ANDROGENI E CELLULE ADIPOSE

Gli Androgeni riducono l’assorbimento del glucosio da parte delle cellule adipose. Rendono le cellule insensibili all’insulina, almeno secondo quanto scritto da ricercatori in uno studio in vitro pubblicato sul Journal of Endocrinology. (1)

I ricercatori hanno estratto cellule adipose sottocutaneo dalla zona addominale di una donna. Essi quindi hanno esposto queste cellule per due giorni a 10 o 100 nanomoli di Testosterone per litro. I 10 nanomoli rappresentano l’alta concentrazione che si trova naturalmente nel tessuto adiposo femminile.

Il Testosterone inibisce l’assorbimento del glucosio quando l’insulina è presente, come mostrato nel grafico qui sotto riportato.

insulin-t-fat

Ci sono due modi in cui le cellule adipose assorbono il glucosio tramite l’insulina. Uno di questi è attraverso l’enzima proteina chinasi-C zeta. L’azione di questo enzima è inibita se il Testosterone si lega ai recettori degli androgeni nella cellula adiposa. Tutte le cellule adipose adulte del tessuto connettivo hanno questi recettori.

I ricercatori non considerano questo effetto come salutare. Ma non dimenticate, i ricercatori si riferiscono a donne in sovrappeso con un elevato livello di androgeni, e non agli atleti. Perché le donne in sovrappeso hanno relativamente poco muscolo per ossidare gli zuccheri, ed hanno una più elevata probabilità di avere alti livelli di glucosio nel sangue.

Non è chiaro fino a che punto i risultati di questo studio in vitro si possano applicare agli esseri umani.

Gabriel Bellizzi

Riferimenti:

1- http://www.ncbi.nlm.nih.gov/pubmed/17332526

Insulina, Ricarica dei Carboidrati e Pre-Gara.

bg158

Insulina. Forse il farmaco per il miglioramento delle prestazioni più controverso utilizzato oggi nel BB’ing. La capacità dell’insulina di causare drammatici cambiamenti fisici in un breve lasso di tempo non ha rivali e rendono questo peptide uno dei pochi farmaci che potremmo definire “prescelti”. Per gli utilizzatori novizi, i guadagni di peso corporeo di 5-6Kg nelle prime 2 settimane non sono rari. L’Insulina è il principale ormone responsabile del trasporto dei nutrienti nelle cellule, possedendo la capacità di massimizzare la risposta anabolica, aumentare l’accumulo di glicogeno, e tutto ciò al di là dei limiti naturali. Queste sono le funzioni principali che hanno fatto sì che questo peptide sia diventato noto nella comunità del bodybuilding.

In realtà, l’insulina è stata spesso soprannominata come il “più potente ormone anabolizzante sulla Terra”, ma in questo articolo la nostra attenzione non si concentrerà intorno al ruolo dell’insulina nel processo di crescita muscolare, ma piuttosto sulla sua capacità di perfezionare il fisico in vista di un’esibizione sul palco massimizzando la pienezza muscolare mentre, allo stesso tempo, si riduce al minimo il rischio di “sporcarsi”.

wr

Essendo la pienezza muscolare un fattore determinante nel livello della condizione fisica  generale, ha senso l’uso dell’insulina  per massimizzare questo aspetto chiave. Il mancato ottenimento di una adeguata pienezza muscolare o, peggio ancora, arrivare sul palco piatti, farà precipitare il rendimento globale delle performance durante l’esibizione. Se un BBr raggiunge una condizione nella quale si presenterà sgonfio, con i livelli di glicogeno e acqua intramuscolare  ridotti, ciò causerà un calo delle dimensioni complessive. In secondo luogo, una diminuzione della durezza muscolare e della densità si manifesterà come conseguenza, rendendo l’aspetto del  BBr  più morbido di quello che in realtà è. Anche la separazione muscolare svanirà, dal momento che i muscoli svuotati e piatti non premeranno con forza contro la pelle, facendo apparire la pelle più spessa rendendo le striature altrimenti nitide nascoste alla vista.  Infine, una condizione dove i muscoli appaiono piatti e la pelle più spessa, tutto ciò può facilmente essere scambiato per ritenzione idrica sottocutanea, in quanto gli effetti di entrambe le situazioni sono spesso simili.

bodybuilder-food_0

Una ricarica mal calcolata può divenire similmente disastroso in termini di aspetto sul palco. Mesi di duro lavoro possono essere rovinati in pochi giorni a causa di un errore di calcolo, ritrovandosi con un aspetto morbido e acquoso. Anche con tutti i possibili rischi presenti in molti di questi interventi dell’ultimo minuto, molti BBr sono ancora disposti ad assumersi tali rischi, al fine di migliorare le loro condizioni anche di una piccola percentuale. La ricerca di quella combinazione elusiva di massima pienezza muscolare e massima disidratazione cutanea è il Santo Graal di tutti BB’rs competitivi. Non molti saranno in grado di raggiungere questo aspetto in un qualsiasi esibizione e il più delle volte non ci riuscirà nessuno.

slide_23

Eppure, c’è un composto che è possibile utilizzare per aumentare le possibilità dell’atleta di raggiungere questo obiettivo: questo composto è l’insulina. Mentre molti conoscono questo farmaco come una tipica molecola  off-season per la massa, il valore dell’insulina si estende oltre il solo ottenimento del tessuto muscolare. Ha la capacità di massimizzare la pienezza muscolare una volta sul palco, mentre allo stesso tempo riduce al minimo le probabilità di “sporcarsi”. È opinione comune che l’insulina è in grado di aumentare la pienezza muscolare attraverso un aumento del glicogeno e della ritenzione di liquidi per via intramuscolare, ma ciò che è meno noto è che questa maggiore capacità di immagazzinare glicogeno diminuisce le probabilità che si verifichino problemi di grasso e ritenzione sottocutanea temuti se il BB’r consumerà troppi carboidrati durante la ricarica pre-contest. L’aggiunta di insulina nel proprio programma di ricarica dei carboidrati pre-contest aumenta efficacemente la capacità di assorbimento delle cellule muscolari, permettendo loro di immagazzinare grandi quantità di glicogeno e, di conseguenza, acqua. Pertanto, una quantità di carboidrati che avrebbe potuto “sporcare” l’atleta  in circostanze normali potrebbe essere irrilevante quando si usa insulina. Per coloro che hanno esperienza precedente con questo farmaco, l’insulina può essere aggiunta efficacemente per questo scopo.  

supercompensazione-glicogeno-carico-scarico-ricarica

In generale, i BB’rs che sono entrati nelle fasi finali della preparazione alla gara sono da  moderatamente a gravemente in deplezione di glicogeno. In queste circostanze, la prima priorità dell’insulina sarà la ri-sintesi delle riserve di glicogeno muscolare. Tuttavia, l’insulina è a volte evitata durante la fase di ricarica dei carboidrati a causa di un falso timore derivante dalla convinzione che l’insulina, essendo anche un ormone lipogenico, possa causare nell’individuo un aumento del grasso corporeo. Nulla potrebbe essere più lontano dalla verità. Il ruolo dell’insulina nell’immagazzinare calorie sotto forma di grasso corporeo avviene solo nei momenti di eccesso calorico, non quando l’individuo ha subito mesi di restrizione calorica e sta vivendo una grave deplezione di glicogeno. Qualsiasi timore per quanto riguarda la capacità dell’insulina di mettere in pericolo il condizionamento attraverso il deposito di grasso corporeo in questa fase, deve essere letteralmente sradicato.

slide_27

Attraverso la capacità dell’insulina di promuovere l’accumulo di glicogeno nel tessuto muscolare, le possibilità di ottenere una condizione con muscoli pieni e pelle sottile il giorno del concorso sono nettamente migliorate. Come? Come accennato in precedenza, con l’aumento dei livelli di glicogeno nel muscolo,  vi è un aumento concomitante della ritenzione idrica intramuscolare. Per ogni grammo di glicogeno accumulato nel muscolo, esso si porta dietro la bellezza di circa 3 grammi  supplementari di acqua. Non solo questo aumenta marcatamente il grado di ritenzione idrica intramuscolare ma è anche  il modo principale in cui l’insulina aumenta la pienezza muscolare, ed è il meccanismo principale attraverso il quale l’insulina migliora le possibilità del BB’r di essere in condizioni ottimali (muscoli pieni e pelle asciutta), e l’acqua sottocutanea, non pertinente alle funzioni vitali, verrà trasportata nel tessuto muscolare attraverso gli effetti delle sostanze nutritive trasportate dall’ insulina.

crea1

Un altro vantaggio dell’uso dell’insulina in questa fase è la sua capacità di aumentare l’assorbimento dei “volumizzatori  muscolari”, come la creatina, nel tessuto muscolare. Con l’uso della creatina, la preponderanza della dimensione del muscolo guadagnato è dovuta alla ritenzione idrica intramuscolare, mentre solo una piccola parte è dovuta allo stoccaggio della creatina stessa. In modo simile al glicogeno, per ogni grammo di creatina immagazzinata nel tessuto muscolare, è “tirata” nel muscolo acqua supplementare. Per questo motivo, qualsiasi sostanza capace di aumentare lo stoccaggio della creatina oltre i normali limiti fisiologici avrà effetti desiderabili sulla pienezza muscolare, così come la secchezza cutanea, dal momento che una parte dell’acqua sottocutanea verrà trasferita da quella regione al muscolo. Il risultato finale saranno muscoli più grandi e potenzialmente più asciutti. Indipendentemente dal fatto che stiamo parlando di creatina o di altri volumizzatori delle cellule muscolari, la capacità dell’insulina di influenzarne positivamente l’assorbimento è un altro modo in cui questo peptide controverso può contribuire a migliorare le condizioni dell’atleta sul palco.

lasix_compresse

E’ nella natura del  BB’r serio cercare sempre di manipolare qualsiasi variabile che potrebbe condurre a miglioramenti nella propria condizione. A tal fine i BB’rs hanno l’abitudine di utilizzare diuretici nel tentativo di raggiungere questo obiettivo. Mentre i diuretici possono infatti essere efficaci per eliminare l’acqua extracellulare, portano con sé un grado significativo di rischio quando si tratta del proprio aspetto. Nel tentativo di raggiungere la tanto agognata condizione “asciutta” attraverso l’uso di diuretici, molti BB’rs si sono invece presentati sul palco piatti. Questo è il rischio che molti si accollano quando usano i diuretici. Certo, molto di questo avviene a causa dell’ignoranza nel non sapere come gestire correttamente questi farmaci, ma a prescindere da come abile un individuo possa essere in questo campo, resta il fatto che i diuretici non potranno  mai espellere  l’acqua solo dalla regione sottocutanea; essi dovranno anche espellere l’acqua direttamente dal tessuto muscolare. Ciò significa che i diuretici possono sempre causare una perdita di pienezza muscolare. In che misura ciò avvenga può variare da impercettibile a estrema. Mentre i diuretici probabilmente manterranno un posto all’interno dell’arsenale pre-gara dei BB’rs per gli anni a venire, l’insulina può servire sia come una legittima alternativa, così come coadiuvante nel raggiungimento di questi obiettivi.

hr0

L’utilizzo dell’insulina per raggiungere l’obiettivo di una condizione in cui i muscoli sono pieni e asciutti non pone molte difficoltà all’atleta esperto,  ma prima di andare avanti vorrei sottolineare il fatto  che non sto sostenendo o suggerendo a nessuno di usare l’insulina per questo scopo, o altri, anche perché l’essere in grado di utilizzare l’insulina in modo sicuro  richiede un grado di competenza superiore a quella necessaria per l’uso di altri farmaci…e in pochissimi ce l’hanno. Il fattore di rischio lo richiede. La competenza d’uso dell’insulina in questa circostanza (pre-gara) è ancora più importante, dal momento che la maggior parte dei BB’rs  che sono ad una settimana dalla loro gara hanno ridotto in modo significativo i loro carboidrati a tal punto da aver  migliorato ulteriormente la sensibilità all’insulina, richiedendo una maggior cura della dose di insulina da utilizzare; una cautela da non sottovalutare.

2gf1

Ci sono molti modi in cui si può utilizzare l’insulina per massimizzare il processo di sintesi del glicogeno, ma uno dei metodi più semplici e più sicuri comporta l’aggiunta di una piccola quantità di insulina ad ogni pasto glucidico fino a che i livelli di glicogeno siano sufficienti; quanto basta per far penetrare i carboidrati ingeriti in modo efficace nel tessuto muscolare. Anche se con l’uso dell’insulina durante una ricarica di carboidrati permette di aumentare la quantità di carboidrati che si possono consumare senza rischiare di “sporcarsi”, non è saggio consumare più carboidrati di quanto si farebbe normalmente durante una classica ricarica. Questo farà sì che l’acqua richiamata non vada ad accumularsi da alcuna parte se non all’interno del tessuto muscolare. La risposta all’uso dell’insulina varia da persona a persona a seconda della sensibilità all’insulina, così come la risposta alla quantità di carboidrati consumati.

Includendo l’insulina in una fase di ricarica dei carboidrati, la maggior parte delle persone saranno in grado di presentarsi in gara con un aumento di peso pari a 1,5-2Kg di qualità in più di quanto sarebbe stato loro possibile senza l’uso di Insulina: un aspetto “pieno e asciutto” se ogni fattore viene gestito con le adeguate modalità.  

Gabriel Bellizzi

ERITROPOIETINA (EPO): CARATTERISTICHE E APPLICAZIONI

 

epo-molecule-1024x283
Eritropoietina (EPO)

 

L’Eritropoietina o EPO è un ormone glicoproteico del peso di circa 34000 Dalton, prodotto negli esseri umani dai reni e in misura minore dal fegato e dal cervello, che ha come funzione principale la regolazione dell’eritropoiesi (produzione dei globuli rossi da parte del midollo osseo).

Durante la vita fetale l’EPO è prodotta principalmente dal fegato, nella vita adulta è prodotta per il 90% dai fibroblasti peritubulari del rene.
eritropoietina_ng3
L’EPO agisce a livello del midollo osseo emopoietico stimolando le cellule progenitrici eritroidi CFU-E, riducendone l’apoptosi e aumentandone la frequenza mitotica (ossia un più veloce differenziamento a proeritroblasto). Il risultato è un aumento della disponibilità di eritrociti e di emoglobina. Il maggiore stimolo alla increzione di EPO è data dalla riduzione della tensione di O2. Sono le cellule endoteliali dei capillari peritubulari della midollare del rene ad agire da sensori della tensione arteriosa di ossigeno. Queste, in seguito a ipossia, inducono i fibroblasti peritubulari a produrre e rilasciare l’ormone nel circolo sistemico, che va ad agire a livello del midollo osseo emopoietico. Si rende quindi disponibile un numero maggiore di eritrociti che possono veicolare più ossigeno aumentando la tensione di O2 circolante: il meccanismo a feedback vede quindi una riduzione nel rilascio renale di eritropoieina. Nei pazienti nefropatici con insufficienza renale cronica la produzione di eritropoietina si riduce e contribuisce a spiegare la tendenza alla condizione anemica di questi soggetti.
Symptoms_of_anemia.png
L’EPO è stata sintetizzata in laboratorio e utilizzata come farmaco per curare le anemie in pazienti affetti da malattie renali o da malattie del sangue, o per permettere un recupero più veloce dopo chemioterapia nei pazienti affetti da cancro. In studi recenti è stato osservato un ruolo neuroprotettivo della EPO come agente antinfiammatorio.

La strada per la scoperta dell’EPO iniziò nel XIX secolo, quando si osservò come i soggetti che vivevano in ambienti poveri di ossigeno (ad esempio ad altitudini elevate) avessero la capacità di produrre una maggiore quantità di globuli rossi.
L’esistenza di un ormone in grado di regolare la produzione di eritrociti da parte del midollo osseo fu ipotizzata nel 1906 da Paul Carnot, professore dell’Hôtel-Dieu di Parigi e dalla sua assistente Camille Deflandre[1]. La sostanza fu chiamata emopoietina.
Negli anni quaranta, le ricercatrici finlandesi Bonsdorff e Jalavisto, continuando gli studi sui globuli rossi, diedero a questa sostanza il nome di eritropoietina[2]. Pochi anni dopo, Kurt Reismann dimostrò che il rene era la sede principale di produzione di questa sostanza, ma solo nel 1977 Takaji Miyake riuscì a estrarre la molecola dalle urine di un paziente con anemia aplastica.
Nel 1983 fu possibile identificare e clonare il gene produttore dell’eritropoietina e, dando il via alla sperimentazione su animali e poi sull’uomo, fu dimostrata la sua efficacia nel correggere alcuni tipi di anemia.
Tra il 1970 ed il 1990 l’unica opzione terapeutica all’anemia dei pazienti con insufficienza renale cronica era fornita dalle emotrasfusioni.
Dal 1989 l’EPO è stata resa disponibile come farmaco per i pazienti anemici in emodialisi. Successivamente il suo impiego è stato esteso anche ai pazienti con insufficienza renale cronica in trattamento conservativo, contribuendo a migliorarne la qualità di vita. Il ricorso a procedure emotrasfusionali in questa tipologia di pazienti si è di conseguenza molto ridotto. La produzione farmaceutica di eritropoietina si realizza con la metodica del DNA ricombinante: viene cioè inserito il segmento di DNA umano posto nel braccio corto del cromosoma 7 che codifica per la sintesi dell’EPO nel DNA di una cellula ovarica dell’hamster cinese (un criceto). Queste cellule ovariche possono quindi produrre in laboratorio in opportuni bioreattori grandi quantità della molecola.

Esistono cinque tipi di EPO per uso medico:

• Eprex (conosciuta come EPO α); attiva per 20 ore.
• NeoRecormon (conosciuta come EPO β); attiva per 24 ore.
• Dynepo (anche conosciuta come EPO δ); è la prima forma derivante da culture di cellule umana, quindi presenta la stessa glicosilazione dell’EPO naturale.
• Aranesp (anche conosciuta come Darbepoetina); la darbepoetina presenta una catena aminoacidica leggermente diversa rispetto all’eritropoietina, in quanto sono stati sostituiti 5 aminoacidi, inoltre è maggiormente N-glicosilata, cioè è legata ad altri due oligosaccaridi in più in diverse posizioni con l’azoto degli aminoacidi. Questa è una eritropoietina di seconda generazione con maggiore stabilità nei fluidi corporei, con una durata d’azione più lunga e la stessa attività, di conseguenza necessita di minori somministrazioni. Infatti è attiva per 50 ore. Questa sostanza è stata approvata dalla FDA nel 2001 per il trattamento dell’anemia dovuta ad insufficienza renale.
• Mircera (anche conosciuta come EPO di terza generazione)

Tutti i farmaci stimolanti le cellule eritroidi immature vengono definiti come ESA (Erythropoietic Stimulating Agents).
Nel corso degli anni novanta erano disponibili in Italia due tipi di eritropoietina ricombinante: l’EPO α (nome commerciale in Italia Eprex) e l’EPO β (NeoRecormon), praticamente identiche all’EPO umana. Erano composte da 165 aminoacidi, con una struttura glucidica leggermente diversa tra loro e la somministrazione poteva essere sia endovenosa che sottocutanea, con una frequenza che poteva variare da 1 a 3 volte alla settimana.
L’EPO δ (Dynepo), simile alle precedenti è stata commercializzata in altri paesi mentre non è mai entrata in commercio in Italia.
Nel 2001 la FDA (Food and Drug Adminstration) statunitense ha acconsentito alla commercializzazione di una molecola eritropietinica modificata nella sua componente glucidica, arricchita di residui di acido sialico che ne hanno prolungato l’emivita sia nella somministrazione endovenosa che in quella sottocutanea. Questa molecola è nota come Darbepoetina α (Aranesp). Il suo impiego ha consentito di ridurre la frequenza delle somministrazioni ad una volta ogni una o due settimane semplificando la vita del paziente con malattia renale.

mircera-05
Di recente è stato messo in commercio in Italia il C.E.R.A. (Continuous Erytropoiethin Receptors Activator) o Metossipolietinglicole Epoetina β con nome commerciale di Mircera. La struttura proteica è sempre analoga a quella umana, molto diversa la componente glucidica ed il numero di residui di acido sialico è più elevato. Queste modifiche nella parte non proteica hanno consentito di allungare l’emivita del farmaco a 135 ore se somministrata per via endovenosa e a 139 ore se somministrata per via sottocutanea. Nei pazienti mai trattati in precedenza con E.S.A. si parte con una somministrazione ogni 2 settimane: una volta raggiunti i livelli di Emoglobina targets (Hb 11 – 12 g/dl) si passa alla somministrazione mensile. Nei pazienti già trattati con altri E.S.A. e passati in Mircera la somministrazione è mensile. Va segnalato come l’impiego di tutti i farmaci E.S.A. nei pazienti nefropatici non ha lo scopo di normalizzare i valori di Emoglobinemia, ma di raggiungere un target considerato ottimale compreso tra 11 e 12 g/dl. Si è visto infatti che morbilità e mortalità aumentano in modo esponenziale tanto più ci si allontana verso il basso e verso l’alto da questi valori considerati ottimali.
328167_pap_20010703_07y_34
Viste le proprietà dell’EPO, e principalmente la sua capacità di incrementare il numero di eritrociti anche in soggetti sani, essa viene largamente usata in ambito sportivo (in specie negli sport di resistenza/endurance). Inizialmente il dosaggio viene stabilito tramite un calcolo in UI per Kg di peso corporeo: di solito tra le 20 e le 100 UI per chilogrammo di peso corporeo, dalle 3 alle 6 volte a settimana. Dopo due-quattro settimane, viene somministrata una dose di mantenimento pari a 20 UI per Kg di peso corporeo una volta alla settimana. Nei test anti-doping la Darbepoetina alfa è rintracciabile per 7/8 giorni, circa il doppio dell’EPO.

L’uso dell’EPO per il miglioramento delle prestazioni può essere molto pericoloso se l’utilizzatore permette all’ematocrito di raggiungere livelli eccessivamente elevati. Il livello ideale dell’ematocrito per il miglioramento delle prestazioni atletiche è del 55%. Livelli superiori a questo possono portare ad una eccessiva “viscosità” del sangue, che riduce la microcircolazione. Questo è controproducente per il trasporto dell’ossigeno. Inoltre, alti livelli di ematocrito possono portare ad un maggior rischio di eventi vascolari mortali come ictus, soprattutto se l’atleta va in disidratazione durante la competizione (che aumenta ulteriormente l’ematocrito).

Oltre ad aumentare l’efficienza aerobica attraverso un maggiore trasporto di ossigeno nel sangue, ci sono alcune prove che suggeriscono come l’EPO possa anche avere effetti anabolizzanti. L’EPO ha dimostrato in studi su ratti di accrescere sostanzialmente l’aumento di peso e la cicatrizzazione delle ferita dopo intervento chirurgico. Inoltre, i recettori dell’EPO sono presenti sui mioblasti (cellule progenitrici muscolari immature) e possono avere un potenziale di sviluppo e riparazione muscolare.
L’eritropoietina non è assolutamente una novità nemmeno nel mondo del BodyBuilding, dove fece il suo ingresso poco dopo aver ottenuto l’approvazione della FDA nel 1989. Tuttavia, di qualunque popolarità godesse fu di breve durata e per una buona ragione: perché l’EPO è inutile ai fini del Bodybuilding e può essere addizionalmente pericolosa. La sua “inutilità” nel Bodybuilding è legata agli AAS. In passato gli AAS erano impiegati per il trattamento dell’anemia grave, grazie alla loro capacità di stimolare la produzione di globuli rossi. L’Anadrol è stato il farmaco più prescritto per questo scopo, somministrato alla dose di 200-300 mg al giorno. Anche la terapia sostitutiva del Testosterone (200 mg / settimana) ha dimostrato di poter aumentare l’ematocrito.

Quindi, a mio avviso, in un Culturista o in un Crossfitter, il semplice uso di Boldenone (per fare un esempio) può aumentare l’ematocrito con meno rischi complessivi. Pertanto, un suo uso in queste discipline non ha un reale e necessario motivo di essere.

Gabriel Bellizzi

Riferimenti:


Wikipedia
1. ^ Carnot P. et Deflandre C. Sur l’activité hémopoïétique du sérum au cours de la régénération du sang. CR. Acad. Sei. 1906; 143 :432-5.
2. ^ Bonsdorff E, Jalavisto E. A humoral mechanism in anoxic erythrocytosis. Acta Physiol Scand 1948; 16 : 150-170.

Melanotan II, azione e applicazione

 

melanotanii-molecule-600x315
Melanotan II

 

Il Melanotan II (M2) è un analogo sintetico del ormone peptidico melanocortina α-melanocita-stimolante (α-MSH) il cui uso ha dimostrato di produrre melanogenesi (parte del processo di abbronzatura che produce pigmentazione e scurimento della pelle) ed effetti afrodisiaci in studi preliminari e studi clinici (1, 2, 3). Sviluppato presso la University of Arizona, è un analogo lattamico ciclico del α-MSH con sequenza aminoacidica Ac-Nle-ciclo [Asp-His-D-Phe-Arg-Trp-Lys] -NH2. E’ stato preceduto dalla creazione – sempre alla University of Arizona – del Afamelanotide, conosciuto come Melanotan I, la cui sequenza aminoacidica è Ac-Ser-Tyr-Ser-Nle-Glu-His-D-Phe-Arg-Trp-Gly-Lys-Pro-Val-NH2, ed è inoltre noto come [Nle4, D-Phe7] -α-MSH, che è talvolta abbreviata in NDP-MSH o NDP-α-MSH (soprattutto nella letteratura scientifica).
Come già accennato, il Melanotan II è stato sviluppato da un gruppo di ricercatori della University of Arizona con l’intento di creare un peptide che potesse ridurre il rischio di cancro della pelle. I ricercatori riuscirono nell’intento scoprendo che potevano aumentare la quantità di melanina con M2, cosa che aiuta a proteggere la pelle e gli organi dai raggi UV. Come ulteriore vantaggio, osservarono anche un aumentato della libido nei maschi che non rispondevano bene al Viagra. Studi hanno dimostrato che Melanotan II potrebbe essere usato come terapia sostitutiva per i pazienti con risposta inadeguata agli inibitori PDE5. E’ stata anche notata la possibilità che il M2 favorisca la perdita di peso a causa della diminuzione dell’appetito.
Melanotan II agisce come un agonista non selettivo dei recettori della melanocortina, MC1, MC3, MC4, MC5. (4,5) Come altri peptidi ergici della melanocortina, e come gli ormoni melanociti-stimolante (MSH) e l’afamelanotide, ma a differenza dell’ormone adrenocorticotropo (ACTH), Melanotan II manca di affinità per il recettore MC2. (4,5) Relativamente l’attività del farmaco è la seguente: (6)

• MC1 (Ki = 0.686 nM)
• MC2 (Ki > 1000 nM)
• MC3 (Ki = 34.1 nM)
• MC4 (Ki = 6.60 nM
• MC5 (Ki = 46.1 nM)

La melanogenesi prodotta dal Melanotan II è causata dall’attivazione del recettore MC1, mentre i suoi effetti sessuali sono ritenuti essere correlati alla sua capacità di attivare il recettore MC4 (si pensa che anche il recettore MC3 venga coinvolto). (4,5,7,8) Altri effetti del Melanotan II, per lo più considerati come effetti collaterali, includono vampate di calore, nausea, vomito, stiramenti, sonnolenza e perdita di appetito (quest’ultimo dovuto all’attivazione del recettore MC4). (9,10)
Dal Melanotan II deriva il Bremelanotide che, comparativamente, è riportato essere approssimativamente 50 volte più potente come induttore dell’eccitazione sessuale nei ratti, come metabolita attivo.(11)
Nella prima fase della sperimentazione clinica condotta su tre soggetti (maschi) presso il College of Medicine, Pharmacology Department, University of Arizona in Tucson, Arizona, pubblicato nel 1996, e’ stato riferito che “Melanotan II ha un attività abbronzante ottenuta nell’uomo con sole 5 basse dosi a giorni alterni iniettate per via sottocutanea.” Gli effetti collaterali riportati sono stati nausea, sonnolenza ed erezioni spontanee del pene (12).
Il Department of Pharmacology, University of Arizona College of Medicine condusse uno studio nel 1998 il quale coinvolse dieci uomini i quali avevano sofferto di disfunzione erettile psicogena. Il loro studio concluse che, “Melanotan-II è un iniziatore potente dell’erezione negli uomini con disfunzione erettile psicogena ed ha effetti collaterali gestibili alla dose di 0,025 mg./kg”. (13)
Uno studio clinico condotto presso la Sezione di Urologia della University of Arizona College of Medicine e pubblicato nel 2000, il quale prendeva in esame 20 uomini con disfunzione erettile psicogena ed organica, ha concluso che “Melanotan II è un iniziatore potente dell’erezione del pene negli uomini con disfunzione erettile.” (14)
Per un Bodybuilder il Melanotan II entra in gioco nella preparazione in prossimità di una competizione. Il periodo “Pre-Gara” è incentrato nella cura dei dettagli che comprendono la pigmentazione della pelle. Muscoli e definizioni sono accentuati solo da una bella abbronzatura che rende l’atleta più evidenti agli spettatori e (soprattutto) ai giudici. Il Melanotan II è usato anche dai Bodybuilder amatoriali, soprattutto in prossimità della bella stagione e delle vacanze estive. L’uso del Melanotan II permette al culturista di proteggersi da una prolungata esposizione al sole, mentre migliora la melanina. Questo si traduce in una carnagione più scura e più abbronzata. Quando Melanotan II viene aggiunto a un protocollo “Pre-Gara”, i livelli di melanina aumenteranno, con conseguente abbronzatura; inoltre, esso contribuisce ad aumentare la perdita di grasso e incrementare la durezza muscolare.
Melanotan II è tipicamente venduto in fiale contenenti 10 mg di polvere liofilizzata. Le fiale sono ricostituite con una comoda quantità di acqua batteriostatica o sterile, aggiunta alla fiala con una siringa. Un esempio pratico della quantità di acqua necessaria è 2,5 ml. Quando si utilizza questa quantità di acqua, la soluzione risulterà contenere 4 mg di Melanotan II per ml. Se per esempio ci si deve somministrare una dose di 1 mg, un volume di 0,25 ml, o “25 UI” come indicato su una siringa da insulina, dovrebbe essere il quantitativo per l’iniezione. L’iniezione può avvenire per via sottocutanea, intramuscolare o endovenosa, in base alle preferenze e possibilità personali.
Per poter utilizzare in modo efficace Melanotan II, è necessario conoscere il proprio tipo di pelle. Per semplificare le cose, possiamo dividere i tipi di pelle in tre categorie:

Pelle di tipo 1: pelle molto chiara, difficile che si abbronzi. Dosi: 50-60mg o 5-6 fiale totali.
Pelle di tipo 2: pelle sensibile, soggetta a ustioni, ma a volte si abbronza. Dosi: 30-40 mg o 3-4 fiale totali.
Pelle di tipo 3: pelle media, a volte si ustiona e si abbronza sempre. Dosi: 20 mg o 2 fiale totali.

Le Iniezioni sono tipicamente giornaliere, cioè un iniezione al giorno. Quando si è alle prime armi con l’uso di M2 si dovrebbe prima di tutto testare la tolleranza dividendo l’iniezione in due piccole quantità al giorno. L’effetto del Melanotan II è cumulativo e il suo uso dovrebbe essere intrapreso circa un mese prima della data del contest/esibizione.

La dose giornaliera tipica si attesta tra 0,5 e 2,0 mg/die, con un range preferito tra 0,5 e 1,0 mg/die. Tuttavia, come detto in precedenza, è meglio valutare prima la tolleranza con un dosaggio inferiore pari a 0,25mg per volta.

Ovviamente, i dosaggi giornalieri variano a seconda della reale esigenza:

Per disfunzione erettile (DE): la dose media è di circa 0.025 mg/kg
Per abbronzatura (pigmentazione della pelle): la dose media è di 0.025-0.030 mg/kg.

Per l’utilizzo in caso di disfunzione erettile, l’iniezione deve essere fatta almeno circa 4-6 ore prima del momento in cui si ricerca l’effetto desiderato. La durata d’azione può protrarsi per circa 6-12 ore dopo l’inizio dell’effetto.

Dosi eccessive di M2 possono causare una tinta giallastra della pelle, quindi è necessario iniziare con dosi più basse e alzarle gradualmente.

Oltre a questo, bisogna sapere che se la pigmentazione è già naturalmente olivastra o più scura, sarà necessario utilizzare meno Melanotan II per le esigenze di abbronzatura.
melanotan-2
Dopo la ricostituzione, la fiala di Melanotan II va consumata del tutto preferibilmente entro 30 giorni. Prima della ricostituzione, M2 deve essere conservato in frigorifero o nel congelatore, ma può anche essere spedito senza refrigerazione.

L’utilizzo del Melanotan II deve essere interrotto, nel singolo caso, se causa problemi come una maggiore crescita, numero, o pigmentazione scura dei nei.
L’effetto del Melanotan II è abbastanza di lunga durata. Può anche volerci un anno o più prima che l’effetto di un ciclo scompaia del tutto. L’utilizzo di cicli di mantenimento in grado di conservare l’effetto pieno a tempo indeterminato consistono generalmente, come regola empirica, in circa 2 o 3 cicli di M2 all’anno.

Gli effetti collaterali associati al Melanotan II sono: viso arrossato, mal di testa, sensazione di vertigini, letargia, nausea, macchie bianche ed eventuale dolore o arrossamento nel sito di iniezione. Durante l’uso, è consigliato il controllo della dimensione e forma dei nei (nonché della presenza di nuovi).
C’è una nota aneddotica sul Melanotan II riferita da alcuni utilizzatori i quali hanno sperimentato grave nausea dopo l’utilizzo. Questo effetto è variabile da utilizzatore a utilizzatore, ma deve comunque essere preso in considerazione.
Melanotan II è un prodotto efficace per migliorare la capacità di abbronzarsi e, quindi, per migliorare l’estetica in prossimità di una gara o di una qualsivoglia esibizione. Il dosaggio medio si attesta tra 0,5 e 1,0 mg /die, e la quantità totale necessaria per un buon effetto è mediamente 30-40 mg totali, anche se per gli individui con pelle più scura, può essere efficace un dosaggio di 10 mg totali per un effetto significativo. Melanotan II può anche essere utilizzato per migliorare l’erezione, ma la frequenza di tale uso deve essere limitata per evitare un eccessivo effetto complessivo sulla pigmentazione della pelle.
Ricordo inoltre che il Melanotan II non è stato autorizzato dalla FDA per l’uso umano. La sua vendita e distribuzione è circoscritta al mercato nero. L’8 agosto 2008 la Danish Medicines Agency (DMA) ha emesso un avvertimento contro l’uso di qualsiasi prodotto chiamato “Melanotan” acquistato su internet. (15) La UK Medicines and Healthcare products Regulatory Agency ha emesso un avviso simile il 17 novembre 2008. (16) La Irish Medicines Board (IMB) ha emesso un avviso di sicurezza cautelare il 27 febbraio 2009 per quanto riguarda l’uso di “medicinale autorizzato Melanotan (I e II). (17) La Norwegian Medicines Agency ha emesso avvisi nel 2009 circa l’uso di “Melanotan” venduto on-line. (18) L‘Australian Therapeutic Goods Administration ha avvertito i consumatori di essere “molto prudenti” nell’usarlo. Nel luglio del 2010 la Swedish Medical Products Agency ha emesso un avvertimento contro l’uso di Melanotan II. (19)

pt-141
Bremelanotide (ex PT-141)

Nota aggiuntiva: E’ interessante il fatto che la Palatin Technologies ha sviluppato un altro ormone mirato per la terapia della disfunzione sessuale basato sul Melanotan II e chiamato Bremelanotide (ex PT-141). Bremelanotide è un metabolita attivo deaminato del Melanotan II che manca della funzione ammide C-terminale. Il farmaco è stato sottoposto a sperimentazione clinica per il trattamento del disturbo da desiderio sessuale ipoattivo e la disfunzione erettile. Esso è destinato sia per gli uomini che per le donne. I risultati preliminari hanno dimostrato l’efficacia di questo farmaco, [20] ma lo sviluppo è stato brevemente sospeso [21] a causa di un effetto collaterale di aumento della pressione arteriosa osservata in un piccolo numero di soggetti di ricerca ai quali era stato somministrato il farmaco per via intranasale. Il 12 agosto del 2009, Palatin ha annunciato i risultati positivi (nessuno dei precedenti effetti della pressione del sangue intensificati sono stati osservati) di una fase di studio clinico in cui ai soggetti sperimentali è stato somministrato il farmaco per via sottocutanea. [22] A partire dal dicembre 2014 la formulazione sottocutanea del Bremelanotide è in III fase di sperimentazione clinica per la disfunzione sessuale. Inoltre, Palatin ha contemporaneamente sviluppando il PL-6983 per la disfunzione sessuale; un farmaco più selettivo, il quale ha dimostrato di produrre aumenti più bassi della pressione sanguigna in modelli animali rispetto al Bremelanotide.

 

Gabriel Bellizzi

Riferimenti:

1. Jump up ^ Hadley ME (Oct 2005). “Discovery that a melanocortin regulates sexual functions in male and female humans”. Peptides 26 (10): 1687–9. doi:10.1016/j.peptides.2005.01.023. PMID 15996790.
2. Jump up ^ “Tanning drug may find new life as Viagra alternative”. CNN. 1999. Retrieved 2008-06-12.
3. Jump up ^ Jaroff, Leon (1999-06-20). “Tanning Bonus”. Time. Retrieved 2008-09-17.
4. Yang Y, Chen M, Lai Y, Gantz I, Georgeson KE, Harmon CM (2002). “Molecular determinants of human melanocortin-4 receptor responsible for antagonist SHU9119 selective activity”. J. Biol. Chem. 277 (23): 20328–35. doi:10.1074/jbc.M201343200. PMID 11912210.
5. ^ Jump up to: a b c Wikberg, Jarl ES (2001). “Melanocortin receptors: new opportunities in drug discovery”. Expert Opinion on Therapeutic Patents 11 (1): 61–76. doi:10.1517/13543776.11.1.61. ISSN 1354-3776.
6. Jump up ^ Schiöth, Helgi B; Mutulis, Felikss; Muceniece, Ruta; Prusis, Peteris; Wikberg, Jarl E S (1998). “Discovery of novel melanocortin4receptor selective MSH analogues”. British Journal of Pharmacology 124 (1): 75–82. doi:10.1038/sj.bjp.0701804. ISSN 0007-1188.
7. David O. Norris; Kristin H. Lopez (25 November 2010). Hormones and Reproduction of Vertebrates. Academic Press. pp. 4–. ISBN 978-0-08-095809-5.
8. Jump up ^ King SH, Mayorov AV, Balse-Srinivasan P, Hruby VJ, Vanderah TW, Wessells H (2007). “Melanocortin receptors, melanotropic peptides and penile erection”. Curr Top Med Chem 7 (11): 1098–1106. doi:10.2174/1568026610707011111. PMC 2694735. PMID 17584130.
9. Tony M. Plant; Anthony J. Zeleznik (15 November 2014). Knobil and Neill’s Physiology of Reproduction: Two-Volume Set. Academic Press. pp. 2230–. ISBN 978-0-12-397769-4.
10. Jump up ^ Alan J. Wein; Louis R. Kavoussi; Andrew C. Novick; Alan W. Partin, Craig A. Peters (28 September 2011). Campbell-Walsh Urology. Elsevier Health Sciences. pp. 743–. ISBN 1-4557-2298-7. Cite uses deprecated parameter |coauthors= (help)
11. US patent 6579968, Christine H. Blood; Annette M. Shadiack & Joanna K. Bernstein et al., “Compositions and methods for treatment of sexual dysfunction”, published 17 June 2003, assigned to Palatin Technologies, Inc.
12. Dorr RT, Lines R, Levine N, et al. (1996). “Evaluation of melanotan-II, a superpotent cyclic melanotropic peptide in a pilot phase-I clinical study”. Life Sci. 58 (20): 1777–84. doi:10.1016/0024-3205(96)00160-9. PMID 8637402.
13. Wessells H, Fuciarelli K, Hansen J, et al. (Aug 1998). “Synthetic melanotropic peptide initiates erections in men with psychogenic erectile dysfunction: double-blind, placebo controlled crossover study”. J Urol. 160 (2): 389–93. doi:10.1016/S0022-5347(01)62903-3. PMID 9679884.
14. Jump up ^ Wessells H, Levine N, Hadley ME, Dorr R, Hruby V (Oct 2000). “Melanocortin receptor agonists, penile erection, and sexual motivation: human studies with Melanotan II”. Int J Impot Res. 12 (Suppl 4): S74–9. doi:10.1038/sj.ijir.3900582. PMID 11035391.
15. “Warning against the product Melanotan”. Danish Medicines Agency. 2008. Retrieved 2008-08-11.
16. Jump up ^ “”Tan jab” is an unlicensed medicine and may not be safe”. MHRA. 2008. Retrieved 2008-11-17.
17. Jump up ^ “US Lab Research Inc Warning letter”. FDA. 2009-01-29. Retrieved 2009-06-23.
18. Jump up ^ “Legemiddelverket advarer mot bruk av Melanotan”. Norwegian Medicines Agency. 2007-12-13. Retrieved 2009-03-11.
19. Jump up ^ “Läkemedelsverket varnar för användning av Melanotan II”. Medical Products Agency. 2010-07-26. Retrieved 2010-07-26. (Swedish)
20. King, S.H.; Mayorov AV; Balse-Srinivasan P; Hruby VJ; Vanderah TW; Wessells H. (2007). “Melanocortin Receptors, Melanotropic Peptides and Penile Erection”. Curr Top Med Chem. 7 (11): 1098–1106. doi:10.2174/1568026610707011111. PMC 2694735. PMID 17584130.
21. Jump up ^ “Palatin Technologies Announces New Strategic Objectives”. Retrieved 2008-05-13.
22. Jump up ^ “PALATIN TECHNOLOGIES, INC. REPORTS POSITIVE BREMELANOTIDE STUDY; IMPROVED SAFETY PROFILE WITH SUBCUTANEOUS ADMINISTRATION”. Retrieved 2009-08-12.

TB-500 (Timosina beta-4)

TB-500: uso, azioni e applicazioni
tb-500
TB-500 (Timosina beta-4)
La Timosina è una proteina individuata negli anni quaranta da Allan Goldstein come sostanza prodotta naturalmente dalla ghiandola timica, che agiva nella maturazione del sistema immunitario e nella produzione delle cosiddette cellule T. Goldstein produsse artificialmente la cosiddetta “Timosina frazione 5”, che in seguito si dimostrò composta da almeno 40 diverse proteine.
Nel 1972 venne individuata la “Timosina alfa1 (composta da 28 aminoacidi) e nel 1981 la “Timosina beta4” (composta da 43 aminoacidi). Si riscontrò inoltre che la timosina veniva prodotta non solo nella ghiandola timica, ma in molte altre cellule dell’organismo.
Nel 1987 Enrico Garaci osservò gli effetti clinici della Timosina alfa1 nel potenziamento del sistema immunitario e in seguito la sostanza è stata utilizzata nel trattamento di alcuni tipi di melanomi e delle epatiti B e C.
Altri studi hanno individuato una azione completamente diversa per la Timosina beta 4, che regola la produzione di actina, un componente del citoscheletro e la produzione di laminina, una proteina che agisce nel processo di guarigione delle ferite. Sono quindi in corso di studio le possibili applicazioni di questa sostanza nella cura delle lesioni alla cornea o dell’infarto.
Il TB-500 non è altro che una frazione sintetica della Timosina beta4, peptide naturalmente presente in tutte le cellule animali e umane. Per essere chiari, TB-500 non è TB-4, anche se è spesso venduto sotto questo nome. Il TB-4 è ancora una rara sostanza sottoposta a ricerca ed è estremamente costosa e non ancora disponibile per i BodyBuilder o per il miglioramento delle prestazioni negli animali.

timo
Timo


Nel corpo, il TB-4 è prodotto nel timo, una ghiandola che presenta le dimensioni più grandi nei bambini, atrofizzando in età adulta e divenendo praticamente inesistente negli anziani. Inoltre, il TB-4 è prodotto localmente in varie cellule, ed è particolarmente concentrato nei fluidi delle ferite; se ne trovano concentrazioni piuttosto elevate nel citoplasma di alcune cellule. In diversi studi, TB-4 è stato osservato essere in grado di promuovere diverse forme di guarigione delle ferite, promuovere la differenziazione delle cellule staminali e ridurre l’infiammazione.

Ormoni proteici come il TB-4 non impegnano un sito recettore nella loro interezza, in quanto sono troppo grandi per entrarvi. Infatti, solo una regione attiva della proteina si inserisce nel sito recettore.

La sequenza peptidica del TB-500 è identica a quella dell’area regione attiva del TB-4 e condivide con quest’ultimo molte, se non tutte, le sue proprietà, in una forma più economico da produrre.
thymosin-beta-4-2mg-tb500-uk-peptides-com-66-900x900
Il TB-500 è un farmaco iniettabile che può essere usato per promuovere la guarigione dagli infortuni, migliorare la possibilità di movimento in caso di lesioni o ridurre il dolore riducendo l’infiammazione. Fino ad ora il suo uso nell’uomo è stato relativamente raro e limitato alle persone che amano “sperimentare”. Il suo utilizzo sui cavalli da corsa è stato più diffuso, anche se non è un farmaco veterinario da prescrizione.
Lo scopo principale di questo peptide è promuovere la guarigione. Inoltre promuove la creazione di nuove cellule ematiche e muscolari. Gli effetti curativi del TB-500 sono stati osservati in tendini, legamenti, muscoli, pelle, cuore e negli occhi. La Timosina beta-4 è prodotta naturalmente in maggiore concentrazione quando il tessuto è stato danneggiato. Questo peptide è anche un potente agente anti-infiammatorio. TB-500 è diverso da altri fattori di riparazione (vedi Ormone della Crescita e IGF-1), perché promuove la migrazione endoteliale e dei cheratinociti. Inoltre non si lega alla matrice extracellulare ed ha un peso molecolare molto basso. A causa di ciò può percorrere lunghe distanze attraverso i tessuti del corpo umano. Uno dei meccanismi chiave d’azione del TB-500 è la sua capacità di regolare la crescita-cellulare proteina-Actina. Delle migliaia di proteine presenti all’interno delle cellule umane, l’actina rappresenta circa il 10% del totale. E ‘quindi una componente vitale della struttura delle cellule e del movimento.

3m3n_asyr_r_250
TMSB4X


Come accennato in precedenza, la Timosina Beta-4 è una proteina costituita da 43 aminoacidi ed è codificata negli esseri umani dal gene TMSB4X. Le sue azioni sono state osservate in numerosi studi clinici. La ricerca ha dimostrato che se la Timosina beta-4 viene utilizzata dopo un attacco di cuore può riattivare le cellule progenitrici cardiache per riparare il tessuto cardiaco danneggiato.
Molecolarmente la Timosina beta-4 risulta molto grande. In effetti, è così grande che non entra interamente nel recettore bersaglio. Diverse sezioni della molecola hanno diverse attività. Il TB-500 è la parte dalla Timosina beta-4 che promuove gli effetti più utili (guarigione complessiva, riparazione, nuove cellule del sangue e muscolari). Per applicazioni mediche è più pratico usare il TB-500 anziché l’intera proteina Timosina Beta-4.

bigbench_620x4452
L’uso del TB-500 è da prendere in considerazione in caso di lesioni acute in cui, come giudicato dall’esperienza, la guarigione potrebbe altrimenti essere lenta, o nei casi di lesione cronica in cui la guarigione è seriamente compromessa. I tipi di lesioni che possono avere un beneficio dall’uso di questo peptide includono tendinite e strappi muscolari, ma possono includere molti tipi di lesioni muscolari e lesioni del tessuto connettivo, così come lesioni della pelle. Dove risultano infortuni muscolari in termini di flessibilità alterata, TB-500 è in grado di fornire un miglioramento sostanziale. Per quanto riguarda l’uso nei cavalli da corsa, è utilizzato per evitare la formazione di aderenze articolari. Se questo effetto si verifichi negli esseri umani come nei cavalli non è possibile dirlo con certezza, ma ci sono sostanziali indicazione che questo peptide aiuti a trattare aderenze articolari esistenti.
Mentre il TB-500 può essere notevolmente efficace somministrato da solo, molte persone sperimentano risultati migliori con una combinazione di TB-500 e GH rispetto all’uso singolo della molecola.

220px-ghrp-6
GHRP-6


In alternativa, rispetto all’utilizzo del TB-500 da solo, un effetto guaritivo può essere migliorato combinando il TB-500 con un GHRP (come GHRP-2, GHRP-6, Ipamorelin o Hexarelin), o uno stack Mod GRF /GHRP.

Di questi due approcci, dai risultati ottenuti credo che attualmente lo stack più efficace risulti essere TB-500 / GH.
Il TB-500 è generalmente venduto come polvere liofilizzata in flaconi (vial) da 2mg. La polvere deve essere ricombinata con un quantitativo adeguato di acqua sterile o batteriostatica, ad esempio 1ml. Nel protocollo di dosaggio più comune, l’intero contenuto di una vial (2mg) viene iniettato in un’unica volta. La soluzione deve essere caricata solitamente in una siringa da insulina, e iniettata. Le iniezioni possono essere fatte per via sottocutanea, intramuscolare o endovenosa, in base alle preferenze e possibilità personali.
Prima della ricostituzione è possibile tenere il TB-500 in frigo tra i 2-8 gradi centigradi (36-46 gradi Fahrenheit) ed è così conservabile per 24 mesi. A temperatura ambiente (fino a 37 gradi Celsius o 98,6 Fahrenheit) è conservabile per più di 90 giorni; fino a 45 gradi Celsius o 113 Fahrenheit è conservabile per circa una settimana.
10ml-bacteriostatic-water-multi-use-bottle-uk-peptides-com-79-900x900
Dopo la ricostituzione (soluzione ricombinata) il TB-500 deve essere conservato in frigo tra i 2 – 8 gradi Celsius (36 – 46 Fahrenheit). Non congelare. Una volta ricostituito il TB-500 deve essere utilizzato entro 8 giorni.
Il protocollo di dosaggio più comune comporta l’assunzione di 2 o 2,5mg di TB-500 due volte a settimana dalle quattro alle sei settimane, dopodiché la dose viene ridotta ad un dosaggio inferiore per una o due volte al mese come mantenimento.
Il livello di conoscenza sul dosaggio del TB-500 è ancora limitato. Il protocollo di cui sopra può essere il più efficiente su un considerevole numero di soggetti ma non in tutti, ma si tratta comunque del protocollo con il più alto numero di prove a suo favore. L’applicazione individuale corretta si acquisisce con il tempo, e quindi la modalità di utilizzo potrà cambiare. Una possibilità ragionevole, per esempio, è quella di aumentare la frequenza del dosaggio da 2 a 3 volte a settimana (testata con buon effetto), o aumentando il dosaggio a 4 o 5mg due volte a settimana. Prima di intraprendere un programma del genere, però, è consigliabile testare il prima citato protocollo standard.
Se interessati all’uso sugli animali, un tipico protocollo di dosaggio per i cavalli consiste in sei iniezioni da 10 mg ad intervalli di 7-10 giorni. Per un trattamento più intensivo, vengono utilizzati 20 mg ogni settimana. Per i cani da corsa, un protocollo tipico è costituito da sei iniezioni da 5 mg presi settimanalmente.
Il TB-500 è stato conosciuto inizialmente per la sua capacità di promuovere la ricrescita almeno parziale dei capelli in uomini con calvizie, e per scurire almeno una parte dei capelli grigi. È stato osservato anche essere efficace nel aumentare la massa muscolare nei cavalli. Quest’ultimo effetto può essere dovuto all’azione di promozione della differenziazione delle cellule satellite. I Culturisti che hanno usato TB-500 per scopi curativi non hanno generalmente riportato un tale effetto. Tuttavia, potrebbe essere che l’effetto si è verificato, ma è stato attribuito ad altre cause, o tale effetto non si è verificato perché TB-500 è in genere utilizzato solo quando l’atleta è infortunato, e cioè in momenti non particolarmente favorevoli all’ottenimento di migliori guadagni di massa. L’utilizzo del TB-500 allo scopo di aumentare i guadagni di massa magra non è l’ideale, ma durante il suo utilizzo le parti del corpo infortunate otterranno un marcato beneficio. Può anche avere un effetto protettivo sulle parti del corpo deboli (ancora illese). In definitiva, durante l’uso del TB-500 non bisognerebbe avere aspettative sulla crescita o la “qualità” muscolare.

Per concludere, si è visto che il TB-500 è un peptide che può essere molto utile per la guarigione delle lesioni, sia acute che croniche, e per il trattamento delle tendinite. Si può anche migliorare la flessibilità la dove questa è stata compromessa da una lesione, e in alcuni casi ha parzialmente promosso la ricrescita dei capelli persi. Come detto in precedenza, il protocollo ordinario di TB-500 consiste nell’assunzione di 2 o 2,5mg iniettati due volte alla settimana per 4-6 settimane, seguiti da iniezioni mensile o bimensili di 2 o 2,5 mg a seconda delle necessità.

Gabriel Bellizzi

Approfondimenti:

• Articolo sull’uso della timosina beta4 Una proteina naturale contro l’infarto del miocardio sul quotidiano di informazioni scientifiche on line “Salute Europa”, del 29 novembre 2004 (riferisce di un articolo pubblicato sulla rivista Nature del 25 novembre 2004).
• Articolo sull’uso della timosina alfa1 (Vera Martinella, Un nuovo farmaco contro il melanoma, Corriere della Sera del 12 luglio 2007).
• (ES) Storia della timosina sul sito della rivista scientifica on-line Creces.
http://www.ncbi.nlm.nih.gov/pubmed/?term=thymosin+beta-4

 

MGF E PEG-MGF (MECHANO GROWTH FACTOR AND PEGYLATED MECHANO GROWTH FACTOR): AZIONI E APPLICAZIONI

 

pegmgf
Fattore di Crescita Meccanico (MGF)

 

 

L’MGF, conosciuto principalmente come IGF-1 Ec, è una isoforma dell’ IGF-1 (Fattore di crescita insulino-simile 1). L’MGF ( Fattore di Crescita Meccanico ) prende questo nome in quanto si è riscontrato attivarsi in risposta a stimoli muscolari meccanici. Venne scoperto nel tessuto muscolare da Goldspink, et al.
A differenza dell’ IGF-1 non circola sistematicamente nell’organismo, si attiva in loco ed esplica la sua funzione a livello locale stimolando la maturazione e la crescita oltre che delle cellule muscolari già esistenti anche delle cellule satellite quiescenti, promuove inoltre la sintesi proteica oltre che il trasporto del glicogeno all’interno delle cellule bersaglio stesse. È quindi imputabile alla sua presenza sia ipertrofia che iperplasia delle cellule muscolari scheletriche.(1) Inoltre, differisce principalmente dal IGF-1 “regolare” dalla sua sequenza C-Terminale. Nel muscolo umano, un inserto 49-base cambia la fase di lettura del fattore di crescita meccanico (MGF) rispetto al IGF-1.

Il fegato produce 2 tipi di MGF varianti sequenziali dell’IGF:

1) IGF-1Ec: questa è la prima variante sequenziale dell’IGF rilasciata e sembra stimolare l’attivazione delle cellule satellite. Questa è la variante più vicina al MGF sintetico.
2) IGF-IEa: questa è la seconda variante dell’IGF rilasciata dal fegato, ed è molto meno anabolizzante.

L’MGF differisce dalla seconda variante IGF-IEa in quanto possiede una diversa sequenza peptidica che è responsabile dell’attivazione delle cellule satellite nel muscolo scheletrico; in altre parole, è più anabolizzanti ed agisce più a lungo del rilascio sistematico della seconda variante epatica del MGF.
Quindi, basta pensare al MGF come una variante altamente anabolizzante di IGF. Dopo essersi allenati duramente (stimolo meccanico), il gene IGF è modificato nella sua sequenza nella variante MGF che provoca l’ipertrofia e la riparazione del danno muscolare locale attivando le cellule staminali muscolari nonché altri importanti processi anabolici, compresa la sintesi proteica sopra menzionato, e una maggiore ritenzione di azoto.
Alcuni studi effettuati sui ratti hanno mostrato un aumento del 20% della massa muscolare in seguito ad una sola iniezione di MGF. In particolare, uno studio sui roditori ha mostrato che, una singola iniezione intramuscolare di MGF ha determinato un aumento del 25% nella zona di sezione trasversale delle fibre muscolari in media entro tre settimane. (2) Utilizzando un protocollo simile, l’IGF-1 di derivazione epatica in quattro mesi ha prodotto un aumento del 15%. (3)
Da quanto osservato sembrerebbe anche che l’età ricopri un ruolo importante nella risposta al MGF, dal momento che i giovani hanno una migliore capacità di rispondere alla molecola. (4) Nei soggetti anziani l’esperienza ha invece mostrato una ridotta risposta al MGF che si traduce in una minore capacità di stimolare la crescita di nuovo tessuto muscolare.

Con le parole dell’uomo conosciuto come il padre della ricerca sul MGF:

“MGF è … un ottimo candidato per il doping genetico per il miglioramento delle prestazioni atletiche.” (1)

Quando ci si allena duramente, ciò che accade ai muscoli è il loro esaurimento, le cellule sono danneggiate, il tessuto muscolare deve essere riparato e il corpo produce 2 tipi di MGF varianti sequenziali (come visto in precedenza). La prima versione iniziale della suddetta variante “1” del fegato aiuta il recupero delle cellule muscolari, dal momento che se non c’è MGF le cellule muscolari morirebbero.
Dal momento che il muscolo è un tessuto post-mitotico, la sostituzione delle cellule non è un mezzo di riparazione dei tessuti, e se le cellule non vengono riparate muoiono e i muscoli diventano più piccoli e più deboli. Nel tessuto muscolare, il pool delle cellule staminali è apparentemente stimolato dall’azione del MGF, che è prodotto da un impulso successivo al danno muscolare.

mgfg
Ora, con iniezioni localizzate di MGF sintetico è possibile aumentare la velocità del recupero, aumentare le cellule del tessuto muscolare, stimolando le cellule satelliti a piena maturazione. In termini di dosi, 200mcg iniettati bilateralmente nei muscoli allenati (esempio 100mcg per bicipite) risulta la scelta di dosaggio migliore.
Il problema principale con l’uso del MGF è la sua breve durata d’azione. La sua emivita si aggira intorno ai 5-7 minuti. Per questo motivo deve essere utilizzato immediatamente dopo l’allenamento (nel giro di 30 minuti) poiché la sua funzione si esplica sul tessuto muscolare danneggiato. Alcuni attendono che l’azione del MGF endogeno termini prima di iniettare la versione sintetica, nel tentativo di “sfruttare” l’azione di entrambi; ciò vuol dire che l’atleta in questione attende circa 30 minuti prima di iniettare l’MGF esogeno.
L’IGF-1 interagisce negativamente con l’azione diretta del MGF smorzandone gli effetti per via della competizione recettoriale. Ciò vuol dire che i tempi di iniezione dei due peptidi dovrebbero essere separati: subito dopo il workout si somministra l’MGF e, successivamente all’esaurimento dell’azione di quest’ultimo si procede alla somministrazione dell’IGF-1.

Per sopperire alla breve durata d’azione del MGF, è stata aggiunta una molecola di glicole polietilenico – un aditivo non tossico – , con azione di rivestimento protettivo, così da permettere al MGF di raggiungere il flusso sanguineo e migrare in tutti i tessuti ed avere così una durata d’azione di circa 24 ore.
Questa modifica (detta anche pegilazione) permette alla molecola di MGF di agire in maniera sistemica, ovunque vi sia un danno muscolare e non solo nel muscolo dove è stato iniettato.

 

pegmgf
PEG MGF

Il PEG MGF vede la sua migliore applicazione d’uso nei giorni di recupero (non allenamento) e/o nelle 24 ore tra la fine di un duro allenamento ed un altro. In seguito al danneggiamento muscolare, si viene a creare una proliferazione dei recettori del MGF, e gli effetti sono sistemici e profondi. Tutti i muscoli saranno supportati nel recupero attraverso una maggiore ritenzione di azoto, turnover proteico, e l’attivazione delle cellule satellite.
Nonostante quanto detto prima sul’interazione tra MGF ed IGF-1, il PEG MGF risulta funzionare molto bene in combinazione con l’IGF-1 a lunga durata d’azione. Poiché l’affinità recettoriale del IGF è molto forte, una co-somministrazione dei due peptidi (MGF e IGF) risulterebbe sfavorevole per l’azione del MGF, almeno sulla carta (la scienza supporta questa affermazione). Tuttavia, ulteriori prove sul campo condotte su atleti, hanno mostrato un azione favorevole con la co-somministrazione di PEG MGF e IGF1-LR3 o DES. L’uso combinato di MGF e IGF-1 LR3 risulta molto funzionale come “bridge” tra i cicli di AAS o durante la PCT per prevenire la perdita di massa muscolare e accelerare il recupero.
Anche se la scienza sembra fornire dati impressionante su carta, nel mondo reale, si vede qualcosa di totalmente diverso. Mentre il PEG MGF avrebbe dovuto teoricamente dare agli atleti risultati migliori rispetto al MGF regolare, in realtà difficilmente si riesce a raggiungere gli stessi risultati ottenuti con il classico MGF, anche con un dosaggio più alto (a giudicare dagli atleti seri con cui ho personalmente parlato).
Questo non vuol dire che il PEG MGF sia inutile, anzi. Sulla base delle evidenze sul campo, e sulle conversazioni con diversi atleti e culturisti, il miglior uso del PEG MGF si ha in congiunzione con (non al posto di) l’MGF regolare (e IGF). Utilizzare il PEG MGF nei giorni di riposo e l’MGF nei giorni di allenamento è una scelta funzionale.
Un protocollo correttamente pianificato potrebbe essere composto da una dose di 400-500mcg di PEG MGF nei giorni di riposo, e una dose di 200mcg di MGF con 100mcg di IGF-1LR3 nei giorni di allenamento (post-workout).

Per la maggior parte degli atleti con cui ho parlato e lavorato, questo protocollo è risultato una delle scelte migliori.

 

Quindi, ricapitolando, il PEG MGF risulta un prodotto da usare sempre in combinazione con un ciclo di IGF + MGF, e mai al posto del MGF regolare.
mgf-mechano-growth-factor-2mg-uk-peptides-com-69-900x900
Sia l’MGF che il PEG MGF vengono venduti in flaconcini (vial) contenenti la polvere che deve essere ricombinata con acqua batteriostatica. Generalmente, risulta ottimale ricombinare 2mg di polvere con 1ml di acqua batteriostatica. Una volta ricombinato, il prodotto può essere conservato in frigo per circa sei mesi. Bisogna evitare l’esposizione del prodotto a fonti di calore o alla luce del sole.

Tuttavia, l’MGF non si limita ad essere un brillante aiuto per gli atleti. Esso ha un grande ruolo da svolgere in ambito mendico per il trattamento dei pazienti colpiti da degenerazioni muscolari.

Per concludere, come sempre evitate il “fai da te” e assicuratevi della qualità del prodotto acquistato.

Gabriel Bellizzi

Riferimenti:

1. British Journal of Sports Medicine 2005;39:787-788; doi:10.1136/bjsm.2004.015826 © 2005 by BMJ Publishing Group Ltd & British Association of Sport and Exercise Medicine
2. Goldspink G, Yang SY. Method of treating muscular disorders. United States Patent. Patent No US 6,221,842 B1, Apr 24 2001.
3. Barton-Davis E, Shoturma DI, Musaro A, et al. Viral mediated expression of insulin-like growth factor-I blocks the aging-related loss of skeletal muscle function. Proc Natl Acad Sci USA 1998;95:15603–7
4. J Physiol (2003), 547.1, pp. 247-254© Copyright 2003 The Physiological SocietyDOI: 10.1113/jphysiol.2002.032136

Follistatina: storia, studi e applicazioni

Storia e studi sulla Follistatina

FST.jpg
Follistatina (FST)

La Follistatina , anche nota come proteina activina-legante (activin-binding protein), è una proteina codificata nell’essere umano come gene FST.[1,2] .
La Follistatina è una glicoproteina autocrina che viene espressa in tutti i tessuti degli animali superiori . La sua funzione primaria è la bio neutralizzazione di legame dei membri della superfamiglia TGF-β, con un particolare focus sull’activina, un ormone paracrino.
Un nome usato in precedenza per questa proteina era FSH-suppressing protein (FSP). Al momento del suo iniziale isolamento dal liquido follicolare, è stata osservata inibire la secrezione dall’ipofisi anteriore dell’ormone follicolo-stimolante (FSH).
La Follistatina fa parte dell’Asse inibina-activina-follistatina. Le isoforme FS-288 e FS-315, sono note per essere create dalla splicing alternativa della trascrizione primaria dell’mRNA. L’isoforma FS-300 (Follistatina suina) si ritiene essere il prodotto di modificazione post-traslazionale mediante troncamento del dominio C-terminale della catena di aminoacidi primaria. 
Il singolo gene FST può anche essere codificato in due isoforme, FST317 e FST344 contenenti, rispettivamente, 317 e 344 aminoacidi, derivanti dallo splicing alternativo dei precursori dell’mRNA.

Quindi, ci sono vari tipi di Follistatina e tutti hanno funzioni diverse. Per quanto ne sappiamo, solo la Follistatina-344 è attiva nel tessuto muscolare.
Sebbene la Follistatina sia onnipresente la sua concentrazione più alta è stata individuata nell’ovaio femminile, seguito dalla pelle.

 

ipofisi
La Follistatina proteina activina-legante è prodotta dalle cellule folliculostellate (FS), cellule situate nell’Ipofisi anteriore. Le cellule FS sono connesse con le classiche cellule endocrine dell’Iopofisi anteriore comprese quelle gonadotrope.


Nei tessuti l’activina ha un importante ruolo nella proliferazione cellulare, rendendo in tal modo l’azione della Follistatina una salvaguardia contro la proliferazione cellulare incontrollata agendo anche come strumento di differenziazione cellulare. Entrambi questi ruoli sono fondamentali per la ricostruzione e la riparazione dei tessuti, e possono spiegare l’alta presenza di Follistatina nella pelle.

 

activina
Activina

Nel sangue, l’activina e la Follistatina sono entrambi noti per essere coinvolti nella risposta infiammatoria seguente lesione dei tessuti o incursioni patogene. La fonte della Follistatina nel plasma deve ancora essere determinata, ma a causa della sua natura autocrina si pensa possa essere rintracciabile nelle cellule endoteliali che rivestono tutti i vasi sanguigni, o nei macrofagi e nei monociti che circolano nel sangue.

 

progesterone
La Follistatina è coinvolta nello sviluppo dell’embrione. Ha azione inibitoria sulle proteine morfogenetiche dell’osso (BMP); le BMP inducono l’ectoderma a diventare ectoderma epidermico. L’inibizione delle BMP permette al neuroectoderma di derivare dall’ectoderma, un processo che alla fine costituisce la piastra neurale. Altri inibitori coinvolti in questo processo sono le proteine Noggin e Chordin.
Follistatina e BMP sono anche note per svolgere un ruolo nella follicologenesi all’interno dell’ovaio. Il ruolo principale della Follistatina nell’ovaio estro/mestruale, finora, sembra essere la progressione del follicolo da antrale a antrale/dominante, e soprattutto la promozione della differenziazione estrogena nella produzione delle cellule granulose (GC) del follicolo dominante nella produzione del Progesterone nelle grandi cellule luteina (LLC) del corpo luteo.

follistan-picture.gif
La Follistatina è attualmente in fase di studio per il suo ruolo nella regolazione della crescita muscolare nei topi, come antagonista della Miostatina (nota anche come GDF-8, un membro della superfamiglia TNF) che inibisce la crescita muscolare eccessiva. Lee & McPherron hanno dimostrato che l’inibizione della GDF-8, sia per eliminazione genetica (topi knockout) o per aumento della quantità di Follistatina, provoca un notevole aumentato della massa muscolare.[3][4]
Nel 2009, la ricerca sui macachi ha dimostrato che la regolazione della Follistatina attraverso la terapia genica ha portato anche alla crescita muscolare e ad aumenti di forza. Questa ricerca ha aperto la strada per gli studi clinici sull’uomo. 

Precedenti studi clinici tesi ad aumentare la massa – e conseguentemente la forza – muscolare sono stati condotti in pazienti affetti da distrofia di Becker e da distrofia facio-scapolo-omerale, utilizzando alcune sostanze in grado di bloccare l’azione della Miostatina in maniera specifica e selettiva (ad esempio mediante l’uso di un anticorpo contro la Miostatina, il MYO-29). Tali studi non hanno dato gli esiti attesi, nonostante i risultati promettenti ottenuti nei modelli murini di malattia (sul topo) e nonostante il farmaco fosse stato ben tollerato dai pazienti.
Questi risultati dubbi hanno più recentemente indotto a valutare l’effetto di altre proteine, inibenti l’azione della Miostatina. Tra queste, appunto, la Follistatina , che impedisce il legame della Miostatina con il suo recettore e a mostrato una maggiore efficacia rispetto ad altre sostanze “anti-Miostatina”.

bonekey20100423-f2
In aggiunta alla soppressione delle proprietà degenerative della Miostatina, la Follistatina sopprime anche la sintesi e la secrezione da parte della ghiandola pituitaria dell’ormone follicolo-stimolante (FSH). [6] Alti livelli di FSH nell’uomo sono indicatori di una irregolarità nella funzione testicolare.


Uno studio ha anche dimostrato che l’aumento dei livelli di Follistatina conduce ad un aumento della massa muscolare di alcuni gruppi muscolari principali, e può aumentare l’aspettativa di vita nei casi di atrofia muscolare spinale (SMA) in modelli animali.[5]
E ‘inoltre in fase di studio per il suo coinvolgimento nella sindrome dell’ovaio policistico (PCOS), anche se c’è un dibattito in merito al suo ruolo diretto in questa malattia.

Uso della Follistatina nel BodyBuilding
follistatin-344-1mg-500x500

La Follistatina, in particolare la Follistatina 344 (FS344), ha rapidamente guadagnato popolarità nella comunità del BodyBuilding iniziando ad essere conosciuta dal “grande pubblico”. Infatti, non poteva passare inosservata la sua azione inibitoria sulla Miostatina, grande limitatore della crescita muscolare.
Come ben sappiamo, La miostatina è una proteina scoperta nel 1997 da un gruppo di scienziati guidati da Alexandra McPherron e Se-Jin Lee alla Johns Hopkins University. Essa risulta essere il fattore che limita la crescita muscolare negli esseri viventi. Prodotta soprattutto dalle cellule del muscolo scheletrico, come abbiamo visto la sua attività viene regolata da un inibitore chiamato Follistatina. In breve, la Miostatina regola la crescita dei muscoli del nostro corpo, impedendo una crescita di questi oltre un certo limite genetico (individuale). Quindi, di conseguenza, un inibizione dell’azione della Miostatina indotta dalla supplementazione di Follistatina permetterebbe ad un atleta di raggiungere una maggiore crescita muscolare, limitando ulteriormente i fattori omeostatici.


Tutti noi conosciamo gli stratagemmi messi in atto dal corpo per mantenere l’omeostasi durante un ciclo di ASS, in special modo dopo la 4° settimana: aumento dell’ACTH e del Cortisolo, aumento degli Estrogeni, ecc… . In uomini trattati con dosi crescenti di Testosterone, è stato osservato che i livelli di Miostatina erano significativamente più alti dal giorno 56 rispetto al basale, sia negli uomini giovani che meno giovani; cambiamenti nei livelli di Miostatina erano significativamente correlati con i cambiamenti del Testosterone totale e libero negli uomini giovani. In questo caso la Follistatina risulterebbe di grande impatto nell’alterazione positiva dei fattori di azione/reazione del corpo.

 

trichostatin-a-tsa-chemical-structure-s1045
Trichostatina (TSA) 

Alcuni inibitori della Miostatina, come la Trichostatina A (TSA), richiedono la somministrazione giornaliera, mentre un aumento dei livelli di FS344 hanno mostrato un efficacia fino a 15 mesi dopo la prima iniezione. La mancata necessità di somministrazione giornaliera rende la follistatina una valida alternativa per la soppressione della Miostatina.

 


La Follistatina “human-grade”è piuttosto costosa; parliamo di 4.500$ per 1mg![6] E questa cosa mi fa pensare sulla reale qualità della Follistatina commercializzata. Nei siti dove viene venduta la Follistatina è indicato il suo uso solo in ambito animale e non umano. Tuttavia, ne i costi ne le indicazioni hanno impedito ai BodyBuilders di reperirla e sperimentare sulla loro pelle gli effetti di questa molecola.
Solitamente, gli atleti che utilizzano la Follistatina (FS344) nelle loro preparazioni la assumono in iniezioni localizzate di 100 microgrammi (mcg) al giorno dai 10 ai 30 giorni. La FS viene anche inserita nei periodi di stacco dagli AAS in combinazione con peptidi o in PCT.
Quando acquistata, generalmente viene consigliato di ricostituire la Follistatina liofilizzata sterile in una soluzione non inferiore a 100 microgrammi/ml.
La Follistatina liofilizzata rimane stabile a temperatura ambiente per 3 settimane, deve essere conservato ad una temperatura inferiore ai 18 ° C. Dopo la ricostituzione la FS deve essere conservata a 4 ° C per 2-7 giorni.
Per la conservazione a lungo termine si consiglia di aggiungere una proteina carrier (0,1% HSA o BSA). Si consiglia di evitare di congelare e scongelare la soluzione.


Alcuni utilizzatori hanno sperimentato questa molecola a dosi superiori ai 200 mcg/die, ma gli effetti non sono risultati maggiori rispetto al dosaggio standard. Ci sono stati diversi casi nei quali non si è verificato alcun effetto (e qui ritorniamo alla dubbia qualità della FS venduta). Alcuni utilizzatori dichiarano effetti miracolosi dopo la somministrazione di FS344; effetti difficilmente attribuibili alla sola somministrazione di FS344 (mancanza di controllo scientifico e di uso in monoterapia). Esaminando le abitudini dei singoli atleti si nota un aumento dell’appetito e un consequenziale aumento dell’introito calorico. Alcuni di loro sono passati da 4.000 a oltre 6.000Kcal giornaliere.
Come tutti sanno, ogni volta che si aumenta notevolmente l’apporto calorico sopra il fabbisogno calorico giornaliero, si va incontro ad un aumento di peso. Gli utilizzatori che hanno inserito l’FS344 in una fase di “definizione” non hanno osservato alcun aumento della perdita di grasso o della percentuale di mantenimento della massa magra rispetto al suo non utilizzo. E’ interessante notare che gli utilizzatori di FS344 la usano in combinazione con AAS o altri farmaci. Per questi motivi è molto difficile stabilire la reale efficacia della FS negli atleti che l’hanno fino ad oggi sperimentata (soprattutto se si tratta di soggetti poco più che principianti e/o affetti da “placebismo cronico”)

Conclusioni

Si sa molto poco di questa proteina e dei suoi effetti, anche sul breve/medio termine; anche se rimane senza dubbio una sostanza promettente per il trattamento di malattie neuromuscolari.
Come già detto, dubito fortemente della qualità (o legittimità) della maggior parte della Follistatina venduta in rete, come dubito della maggior parte dei venditori.
Degli integratori anti-Miostatina commercializzati, prodotti utilizzando tuorli d’uovo fecondati e quindi ricchi di Follistatina, anche se alcuni ne esaltano i benefici riportando la massima di Gironda, il quale consumava 36 uova (fertilizzate) al giorno, penso che bisogna rimanere con i piedi per terra e il portafoglio debitamente chiuso. Non sto dicendo che non possano avere una applicazione utile, ma non fatevi strane idee…la crescita muscolare e il miglioramento delle prestazioni sono dipendenti da una miriadi di fattori, sono un calcolo a più variabili che non può essere in alcun modo limitato ad un solo fattore. La chiave del miglioramento è nella conoscenza delle proprie (se si è semplici atleti) e/o delle altrui (se si è preparatori) risposte psico-fisiche così che si possa agire con oggettiva consapevolezza.
Se volete “sperimentare” questa molecola fatelo affiancati da personale qualificato che sappia valutare e gestire un suo uso.

Gabriel Bellizzi

Note:


1. Jump up ^ Ueno N, Ling N, Ying SY, Esch F, Shimasaki S, Guillemin R (December 1987). “Isolation and partial characterization of follistatin: a single-chain Mr 35,000 monomeric protein that inhibits the release of follicle-stimulating hormone”. Proc. Natl. Acad. Sci. U.S.A. 84 (23): 8282–6. doi:10.1073/pnas.84.23.8282. PMC 299526. PMID 3120188.
2. ^ Jump up to: a b Tortoriello DV, Sidis Y, Holtzman DA, Holmes WE, Schneyer AL (August 2001). “Human follistatin-related protein: a structural homologue of follistatin with nuclear localization”. Endocrinology 142 (8): 3426–34. doi:10.1210/en.142.8.3426. PMID 11459787.
3. Jump up ^ Lee SJ, McPherron AC (2001). “Regulation of myostatin activity and muscle growth”. Proc. Natl. Acad. Sci. U.S.A. 98 (16): 9306–11. doi:10.1073/pnas.151270098. PMC 55416. PMID 11459935.
4. Jump up ^ “‘Mighty mice’ made mightier”. Retrieved 2008-02-26.
5. Jump up ^ Rose FF, Mattis VB, Rindt H, Lorson CL (December 2008). “Delivery of recombinant follistatin lessens disease severity in a mouse model of Spinal Muscular Atrophy”. Hum. Mol. Genet. 18 (6): 997–1005. doi:10.1093/hmg/ddn426. PMC 2649020. PMID 19074460. Retrieved 2008-12-17.
6. “Follistatin, Human Recombinant.” BioVision Inc. Np, 2015.

DOSI ELEVATE DI TESTOSTERONE E GRASSO CORPOREO

 

tenantaat
Testosterone Enantato

 

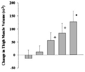
Maggiore è il testosterone somministrato agli uomini,  più grasso questi perderanno. Endocrinologi canadesi e americani descrivono l’effetto di uno studio in cui hanno somministrato ad una cinquantina di uomini sani diverse dosi di testosterone Enantato per venti settimane. (1)

Il Testosterone aumenta la massa magra, e quindi anche la massa muscolare. Più massa muscolare significa anche un maggior dispendio energetico, cosa che coinvolge anche l’uso della massa grassa come substrato energetico. Gli effetti della terapia con Testosterone sulla composizione corporea sono ben noti, ma questi effetti sono uguali per tutte le parti del corpo? Questa è la domanda alla quale i ricercatori hanno cercato di dare una risposta- in particolare per ciò che concerne la massa grassa. Per fare questo hanno somministrato a uomini sani di età compresa tra i 18 ed i 35 anni un’iniezione settimanale di 25.5, 125, 300 o 600 mg di Testosterone Enantato per un periodo di venti settimane. I ricercatori hanno anche somministrato ai soggetti dello studio un GnRH-agonista affinché venisse disattiva la loro produzione di Testosterone endogena.

Le dosi settimanali di 25.5 e 50 mg di Testosterone Enantato hanno determinato un livello di Testosterone più basso del normale. La dose di 125 mg ha determinato un livello di Testosterone più o meno normale, mentre i soggetti che avevano assunto 300 e 600 mg hanno sperimentato livelli di Testosterone sovrafisiologici.

Più alto è il dosaggio, più i soggetti presentavano una migliore composizione corporea con maggiore massa magra. La massa magra, si compone di fluidi, del volume ematico, della massa ossea e dalla massa muscolare.

tfat

Le dosi somministrate che hanno portato a livelli di testosterone inferiori rispetto al normale hanno portato ad un aumento della massa grassa. Le dosi sovra fisiologiche invece hanno portato ad una riduzione della massa grassa.

tfat2.gif

Un basso livello di Testosterone favorisce la deposizione del grasso nella zona addominale. Le dosi sovrafisiologiche impediscono l’accumulo del grasso nella zona addominale, ma riducono solo di una piccola parte la quantità di grasso (attività lipolitica connessa al legame con in recettori AR dell’adipocita). Questo vale sia per il grasso sottocutaneo che per quello viscerale.

tfata.gif

Le dosi sovrafisiologiche mostrano di causare una riduzione del grasso sugli arti. In particolare, il grasso intramuscolare è ridotto.

tfatab.gif


I ricercatori non hanno esaminato come alte dosi di Testosterone riducano la quantità di grasso. Essi ipotizzano che il Testosterone saboti gli enzimi responsabili dell’immagazzinamento degli acidi grassi nelle cellule adipose e inibisca lo sviluppo delle cellule adipose di nuova formazioni.

Gabriel Bellizzi

Riferimenti:

1- http://jcem.endojournals.org/cgi/content/abstract/89/2/718

Crescita muscolare e connessione con gli estrogeni

arimidex

In uno sport dove l’uso di ormoni è diffusissimo, non è irragionevole supporre che i praticanti posseggano una vasta conoscenza di tali ormoni, in particolare quelli che vengono prodotti naturalmente nel corpo umano. Eppure, quando si tratta di crescita muscolare, pochi ormoni sono stati così fraintesi come gli estrogeni. Alla fine degli anni ‘90, quando il primo A.I di 3° generazione (Anastrozolo) faceva il suo debutto, gli estrogeni sono stati considerati così essenziale per il processo di crescita che l’uso off-season degli inibitori dell’aromatasi, in qualsiasi quantità, non era visto di buon occhio.

bbgyno

Con questa mentalità adottata dalla maggior parte degli atleti, l’aromatizzazione era vista come un fatto puramente positivo, con tutte le preoccupazioni di un eccesso estrogenico accantonate a semplici paranoie. Certo, il Nolvadex è stato regolarmente impiegato come trattamento anti-gyno, ma essendo sito recettore specifico, il composto non ha alcuna azione volta a rallentare il tasso di conversione degli androgeni in estrogeni. Per questo motivo, non era raro vedere molti Bodybuilder di alto livello con una tale quantità di ritenzione idrica sufficiente a riempire una vasca per i pesci over-size. Il consenso generale era che i livelli di estrogeni elevati erano buoni; e se un po’ di estrogeni  erano buoni, più estrogeni erano anche meglio.

Anche se gli effetti collaterali cosmetici degli estrogeni erano ben noti, la maggior parte degli individui di quel periodo possedeva solo una conoscenza parziale dei meccanismi attraverso i quali gli estrogeni influenzano la crescita muscolare. Ciò ha portato a molte conclusioni errate, in particolare per quanto riguardava il livello di estrogeni ottimale. Mentre la maggior parte credeva che ci fosse un punto di rendimenti decrescente in cui gli estrogeni supplementari apportavano ulteriori benefici, nessuno sapeva davvero dove tale linea si collocava. Per questo motivo molti utilizzatori di steroidi hanno tentato di scoprire ciò, consentendo una conversione incontrollata degli androgeni in estrogeni.

 

estrogeni

 

Data la mentalità odierna, è facile capire perché un eccesso della soppressione degli estrogeni era una preoccupazione (e lo rimane tutt’oggi), ma con molti Bodybuilder che utilizzavano grammi di AAS aromatizzabili su base settimanale, i livelli di estrogeni erano spesso ad un livello marcatamente fuori del range di normalità, arrivando a raggiungere livelli di 10-20x superiori il limite massimo considerato normale. E’ lecito accettare che un atleta non voglia perdere i possibili benefici di un elevato livello di estrogeni (vedi , per esempio, proliferazione dei recettori degli androgeni), ma viene difficile giustificare un livello fuori range come quello citato pocanzi. Comunque sia, non tutti pensavano che tali livelli esageratamente alti di estrogeni fossero più vantaggiosi rispetto ai livelli più moderati, ma era l’ignoranza riguardo gli effetti degli inibitori dell’aromatasi negli uomini che ha portato molti a rinunciarvici completamente.

 

femara1
 Il Femara (nome commerciale del Letrozolo) è considerato l’A.I. più potente; negli uomini è in grado di abbassare rapidamente il livello degli estrogeni del 65%. Ciò potrebbe essere legato alla sua capacità di legame reversibile  al gruppo eme del Citocromo P450.

 

A causa della mancanza di una ricerca clinica che dimostrasse gli effetti degli AI nei maschi adulti sani, la maggior parte dei culturisti presunse che anche basse dosi di Anastrozolo (Letrozolo e Exemestane non era ancora stati rilasciati)  avrebbero influenzato gli estrogeni allo stesso modo come nelle donne, con una riduzione dei livelli degli estrogeni circolanti del 95% o +. Ovviamente, questo sarebbe stato un problema e, di conseguenza la maggior parte dei culturisti ritenne che fosse nel loro interesse, dal punto di vista della crescita, mantenere un livello estremamente elevato di estrogeni, piuttosto che spazzare via questi ultimi quasi del tutto perdendo  i loro benefici.

Una mancanza di ricerca clinica non era l’unica ragione per la quale i culturisti scelsero di intraprendere questa strada. Parte della colpa va attribuita alla errata interpretazione di prove nel mondo reale. Un effetto collaterale comune di un livello elevato di estrogeni, che diventa più pronunciato quanto più i livelli aumentano, è la ritenzione idrica. In alcuni casi la ritenzione idrica può diventare abbastanza pronunciata, tanto da portare ad un notevole aumento di peso e anche ad una maggiore resistenza tramite una migliore idratazione. Tuttavia, essendo difficile distinguere completamente tra il peso dell’acqua e quello del  tessuto magro, molti scambiavano questo aumento di massa e forza, almeno in parte, ad un effettivo aumento della massa muscolare magra. A questo si aggiunge il fatto che la massa e la forza tendevano a diminuire con l’inizio dell’assunzione degli  A.I., e da ciò possiamo capire il perché molti si convinsero del fatto che gli inibitori dell’aromatasi abbiano un impatto negativo sulla crescita muscolare.

46343918-l-aterosclerosi-formazione-striscia-grassi-nelle-arterie-cerebrali

 

Anche se il dibattito continua ancora oggi, la maggior parte dei Bodybuilder non è più convinta che queste concentrazioni estremamente sovrafisiologiche di estrogeni siano necessarie per massimizzare la crescita. In verità, noi non conosciamo il punto esatto in cui i benefici degli estrogeni sono massimizzati, in quanto vi sono molteplici vie, sia dirette che indirette, attraverso le quali gli estrogeni possono influenzare positivamente la crescita muscolare. Eppure, ci sono alcune prove che suggeriscono che i livelli di estrogeni leggermente elevati (appena sopra il range massimo) sono necessari per massimizzare tutti questi vantaggi. Tuttavia, si dovrebbe tenere a mente che il mantenimento dei livelli di estrogeni anche un po’ al di fuori del range di normalità aumenta notevolmente il rischio di sviluppare aterosclerosi, un forte fattore di rischio per infarto e ictus. Allo stesso tempo, i benefici della crescita connessi ad un così fatto aumento degli estrogeni sarà probabilmente minore, nel migliore dei casi, soprattutto se confrontato con i livelli di estrogeni che sono già nel range superiore al normale.

Conoscendo ora l’importanza degli estrogeni per i Bodybuilder, quali sono alcuni dei modi attraverso i quali gli estrogeni possono contribuire a promuovere la crescita muscolare? A differenza del Testosterone e di altri AAS, gli estrogeni non stimolano direttamente la crescita muscolare attraverso l’attivazione degli A.R. . Piuttosto, aiutano a stimolare il recupero e la crescita attraverso altri meccanismi, uno dei quali è l’aumento dei livelli di IGF-1.

 

2gf1
Fattore di Crescita Insulino Simile di Tipi I (IGF-1)

 

Dopo un allenamento intenso, l’ipertrofia del muscolo scheletrico è regolata da almeno tre grandi processi molecolari. Questi includono l’attività delle cellule satellite, la trascrizione genica, e la sintesi delle proteine, e tutti e tre sono fortemente influenzate dal IGF-1. L’ IGF-1 aumenta anche la a-actina, l’espressione del mRNA e la sintesi proteica e contemporaneamente migliora il trasporto dei nutrienti attraverso la sua attività insulino-simile. Ottimizzando i livelli di estrogeni, sono supportati i principali processi di costruzione del muscolo, portando ad un aumento del tasso di sintesi del tessuto muscolare.

Gli estrogeni svolgono anche un ruolo nella sintesi dell’ormoni della crescita, i cui effetti sul muscolo e sulla  lipolisi sono stati ben documentati. La linea di fondo è che senza un adeguato livello degli estrogeni, i livelli di ormone della crescita ne soffriranno, rendendo più difficile sia il guadagno di massa muscolare sia la perdita del grasso corporeo. Come ulteriore vantaggio, gli estrogeni favoriscono la crescita dell’espressione del recettore ormonale, potenziando ulteriormente i suoi effetti nel corpo. In parole povere, l’ormone della crescita funziona meglio in presenza di un livello adeguato di estrogeni. 

image12

Un livello adeguato di estrogeni garantisce anche un aumento della traslocazione dei Glut-4. Situato all’interno delle cellule, il Glut-4 è una proteina carrier che trasporta i nutrienti dalla superficie cellulare verso l’interno della cellula, dove possono poi essere utilizzati per il recupero e la crescita. Salvo attivazione, il Glut4 rimane all’interno della cellula, “ibernato” finché esso non riceve un segnale per salire in superficie. Tuttavia, in determinate condizioni il Glut-4 può essere piuttosto ostinato, rifiutandosi di salire nella superficie delle cellule in quantità adeguate, anche in presenza del segnale. Gli Estrogeni migliorano la traslocazione (spostamento) dei Glut-4 alla superficie cellulare, permettendo ad una maggiore quantità di sostanze nutritive di penetrare nella cellula, dove potranno infine essere utilizzate per la crescita muscolare e la riparazione. Ciò ha dei risvolti positivi sulla sintesi di glicogeno .

mtors

Esiste una interazione che pochi conoscono e che incide particolarmente sulla crescita muscolare: l’interazione tra estrogeni e Miostatina. Come uno dei più potenti soppressori della crescita muscolare nel corpo umano, la proteine Miostatina interferisce con il processo di crescita su più livelli, uno dei quali è l’interferenza con l’mTOR. Anche piccoli aumenti di questo composto provocano  catabolismo muscolare rendendo più difficile il mantenimento del tessuto muscolare esistente, per non parlare di aumentare la massa e la forza. Per darvi un’idea di quanto potente sia la Miostatina, animali che sono stati geneticamente modificati per garantire l’assenza del gene della Miostatina hanno mostrato drastici aumentati dei livelli di massa muscolare rispetto ai loro simili geneticamente intatti. In molti casi in questi animali si è verificato un aumento di oltre il 100% del tessuto magro rispetto agli animali non trattati; un aumento enorme per non dire altro.

 

mature_mrna
RNA messaggero (mRNA)

 

Tuttavia, non abbiamo bisogno di essere degli esperti di ingegneria genetica al fine di manipolare i livelli di Miostatina all’interno del corpo. Negli studi clinici volti a valutare gli effetti dell’allenamento sulla Miostatina in uomini e donne, i livelli di estrogeni elevati che si trovano nelle donne hanno mostrato di avere un effetto inibitorio degli effetti sul tessuto muscolare della Miostatina e una sotto-regolazione dei livelli sierici di LAP / propeptide  e dell’espressione della Miostatina riducente l’ mRNA. Questo effetto di sotto-regolazione rende gli estrogeni anti-catabolici e, quindi, una componente importante del processo di crescita.

miosina

Infine, gli estrogeni possono migliorare la contrazione muscolare attraverso un miglioramento della funzione della Miostatina. Mentre i benefici del miglioramento delle prestazioni sono evidenti, un aumento della forza muscolare dovrebbe indirettamente aumentare la crescita muscolare, consentendo all’individuo di gestire pesi più consistenti durante l’allenamento, conferendo in tal modo un maggior stimolo allenante.

Non considerando più gli estrogeni solo come una classe di steroidi “femminili”, il ruolo di questi ormoni nella crescita muscolare è innegabile. Considerabili alla stregua di un agente di crescita con diverse sfaccettature, gli estrogeni lavorano mano nella mano con il Testosterone per massimizzare molti dei processi anabolizzanti chiave del corpo e dei processi anti-catabolici in modo dose-dipendente. Anche se la scienza non ha ancora rivelato la quantità di estrogeni necessaria per massimizzare l’ipertrofia muscolare, i culturisti dovrebbero essere messi in guardia contro l’eccessiva soppressione degli estrogeni, dal momento che  l’evidenza suggerisce che l’attuale tendenza di mantenere i livelli di estrogeni all’interno del range basso, è improbabile che ciò  fornisca tutti i vantaggi dovuti a questi ormoni  sulla costruzione del tessuto muscolare. 

 

Gabriel Bellizzi

 

DOSI ELEVATE DI TESTOSTERONE ED EFFETTI (POSITIVI E COLLATERALI)

 

tenantaat.gif
Testosterone Enantato

 

I giovani che eseguono allenamenti di forza riescono ad aumentare maggiormente la propria massa magra iniettandosi Testosterone Enantato. Più alto è il dosaggio, maggiori sono gli effetti del Testosterone sulla massa muscolare e sulla potenza. I ricercatori americani hanno riferito questo sedici anni fa sul American Journal of Physiology – Endocrinologia e Metabolismo. (1) Gli effetti collaterali di alte dosi di Testosterone non sono eccessivi. Almeno, fino a quando non siete troppo preoccupati per il vostro HDL.

decpy

I ricercatori hanno utilizzato il GnRH-agonista Decapeptyl per disattivare la produzione di Testosterone in sessanta uomini sani di età compresa tra i 18 ei 35 anni con precedenti esperienze nel sollevamento pesi. Poi hanno fatto seguire agli uomini presi in esame un ciclo di venti settimane di iniezioni di Testosterone Enantato. Gli uomini hanno ricevuto una dose settimanale di 25, 50, 125, 300 o 600 mg di Testosterone. Una dose di 25 mg è appena sufficiente a mantenere intatto il funzionamento sessuale maschile. La dose massima di Testosterone che gli uomini possono iniettare settimanalmente senza incorrere in problemi medici acuti è di 600 mg, almeno secondo gli studi pubblicati. Non tutti nel mondo degli steroidi sono d’accordo su tale cifra.

Gli uomini hanno tenuto un diario della loro attività sessuale, ma non c’era alcun segno di eventuali effetti. Stranamente, non faceva alcuna differenza se gli uomini si iniettavano 25 o 600 mg. Lo schema seguente mostra le variazioni relative.

ta

Più alta è la dose di Testosterone, tanto meno massa grassa si sviluppava negli uomini dello studio. E più Testosterone veniva iniettato, maggiore era il numero di chilogrammi che potevano spostare con la Leg-Press. Ci si potrebbe chiedere cosa sarebbe successo se gli uomini avessero ricevuto una dose di 1200 mg di Testosterone Enantato.

TA2.gif

La massa magra è costituita solo in parte dalla massa muscolare. Ma la massa muscolare è aumentata anche con dosi di Testosterone più alte.

TA3.gif

I ricercatori sono più preoccupati per il rapporto tra ormoni anabolizzanti e cancro. Quando si tratta di ormoni androgeni, i ricercatori sono particolarmente preoccupati per gli effetti sulla prostata. Un indicatore della salute della prostata è il Semenogelasi o antigene prostatico specifico (PSA) . Più le concentrazioni di PSA sono alte nel sangue, peggiore è la salute della prostata. Ma gli uomini dello studio che sono stati trattato con iniezioni di Testosterone più elevate non avevano un più alto livello di PSA.

TA4.gif

Le dosi più elevate di Testosterone hanno mostrato solo un aumento poco più consistenti, ma nulla per cui gli uomini dovessero essere preoccupati. [L’effetto è più grave negli uomini anziani.]
Un problema è stato l’effetto di dosi più elevate di testosterone sul colesterolo “buono” HDL.

TA5.gif

I ricercatori concludono comunque che il Testosterone non è una sicuro al cento per cento. Ed è per questo che essi sostengono lo sviluppo dei SARM nella loro conclusione: “I Modulatori Selettivi dei Recettori degli Androgeni che aumentano preferenzialmente la massa muscolare e la forza, ma interessano solo in minima parte i fattori della prostata e il rischio cardiovascolare, sono preferibili.”

Gabriel Bellizzi

Riferimenti:

1- http://ajpendo.physiology.org/cgi/content/full/281/6/E1172