbe essere costituito da 8 settimane con 50mg/die trenbolone acetato e 20mg/die di cardarine. Ovviamente questo è solo un esempio e non costituisce ne sostituisce una prescrizione medica.

In conclusione,il cardarine sta diventando estremamente popolare oltre oceano per la sua estrema efficacia. I suoi effetti sulla resistenza e la perdita di grasso sono stati impressionanti, ha dimostrato di avere effetti drastici ma con pochi o nessun effetto collaterale (se usato correttamente). Ma, come per tutte le altre molecole, sarebbe saggio affiancarsi ad un preparatore esperto prima di inserire il cardarine nella propria preparazione.

Gabriel Bellizzi

Riferimenti scientifici

• Tachibana et al., “The Role of PPARs in Cancer“. PPAR Research Volume 2008 (2008), Article ID 102737, 15 pages.

• Hollingshead et al., “Peroxisome proliferator-activated receptor-β/δ (PPARβ/δ) ligands do not potentiate growth of human cancer cell lines“. Carcinogenesis (2007) 28 (12): 2641-2649.

 

 

MUCUNA PRURIENS, LH, FSH, TESTOSTERONE E PROLATTINA

mp

L’estratto di Mucuna pruriens bean – una fonte naturale dell’aminoacido L-Dopa – causa un aumento delle concentrazioni di testosterone nei maschi. La Mucuna pruriens stimola la produzione di ormoni attraverso la ghiandola pituitaria. Il bean aumenta la produzione degli ormoni messaggeri LH e FSH.

I ricercatori dell’Università di Lucknow in India, sono giunti a questa conclusione dopo aver fatto prove con 75 uomini sani e 75 uomini con oligozoospermia. Gli uomini erano tutti di età compresa tra 25 e 40 anni, ed è stata somministrata loro 5 g al giorno di Mucuna essiccata e macinata in polvere ogni giorno per tre mesi.(1)

Il supplemento ha migliorato la quantità e la qualità dello sperma degli uomini. Tra gli uomini sani c’era poco margine di miglioramento, quindi l’effetto risultò leggero. Ma tra gli uomini con un basso numero di spermatozoi (oligozoospermia) l’effetto è stato più evidente.

mucuna-pruriens

Le analisi del sangue dei soggetti dello studio hanno mostrato che il miglioramento dello sperma era associato ad un aumento della produzione di Testosterone. L’Oligozoospermia si manifesta spesso se i testicoli, dove viene sintetizzato il Testosterone, così come lo sperma, non ricevono gli stimoli di cui hanno bisogno dalla ghiandola pituitaria nel cervello. La ghiandola pituitaria sintetizza gli ormoni messaggeri FSH e LH, che stimolano i testicoli a produrre sperma e Testosterone.

La tabella seguente  mostra l’effetto dell’estratto di Mucuna sulla secrezione ormonale negli uomini con oligozoospermia. Notare anche il livello di Prolattina. La Prolattina è un altro ormone sintetizzato nella ghiandola pituitaria, ma la produzione di questo aumenta se il corpo inizia a produrre meno Testosterone.

mucuna-pruriens2

L’estratto di Mucuna pruriens ha anche determinato un aumento dei livelli di Testosterone negli uomini sani, come indicato nella tabella seguente.

mucuna-pruriens3

Sappiamo già come funziona il meccanismo attraverso il quale la Mucuna pruriens agisce: il corpo converte L-Dopa nel neurotrasmettitore dopamina. La dopamina aumenta l’attività dei centri cerebrali che regolano la sessualità e la produzione di ormoni sessuali.

I ricercatori hanno anche esaminato la concentrazione di adrenalina e noradrenalina nel sangue deisoggetti dello studio. Come prevedibile, entrambi erano aumentati. L-Dopa non è solo un precursore della dopamina, ma anche della adrenalina.

L-Dopa non è una sostanza ergogenica particolarmente buona, come sanno bene gli atleti. Le concentrazioni di L-Dopa calano molto velocemente nel flusso ematico. Ma per ragioni che non sono ancora chiare, assumendo Mucuna pruriens si verifica un costante aumento dei livelli di L-dopa.

L’uso della Mucuna pruriens non sembra quindi una cattiva idea nelle fasi della preparazione seguenti un ciclo di steroidi anabolizzanti – sarebbe anche utile inserito nelle preparazioni degli atleti “Natural” e dei soggetti con un livello di Prolattina naturalmente più elevato. Inoltre, più adrenalina nel sangue durante l’allenamento significa prestazioni migliori, e anche un aumento della produzione di Testosterone.

Gabriel Bellizzi

Riferimenti:

1- http://www.ncbi.nlm.nih.gov/pubmed/18973898

TRENBOLONE, SUDORAZIONE NOTTURNA E RIDOTTA CAPACITA’ CARDIOVASCOLARE

bbca

Durante un ciclo di AAS contenente Trenbolone si possono verificare alcuni effetti collaterali come una notevole riduzione della capacità cardiovascolare e la sudorazione notturna. Eppure non tutti sembrano sperimentare questi due effetti (soggettività dei grandi numeri) durante l’uso di questa molecola.
I problemi a carico della capacità cardiovascolare è riconducibile in alcuni casi a livelli elevati dell’ematocrito. Un esame del sangue specifico per verificarlo è caldamente consigliato.
Come è noto, ai livelli elevati del ciclismo agonistico, gli atleti cercano di ottenere livelli di ematocrito alti. Con un ematocrito alto , sono in grado di esprimere maggiore potenza. In altre parole, le loro prestazioni cardio migliorano.
Tuttavia, questa non è una regola generale. Insieme con una maggiore capacità di carico di ossigeno, insieme con un livello elevato di ematocrito ne deriva una maggiore viscosità del sangue, o un maggiore spessore del sangue. Anche quando l’ematocrito rimane all’interno del range di normalità, in uno studio si è notato che la capacità aerobica di atleti di alto livello può essere superiore con un range medio o addirittura medio-basso di ematocrito piuttosto che con valori normali-alti.
E ‘possibile che l’ematocrito aumenti in maniera sostanziale al di sopra del range normale durante un ciclo di steroidi anabolizzanti. Ovviamente, un esame specifico è d’obbligo per conoscere la reale situazione. Se il livello dell’ematocrito è di circa 53 o più alto, è consigliabile interrompere il ciclo: alcuni opteranno per l’inserimento della Cardio Aspirina in specie se si trovano nelle ultime settimane di ciclo; ciò può effettivamente giovare ma aggiungere ulteriori farmaci non è sempre la scelta migliore.
Se l’ematocrito risulta all’interno del range di normalità, allora non sembra esserci una risposta nota per la capacità cardiovascolare ridotta. Alcuni hanno ipotizzato che l’irritazione del polmone (spiegata in un mio precedente articolo) potrebbe esserne la causa. Non sono attualmente al corrente di prove mediche a riguardo, ma non escludo che ci possa essere una reale correlazione.
Per affrontare il problema a carico del sistema cardiovascolare, alcuni utilizzatori di Trenbolone per esempio limitano la loro dose a 50 mg/giorno, piuttosto che 75 o 100 mg/die. Il Trenbolone risulta così efficace mgXmg che anche a 50 mg/giorno (forma Acetata) fornisce un effetto eccellente come parte di un ciclo di steroidi.
Per quanto riguarda il problema della sudorazione notturna, non conosco attualmente nessuna spiegazione scientificamente convincente, anche se un aumento della termogenesi può essere una spiegazione plausibile. Comunque, sembra colpire in modo casuale. Comunemente, per lo stesso individuo ci può essere una manifestazione del problema in alcuni cicli ma non in altri. Non sembra esservi alcuna soluzione ma soltanto alcuni accorgimenti da prendere: tenere la camera da letto più fresca possibile e utilizzare dei teli da mare per assorbire il sudore.

Gabriel Bellizzi

Uso della Triptorelina nella Terapia Post Ciclo (PCT)

tript

La Triptorelina (acetato o pamoato) [ 5-oxo-D-prolyl-L-histidyl-Ltryptophyl-L-seryl-Ltyrosyl-3-(1H-indol-2-yl)-L-alanylleucyl-L-arginyl-L-prolylglycinamide], è un decapeptide (pGlu-His-Trp-Ser-Tyr-D-Trp-Leu-Arg-Pro-Gly-NH2) agonista del rilascio dell’ormone gonatrotropo (GnRH agonisti): in altre parole, si comporta come l’ormone prodotto dall‘ipotalamo per stimolare l’ipofisi a secernere LH, provocando una costante stimolazione della ghiandola pituitaria.
Quando somministrato a dosi terapeutiche, la Triptorelina sovra-stimola l’ipofisi. Il risultato iniziale è un estremo aumento della produzione di LH; il risultato cronico è essenzialmente l’arresto della produzione di LH.
C’è una teoria secondo la quale una singola iniezione di triptorelina da 100 mcg potrebbe essere utilizzata per recuperare la produzione di testosterone nei casi in cui la produzione dell’ormone è stata soppressa cronicamente, senza attivarne l’arresto. Molto probabilmente non c’è effettivamente il rischio di innescare l’arresto della produzione di LH con questo approccio, ed è probabile che provochi un breve stimolo positivo alla pituitaria.
Non posso affermare con certezza se questa pratica possa contribuire a risolvere una soppressione cronica nella quale l’uso dei SERM si è già rivelato fallimentare, o se un trattamento all’inizio della PCT, seguito dall’uso dei SERM, possa risultare migliore rispetto all’uso singolo dei SERM.
L’evidenza aneddotica a sostegno di ciò è scarsa, e non c’è una particolare ragione per la quale aspettarsi molto dall’uso della triptorelina.
Un altro problema che si frappone nel tentativo di giudicare obbiettivamente il valore dell’utilizzo della triptorelina, è il fatto che vi è una grande quantità di falso materiale di ricerca circolante.
Per una PCT corretta seguente ad un ciclo soppressivo, “consiglio” di applicare il trattamento del dottor Scally per la cura dell’ipogonadismo androgeno-indotto, con l’uso combinato di HCG, Nolvadex e Clomid. Solamente nel caso in cui questo approccio risulti fallimentare, cosa che non si è quasi mai verificata, opterei per l’uso “pulsatile” della Triptorelina.
Per ovvie ragioni, la Triptorelina non andrebbe mai impiegata su base continuativa per aumentare il Testosterone; ma nel caso si decidesse di utilizzare questo farmaco, è opinione comune che il suo uso debba essere sporadico e a dosi inferiori ai 100 mcg/die.

Gabriel Bellizzi

 

Bibliografia:

• Lahlou N, Carel JC, Chaussain JL, Roger M, Pharmacokinetics and pharmacodynamics of GnRH agonists: clinical implications in pediatrics in J Pediatr Endocrinol Metab, 13 Suppl 1, luglio 2000, pp. 723–37, PMID 10969915.
• Padula AM, GnRH analogues—agonists and antagonists in Anim Reprod Sci, vol. 88, 1-2, agosto 2005, pp. 115–26, DOI:10.1016/j.anireprosci.2005.05.005, PMID 15955640.

Trenbolone Acetato e “Tren cough” (“Tren tosse”)

trencough

Il Trenbolone Acetato ha l’insolita proprietà di essere irritante per alcuni tessuti. Per la lingua, è molto piccante. E se avete anche una traccia di esso sulle vostre mani, sarebbe meglio non maneggiare cibi come la carne o le patate prima di esservele lavate accuratamente. Essendo molto irritante, viene da se che l’ingestione di cibi contaminati possa dare problemi.
Dai dati raccolti, si sospetta che il Trenbolone Acetato ad altissime concentrazioni risulti irritante per il tessuto polmonare.
Di solito, i livelli ematici raggiunti non sono vicini al livello necessario affinché si manifesti la “Tren tosse”. Tuttavia, durante la somministrazione può verificarsi l’introduzione di piccole quantità di olio direttamente in un vaso sanguineo, o qualche molecola di Trenbolone Acetato può entrare immediatamente nel sistema linfatico. Il corpo, inclusi i polmoni, sperimenta un livello molto alto della molecola, e come risultato si manifesta la “Tren tosse”.
In parte, se si verifica o meno la “Tren tosse” con una determinata iniezione è una questione di probabilità.
Un altro fattore di incidenza è la formulazione dell’iniezione. Maggiore è la concentrazione di Trenbolone Acetato (mg/ml) e maggiore sembra la probabilità di sperimentare il problema. Inoltre, l’alcool benzilico sembra aumentarne ulteriormente l’incidenza.
Per ridurre al minimo il tasso di incidenza della “Tren tosse”, è consigliabile restare su concentrazioni della molecola pari a 50 mg / ml o al massimo 75 mg / ml, preferibilmente senza alcool benzilico. Per 50 mg / ml, l’alcool benzilico non è necessario nella formulazione tranne nel caso in cui il Trenbolone Acetato si trovi in olio vegetale o in etile oleato; il benzil benzoato è opzionale. A 75 mg / ml, quando non si utilizza benzil acetato il benzil benzoato è obbligatorio. Suggerisco una concentrazione del 20% di benzil benzoato.
Quando si verifica la “Tren tosse” dopo un iniezione, non c’è nient’altro da fare che aspettare che passi. Fortunatamente essa si esaurisce in tempi relativamente brevi. Direi che la “Tren tosse” peggiore osservata è durata non più di 90 secondi, e alcune volte ha superato i 60 secondi.

Gabriel Bellizzi

Il Trenbolone causa attività progestinica o aumento della Prolattina?

trengyne

L’attività progestinica del Trenbolone è vicina allo zero, come riportato negli studi veterinari e cellulari. L’attivazione del recettore del Progesterone (PR) da parte del Trenbolone è circa 100 volte più debole di quella del Progesterone stesso. I livelli di Trenbolone raggiunti durante i cicli di steroidi non possono attivare il PR, neanche in una piccola parte rispetto a quanto avviene con livelli di Progesterone naturale.
In almeno uno studio veterinario si è notato che il Trenbolone non genera un aumento di Prolattina misurabile, nonostante deprima i livelli degli ormoni tiroidei.
Durante un ciclo di AAS la prolattina può subire un aumento. Qualora vengano utilizzati AAS aromatizzabili insieme al Trenbolone, senza un adeguato controllo degli estrogeni con l’uso di un anti-aromatase, i livelli di Estradiolo aumentano e con essi, spesso ma non sempre , si verifica un aumento (anche elevato) della Prolattina.
Ecco uno dei motivi che fanno degli esami ematici un potente alleato per verificare la reale situazione nella quale ci si trova durante o dopo un ciclo. Un aumento combinato degli estrogeni (in particolare Estradiolo) e della Prolattina è molto spesso la causa dell’insorgenza della ginecomastia.
Il vero Trenbolone possiede effettivamente una funzione antagonista della differenziazione estrogenica nella ghiandola mammaria, o almeno questo è quanto emerso dalla scienza veterinaria.
Può risultare difficile attribuire una causa certa quando si verifica ginecomastia durante un ciclo nel quale è presente anche Trenbolone. Altre volte invece, il prodotto contenente (presumibilmente) Trenbolone sembra l’unica causa possibile.
Quando le preparazioni veterinarie e farmaceutici erano le uniche fonti di Trenbolone, la ginecomastia non era mai stata attribuita a questo steroide. Sembra anche che non si verifichi quando il Trenbolone è estratto personalmente dal Finaplix H (non S.). Per questa ragione, dubito che il vero Trenbolone possa causare ginecomastia.
Tuttavia, i preparati di Trenbolone provenienti dal mercato nero hanno promosso la comparsa di ginecomastia in molti casi. Se ciò sia dovuto alla sostituzione con un altra molecola o alla combinazione con altre molecole, all’ossidazione del materiale, o a qualche altro motivo è poco chiaro. Là dove c’è la possibilità, è consigliabile la preparazione personale del prodotto acquistando la polvere, verificando che quest’ultima sia moderatamente gialla, non marrone, e fortemente piccante al gusto. Questo almeno rendere altamente probabile che il prodotto contenga realmente Trenbolone. Un’altra alternativa è quella di preparare personalmente il prodotto estraendo il principio attivo dal Finaplix H, ma convengo che non sia così facile accedervi. Comunque, in questo modo si avrà la certezza assoluta del contenuto della preparazione.

Gabriel Bellizzi

ANTIPROLATTINICI “INDISPENSABILI”?

ap

Con l’uso di certi AAS, in particolare Trenbolone e Nandrolone, l’atleta (o aspirante tale), con una qualche infarinatura culturale sulla materia, si preoccupa del possibile aumento di Prolattina premurandosi di inserire un anti-prolattinico nella propria preparazione . Ma è realmente necessario ed indispensabile l’inserimento di un anti-prolattinico?
Un anti-prolattinico (esempio cabergolina e bromocriptina) non è quasi mai necessario, nel corso di un ciclo di steroidi anabolizzanti se l’Estradiolo è tenuto sotto controllo con un anti-aromatase. Raramente si sono manifestati i presupposti reali e concreti per includere un anti-prolattinico nella preparazione. Il loro inserimento è generalmente uno spreco, premettendo che vi sia un adeguato controllo degli Estrogeni.
Attenzione, non sto dicendo che nessun utilizzatore di AAS possa manifestare la necessità di uso di un anti-prolattinico! Ciò che sto dicendo è che non è così necessariamente indispensabile come alcuni “guru” o “esperti da forum” affermano.
Prima dell’uso/inserimento di qualsiasi farmaco, sono necessarie le dovute analisi per valutarne il reale e necessario inserimento.

Gabriel Bellizzi