Allenamento contro-resistenza in ipossia

Introduzione

Un metodo “fisiologico” comunemente sfruttato dagli atleti di resistenza per incrementare la capacità di trasporto dell’ossigeno è l’esposizione all’ipossia (ridotta quantità di ossigeno). Quando il corpo umano riceve ridotte quantità di ossigeno si sforza di produrre la stessa quantità di energia con lo scarso ossigeno disponibile. Questo sforzo attiva una serie di adattamenti fisiologici che migliorano l’efficienza del sistema cardiovascolare e respiratorio. Il soggiorno in altura è stato ed è ancora largamente utilizzato dagli atleti di resistenza allo scopo di ottenere una migliore prestazione atletica una volta ritornati a livello del mare o comunque ad una quota inferiore. Mano a mano che si sale a quote elevate, la pressione parziale di O2 nell’aria inspirata, e quindi in quella alveolare, si riduce causando uno stimolo ipossico al quale l’organismo reagisce mediante la secrezione renale di Eritropoietina che stimola la produzione midollare di globuli rossi. Una progressiva acclimatazione a questa situazione dovrebbe perciò condurre automaticamente ad un incremento della massima potenza aerobica dell’atleta, e in effetti ciò è stato ripetutamente verificato anche attraverso studi scientifici. Ma una condizione di ipossia potrebbe portare dei vantaggi anche in atleti allenati contro-resistenza? Secondo lo scienziato spagnolo Ismael Martinez Guardado, gli allenamenti contro-resistenza in un ambiente povero di ossigeno portano a una maggiore massa muscolare e, soprattutto, a una maggiore perdita di grasso rispetto agli allenamenti in un ambiente normo-ossigenato.[1]

Dettagli dello studio

Martinez-Guardado ha reclutato 32 soggetti, i quali non avevano precedentemente praticato allenamenti contro-resistenza, facendoli allenare con i pesi 3 volte a settimana per 7 settimane. I soggetti si sono allenati con il 65-80% del 1RM, si sono riposati per 90 secondi tra le serie e hanno eseguito 3 serie per esercizio. Le routine di allenamento consistevano in Bench Presses, Curl, French press, Row e Squat.

La metà dei soggetti sotto osservazione si è allenata in un ambiente standard. L’altra metà si è allenata in una tenda CAT-430, dove il contenuto di ossigeno nell’aria è stato ridotto al 13% da un generatore di ipossia CAT-12. Normalmente, l’aria è composta per il 20% da ossigeno. L’aria che consiste per il 13% di ossigeno può essere trovata in montagna ad un’altitudine di 4300 metri.

Sia la tenda che il generatore erano prodotti della Colorado Altitude Training.

Durante l’esperimento, tutti i soggetti avevano ridotto il proprio apporto calorico rispetto al basale di mantenimento di circa 250Kcal.

Risultati dello studio

Il gruppo allenato in ambiente ipossico aveva perso 630g di grasso corporeo, mentre il gruppo normo-ossigeno aveva perso 270g di grasso. Il gruppo ipossia aveva ottenuto 760g di massa corporea magra, mentre il gruppo normo-ossigeno ne aveva guadagnati 520g.

Se si osservano le differenze relative tra i due gruppi, [vedi tabella] l’immagine d’insieme diventa più chiara. Quindi si scopre che l’allenamento contro-resistenza in condizione di ipossia porta a una maggiore crescita muscolare e a una maggiore perdita di grasso.

L’esercizio in un ambiente povero di ossigeno non ha avuto alcun effetto sull’aumento della forza muscolare.

Tuttavia, il sangue dei soggetti nel gruppo “ipossia” è diventato più viscoso. Ciò indica una maggiore produzione di globuli rossi. Poiché i globuli rossi trasportano ossigeno, ciò può implicare che la capacità di resistenza dei soggetti in questo gruppo sia aumentata come già osservato negli atleti di resistenza.

Conclusioni

I ricercatori concludono dicendo che l’allenamento contro-resistenza in condizioni ipossiche potrebbe aumentare la massa muscolare e diminuire la massa grassa in modo più efficace rispetto all’allenamento eseguito in normossia, ma senza contribuire a una maggiore forza muscolare.

Peccato che la più grande limitazione del presente studio sia rappresentata dai soggetti reclutati: principianti negli allenamenti contro-resistenza. Vale a dire soggetti i quali subiscono marcati cambiamenti nel breve periodo se sottoposti ad una programmazione sufficientemente logica. Sarebbe stato molto più interessante e utile osservare l’impatto di una modifica sulla variabile dell’ossigenazione durante una seduta di allenamento contro-resistenza svolta da un soggetto esperto in tale pratica sportiva.

Gabriel Bellizzi

Riferimenti:

1- https://doi.org/10.5114/biolsport.2020.93037

Uso di AAS e dipendenza da esercizio fisico intenso.

Introduzione

Generalmente, l’abuso di AAS è associato a disturbi percettivi dell’immagine, disturbi dell’alimentazione e dall’esercizio fisico compulsivo. Lo psichiatra Tom Hildebrandt potrebbe aver trovato una spiegazione biologica per quest’ultimo aspetto. Nel 2014, Hildebrandt ha pubblicato uno studio svolto su esseri umani il quale suggerisce che l’uso di AAS aumenta la dipendenza dall’esercizio fisico intenso.[1]

Dettagli dello studio

I ricercatori che hanno partecipato al presente studio, hanno analizzato campioni di sangue di 26 uomini che si allenavano intensamente con i pesi. Dieci uomini erano “natural” [Control; Heavy exercise control], gli altri sedici utilizzavano AAS. L’utilizzatore medio di AAS in questo studio aveva già completato una dozzina di cicli.

Durante questo studio, metà degli utilizzatori di AAS era sotto ciclo, l’altra metà era “off”.

Risultati

Tramite l’analisi del sangue dei soggetti sotto osservazione i ricercatori hanno misurato, attraverso specifici marker, il grado in cui i partecipanti hanno apprezzato l’allenamento fisico utilizzando un test complesso. In breve, i soggetti sotto esame erano sottoposti a sedute di tapis roulant dovendo svolgere compiti sempre più gravosi durante la medesima seduta al fine di poter continuare a correre.

Gli utilizzatori di AAS apprezzavano il loro allenamento più dei non utilizzatori, e coloro i quali erano sotto ciclo hanno ottenuto punteggi notevolmente superiori rispetto agli utilizzatori in “off”.

La tabella seguente è stata semplificata.

Nel sangue analizzato, i ricercatori hanno trovato una possibile spiegazione per la maggiore tendenza di un soggetto utilizzatore di AAS a sottoporsi ad allenamenti intensi, e non è così banale come si potrebbe pensare. La concentrazione di beta-endorfine era più alta in questo gruppo di soggetti.

La beta-endorfina o β-endorfina, è un ormone peptidico, un neuropeptide oppioide endogeno prodotto in alcuni neuroni del sistema nervoso centrale e del sistema nervoso periferico.[2] È una delle tre endorfine prodotte nell’uomo, le altre includono l’α-endorfina e la γ-endorfina.[3]

Le beta-endorfine vengono rilasciate durante l’esercizio fisico intenso. È un fattore importante nelle sensazioni euforiche provate dagli atleti durante la prestazione, che gli atleti di endurance chiamano “lo sballo del corridore”. Secondo gli psicologi dello sport, le beta-endorfine svolgono un ruolo cruciale nella dipendenza dall’attività sportiva.

Le beta-endorfine interagiscono con gli stessi recettori con cui interagiscono gli antidolorifici oppioidi che creano dipendenza come la Morfina. Negli anni ’70, durante la sperimentazione con animali da laboratorio, Horace Loh scoprì che l’effetto analgesico delle beta-endorfine superava quello della Morfina di un fattore 18-33.[4]

Conclusioni

I risultati di questo studio forniscono un supporto continuo per il ruolo dell’esercizio compulsivo nella dipendenza da AAS e la sua possibile incorporazione nel modello di dipendenza da questi ultimi.

Il fatto che gli AAS causino un aumento della massa muscolare e possano anche migliorare l’umore e il valore di rinforzo di comportamenti come l’esercizio tramite effetti sull’asse HPA suggerisce che ciò possa condurre ad una condizione di forte induzione alla cronicizzazione d’uso di AAS.

Gabriel Bellizzi

Riferimenti:

1- http://dx.doi.org/10.1016/j.drugalcdep.2014.03.008

2- https://Beta-Endorphin#cite_note-NHM-Beta-endorphin

3- https://Beta-Endorphin#cite_note-Endogenous_opioid_families_-_2012_review

4- https://doi.org/10.1073/pnas.73.8.2895

Grado di inclinazione della Panca e stimolo del capo clavicolare del grande pettorale.

Riporto qui di seguito un recente studio il quale si è occupato dell’osservazione dello stimolo indotto dalla variabile di inclinazione della Panca sul reclutamento del capo clavicolare del grande pettorale. Lo studio è stato svolto dallo scienziato dello sport David Rodriguez-Ridao dell’Università di Almeria, ed è stato pubblicato il corrente mese (ottobre 2020) su Special Issue Monitoring and Evaluation of Training in Sport and Exercise.[1]

Per lo svolgimento dello studio qui trattato, David Rodriguez-Ridao ha reclutato trenta giovani esperti in sport contro-resistenza sottoponendoli a sessioni di spinte su panca a diversa inclinazione: 0°, 15°, 30°, 45° e 60° (gradi). Ai soggetti è sono stati applicati degli elettrodi i quali dovevano rilevare sulla quanto i gruppi muscolari interessati dall’esercizio venivano reclutati e a che grado.

Nell’immagine sono visibili le zone anatomiche di posizionamento degli elettrodi durante lo studio.

Per il capo sterno-costale ed il capo addominale, la distensione su Panca Piana è risultata superiore alla distensione su Panca Inclinata. Per il capo clavicolare, la stimolazione è stata ottimale con un angolo di 30°.

Se l’angolo della Panca diventava maggiore di 30°, la Panca Inclinata si trasformava in un esercizio che stimolava principalmente i Deltoidi anteriori.

Per i Tricipiti, l’angolo della Panca non era un fattore influente.

Uno studio che può senz’altro essere d’aiuto per atleti e preparatori intenti ad enfatizzare al meglio lo stimolo di questo capo del grande pettorale.

Gabriel Bellizzi

Riferimenti:

1- https://doi.org/10.3390/ijerph17197339

La variabile del volume nello stimolo ipertrofico – tra moda e realtà –

Introduzione

Lo so, è un argomento che avrete sicuramente sentito trattare e ritrattare un infinità di volte, molte delle quali si sono rivelate sterili esposizioni spesso e volentieri inducenti al solito marketing, ma volevo dare il mio contributo per mettere maggiormente in chiaro la questione “volume” nel miglioramento dei parametri prestazionali ed estetici in ambito BodyBuilding. Ovviamente, il mio unico fine a tal proposito è quello di svolgere una sana divulgazione scientifica. Per farlo citerò i lavori di Brad Schoenfeld et al. i quali, ad una analisi oggettiva, dimostrano di possedere i requisiti di design corretti per poter servire da punti di partenza per la gestione del volume all’interno di una programmazione nell’allenamento contro-resistenza.

HIT Vs. HVT – l’infinito scontro decontestualizzato tra due estremi –

Nessuno può negare il fatto che non vi è argomento nel campo dell’esercizio contro resistenza più dibattuto negli ultimi decenni della quantità di volume necessaria per massimizzare l’ipertrofia muscolare. Da un lato della controversia ci sono i partigiani dell’allenamento ad alta intensità (HIT), che generalmente predicano che una singola serie, o poche più, di un esercizio sia tutto ciò che è necessario per avere un ottimale miglioramento nello sviluppo del tessuto muscolare; essi affermano che il superamento di questa quantità di lavoro non solo non è benefico, ma che in realtà può causare una regressione a causa del sovrallenamento. Il creatore dei macchinari Nautilus Arthur Jones è spesso indicato come il capostipite di questo movimento che il Bodybuilder Mike Mentzer ha contribuito a rendere popolare alla fine degli anni ’80 e inizi ’90 con il suo famosissimo metodo “Heavy Duty”.

Dall’altra parte del fronte ci sono i sostenitori dell’alto volume (HVT) i quali affermano che l’esecuzione di più serie è il fattore essenziale per stimolare nel modo migliore lo sviluppo muscolare. La stragrande maggioranza dei Bodybuilder competitivi aderisce a quest’ultima filosofia, come mostrato in un sondaggio di qualche anno fa in cui il 95% degli intervistati ha riferito di allenarsi con protocolli in multi-frequenza.

Nel tentativo di ideare linee guida basate sull’evidenza, il team di ricerca del quale fa parte Brad Schoenfeld ha effettuato una meta-analisi sugli effetti del volume nella crescita muscolare e che è stata pubblicata nel 2017. [1] Nel caso in cui non ne siate a conoscenza, una meta-analisi riunisce i risultati di tutti gli studi su un determinato argomento al fine di confrontarne i dati come se fosse un unico grande studio invece di più piccoli studi. Ciò aiuta a estrapolare una maggiore precisione statistica e quindi a trarre conclusioni pratiche ed esaustive dalla ricerca corrente. I risultati dell’analisi di cui sopra hanno mostrato una relazione dose-risposta abbastanza chiara, con volumi più elevati che hanno portato a maggiori guadagni muscolari.

Sebbene i risultati della meta-analisi sembrano convincenti, sono presenti alcune lacune. Per esempio, la stragrande maggioranza degli studi presi in esame hanno coinvolto soggetti non allenati; solo un paio di studi hanno preso in esame persone con esperienza nell’allenamento contro-resistenza. Questo è importante perché la prima fase dell’allenamento di un principiante è associata a una diversa risposta adattativa rispetto alle ultime fasi precedenti alla maturità necessaria per essere considerati “intermedi”, per esempio; quindi, non è correttamente possibile generalizzare i risultati ottenuti con atleti ben allenati. Inoltre, i realizzatori della meta-analisi non sono stati in grado di determinare gli effetti oltre le 10 serie per muscolo a settimana; semplicemente non era sufficiente una ricerca che guardasse ai volumi di allenamento più elevati per trarre conclusioni rilevanti su quale potesse essere una quantità superiore di volume per l’ottenimento di guadagni più o meno regolari.

In quest’ottica, Schoenfeld et al. si sono proposti di colmare le lacune presenti in letteratura effettuando uno studio sull’argomento, pubblicato nel 2018 su Medicine and Science in Sports and Exercise.[2] Ecco i dettagli:

Studio, metodo e risultati ottenuti

45 giovani soggetti di sesso maschile allenati contro-resistenza sono stati assegnati in modo casuale ad allenarsi con 1, 3 o 5 serie per esercizio; Alla fine, 11 soggetti si sono ritirati per vari motivi, lasciando un totale di 34 partecipanti che hanno completato lo studio. In ogni sessione sono stati eseguiti un totale di 7 esercizi pianificati al fine di allenare tutti i principali gruppi muscolari (chest press, shoulder press, lat pulldown, seated row, squat, leg press e leg extension). I soggetti hanno eseguito 8-12 ripetizioni per serie, con tutte le serie eseguite fino al cedimento muscolare. L’allenamento è stato effettuato su 3 giorni non consecutivi a settimana per 8 settimane. Le routine sono state completamente supervisionate dal team di ricerca per garantire la piena conformità. Le misurazioni includevano: 1RM forza nello squat e nella panca; resistenza muscolare della parte superiore del corpo nella distensione su panca al 50% dell’1RM; e ipertrofia del bicipite, tricipite, metà coscia e coscia laterale mediante ultrasuoni.

Tutti i gruppi hanno ottenuto guadagni sostanziali nella forza massima sia nello squat che nella distensione su panca durante il periodo di studio di 8 settimane, ma l’entità dei guadagni era sorprendentemente simile tra i gruppi senza differenze statistiche rilevate. I risultati hanno leggermente favorito le condizioni di volume più elevato per la resistenza muscolare della parte superiore del corpo su base assoluta, ma le differenze non hanno raggiunto la significatività statistica e probabilmente non avevano rilevanza pratica.

In alternativa, c’era una chiara relazione dose-risposta per l’ipertrofia muscolare, con 5 serie che mostravano i maggiori guadagni, seguite da 3 serie e poi 1 serie. Questi risultati erano generalmente coerenti per tutti i muscoli studiati ed erano più pronunciati nella muscolatura inferiore del corpo. Il grafico seguente presenta una rappresentazione visiva dei risultati.

Fonte: http://www.lookgreatnaked.com/

I guadagni di forza nel gruppo da 1 set erano altrettanto buoni come per i gruppi a volume più alto (vedi Figura 1). Inoltre, questi risultati sono stati raggiunti in una frazione del tempo in rapporto alle routine con volume più elevato poiché il gruppo da 1 set si è allenato per circa 13 minuti a sessione mentre le sessioni del gruppo a 5 set sono durate circa 68 minuti! Quindi, una conclusione importante sarebbe che, se aumentare la forza è l’obiettivo principale, è possibile adottare vantaggiosamente un approccio di allenamento a basso volume e alta intensità raggiungendo il risultato prefissato in meno di 45 minuti a settimana. Ora questa osservazione necessita di una precisazione: l’allenamento è stato effettuato in un intervallo di ripetizioni moderato (8-12 RM). Direi che se usassimo un vero range da powerlifting (3-5 RM), probabilmente si dovrebbero aggiungere alcune serie addizionali poiché il basso numero di ripetizioni per serie limiterebbe la quantità di “stimolo” e quindi richiederebbe un volume più alto.

Fonte: http://www.lookgreatnaked.com/

D’altra parte, i risultati per l’ipertrofia erano coerenti con la meta-analisi argomentativa iniziale, dimostrando che sono necessari volumi più elevati per massimizzare la crescita muscolare. Questi risultati erano coerenti e ricorrenti in tutti i muscoli studiati (bicipiti, tricipiti e quadricipiti). Inoltre, è stata generalmente osservata una relazione dose-risposta, per cui 3 set hanno prodotto maggiori aumenti di dimensioni muscolari rispetto a 1 set e 5 set erano superiori a 3 set. Come mostrato nel grafico allegato (Figure 2), l’entità delle differenze era piuttosto netta. Ad esempio, la crescita del bicipite è stata dell’1,6%, 4,7% e 6,9% rispettivamente per i gruppi 1, 3 e 5. Il volume ha avuto un effetto ancora maggiore sulla crescita del quadricipite, con aumenti del 5,0%, 7,9 e 13,7% per la coscia laterale rispettivamente nei gruppi 1, 3 e 5 serie. Spread simili sono stati osservati in relazione alla crescita nella regione mediale della coscia.

Quantificando il volume in serie per muscolo a settimana, come spesso si fa nel Bodybuilding, la quantità di volume più alto del gruppo in questione ha eseguito 30 serie / muscolo / settimana per bicipiti e tricipiti e 45 serie / muscolo / settimana per le cosce. E’ stato notato che la maggior parte delle serie è stata eseguita con esercizi composti. Pertanto, i tricipiti sono stati stimolati con movimenti di spinta (chest press e shoulder press) mentre i bicipiti con movimenti di trazione (lat pulldown e rows). Sebbene tricipiti e bicipiti ricevano chiaramente molto lavoro con questi movimenti, non è chiara la misura in cui sono stimolati; Rimane discutibile se i risultati sarebbero cambiati se gli autori avessero incluso esercizi a mono-articolari come triceps pushdown e arm curls. Allo stesso modo, la parte inferiore del corpo coinvolge le prestazioni dello squat e del leg press, che non solo stimolano i quadricipiti femorali ma comportano anche una sostanziale attivazione degli estensori dell’anca. Ancora una volta, non è chiaro quanta stimolazione riceva il quadricipite femorale con questi movimenti rispetto agli altri muscoli che lavorano in sinergia. E’ stata inclusa la Leg-Estension per la parte inferiore del corpo, la quale fornisce un targeting più diretto nello stimolo dei quadricipiti femorali.

Ora, vanno considerati alcuni punti riguardo ai risultati che devono essere presi in esame al fine di tentare una estrapolazione di risultati applicabili nella pratica. Innanzi tutto , i soggetti esaminati erano giovani uomini allenati contro resistenza che apparentemente sarebbero stati in grado di riprendersi bene dagli effetti di grandi volumi allenanti. È ragionevole ipotizzare che gli individui di mezza età e gli anziani probabilmente non sarebbero stati in grado di riprendersi anche da volumi più elevati di allenamento, e quindi potrebbero non rispondere in modo favorevole o forse anche avere una risposta ridotta.

Inoltre, la durata dello studio è stata relativamente breve, comprendendo 8 settimane di allenamento pianificato. Il corpo umano è molto resistente e sopporta bene alti livelli di stress a breve termine. Quando questi fattori di stress sono adeguatamente gestiti, c’è una risposta adattativa positiva; nel caso di volumi di allenamento ad alta resistenza, il risultato è una maggiore crescita muscolare. Tuttavia, l’esposizione persistente a tali fattori di stress alla fine sovraccarica la capacità di risposta del corpo, portando a uno stato di sovrallenamento. Ciò solleva la possibilità che la periodizzazione di brevi periodi di volume maggiore con periodi di allenamento di volume da inferiore a moderato possa essere la migliore strategia per massimizzare i guadagni di massa muscolare.

In aggiunta, non sono stati effettuati test a metà dello studio. È possibile che la forza possa essere stata maggiore per il gruppo sottoposto a volume più alto dopo 4 settimane e che i soggetti si siano avvicinati (o abbiano addirittura raggiunto) ad una condizione di sovrallenamento in seguito, in modo tale da causare uno stallo o una regressione dei risultati. Di conseguenza è possibile che l’ipertrofia si sia stabilizzata in precedenza nello studio per via delle condizioni di volume più elevato e che continuare ad allenarsi con tale volume fosse superfluo o addirittura dannoso. Queste possibilità richiedono ulteriori studi. È interessante notare che le interviste di fine studio fatte ai soggetti non hanno indicato alcun segno percettivo di sovrallenamento anche nel gruppo con il volume più alto, sebbene ciò non precluda la prospettiva che possa essersi verificato.

È anche importante notare che è stata misurata solo l’ipertrofia delle braccia e delle cosce. Resta da determinare se diversi gruppi muscolari possono avere risposte diverse a quantità variabili di volume. Sembra probabile che questo possa essere il caso e che gli effetti differenziali sarebbero specifici in risposta alla genetica individuale, per cui alcuni muscoli rispondono meglio a volumi più elevati di allenamento mentre altri no. C’è ancora molto da ricercare e apprendere.

Conclusioni

Ricapitolando:

  1. I guadagni di forza sono simili tra il gruppo a 1 serie per esercizio che in quello con 5 serie per esercizio, indicando che se l’obiettivo è semplicemente quello di aumentare la forza, questo può essere ottenuto con una quantità minima di volume. Questi risultati sono specifici per allenamenti con una gamma moderata di ripetizioni (8-12 ripetizioni); sembra probabile che l’allenamento in più di un range di powerlifting (3-5 ripetizioni) richiederebbe l’esecuzione di più serie per massimizzare la forza.
  2. Il volume è il fattore principale della crescita muscolare in sala pesi, con più serie che si traducono in maggiori guadagni. L’ipertrofia della parte superiore del corpo ha continuato a mostrare effetti benefici con 30 serie per muscolo a settimana e sono stati osservati continui guadagni della parte inferiore del corpo con 45 serie per muscolo a settimana. Questi numeri non devono essere necessariamente considerati come raccomandazioni definitive, ma piuttosto come indicatori del fatto che volumi più elevati possono provocare guadagni muscolari superiori in tempi relativamente brevi. Inoltre, sembra probabile che l’allenamento ripetuto con volumi elevati porterà inevitabilmente a un superamento della soglia adattativa non funzionale e quindi a compromettere i risultati. Pertanto, il volume dovrebbe essere manipolato in maniera ondulatoria in modo che i periodi di volumi relativi più elevati vengano ciclati con periodi di volume inferiori; inoltre, dovrebbero essere impiegati scarichi regolari per promuovere un corretto recupero.
  3. È essenziale ricordare che gli studi si limitano a fornire le risposte medie su gruppi di persone. Pertanto, questi risultati possono solo fornire linee guida generali su quanto volume sia benefico per la forza e l’ipertrofia; la risposta per una determinata persona varierà in base alla genetica e ai fattori dello stile di vita e quindi la prescrizione deve essere calibrata individualmente. Una buona raccomandazione generale per il volume sarebbe quella di eseguire ~ 10-20 serie / muscolo / settimana; alcuni atleti si troveranno bene con volumi inferiori a questo intervallo, mentre altri progrediranno con volumi leggermente più alti. I risultati dello studio qui riportato suggeriscono che si possono impiegare cicli di allenamento ad alto volume nel breve termine per stimolare maggiormente lo sviluppo di gruppi muscolari carenti che rispondono male all’allenamento a volume più conservativo o hanno raggiunto un plateau nello sviluppo.

Come mi sono già ritrovato a sottolineare nel mio profilo Instagram, è essenziale che ogni atleta o professionista del settore Fitness o Bodybuilding sappia che la dimensione e la composizione del muscolo scheletrico è determinata dai cambiamenti nei tassi di sintesi proteica muscolare (MPS) rispetto a quelli della degradazione delle proteine muscolari. Nello stato di riposo, a digiuno, il tasso di MPS è inferiore a quello della degradazione delle proteine muscolari, determinando uno stato di equilibrio proteico negativo. L’ingestione di proteine di alta qualità, ricche di amminoacidi essenziali, stimola un aumento transitorio del tasso di MPS con conseguente stato di equilibrio proteico muscolare positivo. È anche noto che un singolo periodo di esercizio contro resistenza eseguito a digiuno indurrà un aumento sia della MPS che del catabolismo; tuttavia, il tasso di MPS è elevato 48h dopo l’esercizio, mentre il tasso di degradazione proteica ritorna al valore basale 48h dopo l’esercizio (curve incrociate e inversamente proporzionali). Fondamentalmente, l’assunzione di un adeguato apporto proteico e l’esercizio contro resistenza conferiscono effetti additivi sulla MPS e sul bilancio proteico netto. Quindi quando ripetuti esercizi contro resistenza sono abbinati con una adeguata quantità di proteine nella dieta si verifica uno stato prolungato di equilibrio proteico muscolare positivo il quale porta ad un aumento graduale nelle dimensioni del muscolo scheletrico.

Morale della “favola”? Multi-frequenza ondulatoria sui parametri di volume e intensità con periodi di scarico basati sui feedback di resa dell’atleta. E, ovviamente, il fattore alimentare dovrà essere correttamente gestito in funzione delle esigenze soggettive-preparatorie del soggetto interessato (adeguato apporto proteico, glucidico e lipidico su base calorica giornaliera/settimanale).

Gabriel Bellizzi

Riferimenti:

1- https://pubmed.ncbi.nlm.nih.gov/27433992/

2- https://www.researchgate.net

Dosi sovrafisiologiche di AAS e Sistema Immunitario.

Breve introduzione.  

L’argomento che mi accingo a trattare è indubbiamente legato alla già discussa questione della pandemia da SARS-CoV-2, la quale sta interessando il genere umano in questi primi mesi del 2020. Nel presente articolo, però,  parlerò di un altro aspetto per certi versi parallelo alla questione sanitaria prima citata, ovvero all’impatto di dosi sovrafisiologiche di AAS sul sistema immunitario.

Impatto di Allenamento e AAS sul Sistema Immunitario. 

Timmiu

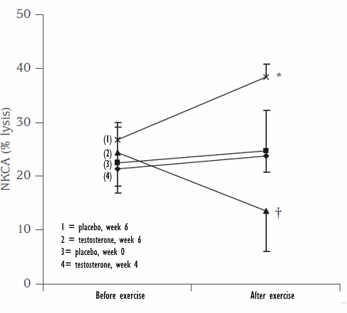
Tra gli effetti benefici dell’esercizio fisico correttamente svolto, la riduzione della percentuale di comparsa di stati infiammatori cronici sono ben noti. Tale effetto è legato alla pratica di forme di allenamento particolarmente impegnative, come l’allenamento contro resistenza. Qualsiasi allenamento intenso attiva il sistema immunitario delle cellule tumorali.[1, 2, 3] Uno studio svolto su esseri umani da parte di ricercatori australiani suggerisce che solo gli atleti di forza non supplementati chimicamente  possono beneficiare di questo effetto.[4]

I ricercatori hanno reclutato 16 uomini sani di età compresa tra 21 e 35 anni per allenarsi con pesi 3 volte a settimana per 6 settimane. I ricercatori hanno diviso i soggetti in 2 gruppi:

  • 7 soggetti hanno ricevuto un’iniezione settimanale senza principio attivo (Placebo);
  • 9 soggetti hanno ricevuto un’iniezione settimanale contenente 3,5mg di Testosterone Enantato per chilogrammo di peso corporeo.

I soggetti trattati con Testosterone avevano guadagnato significativamente più peso rispetto ai soggetti del gruppo placebo. Nei test in cui i soggetti presi in esame dovevano fare brevi sprint su un cicloergometro, l’uso dell’AAS ha permesso loro di esprimere più potenza. Il Testosterone Enantato ha reso i soggetti del test più veloci.

testosterone-exercise-natural-killer-cells-0

Più interessante è  stato l’effetto della somministrazione di Testosterone sul sistema immunitario. Dopo 6 settimane di allenamento, un breve ma intenso allenamento cardio ha aumentato l’attività delle cellule Natural Killer nel gruppo placebo. Nel gruppo Testosterone, tuttavia, l’attività delle cellule Natural Killer è diminuita.

testosterone-exercise-natural-killer-cells

I ricercatori hanno anche determinato l’attività delle Cellule Natural Killer estraendole dal sangue dei soggetti del test e mettendole a contatto con le cellule tumorali nelle piastre di Petri. I ricercatori hanno quindi esaminato quante cellule tumorali sono state uccise dalle Cellule Natural Killer.

La somministrazione di Testosterone non ha influenzato il numero di cellule immunitarie.

I ricercatori hanno riportato che il loro è il primo studio controllato in doppio cieco con placebo che riporta una riduzione dell’attività citotossica delle Natural killer a seguito di esercizio anaerobico acuto dopo somministrazione di AAS in giovani uomini sani.

Questa riduzione dell’attività citotossica acuta delle Natural Killer  post esercizio  dopo la somministrazione di Testosterone Enantato per 6 settimane, mostra un risultato indesiderabile su un aspetto della funzione immunitaria che è contrario ai miglioramenti delle prestazioni che sono stati osservati in questi soggetti.

L’autore principale del presente studio, Sonya Marshall-Gradisnik, ha ricevuto un riconoscimento scientifico nel 2005.[5]

Ma il valore del presente studio, pubblicato nel Journal of Exercise Science and Fitness nel 2008, si declassa dal momento che è stato finanziato dal canale televisivo britannico Channel 4. Il canale ha utilizzato i risultati dello studio per uno spettacolo televisivo sull’uso di AAS.

Attenzione, l’effetto immunosoppressivo di dosi sovrafisiologiche di AAS è stato spesso trattato in letteratura, ed è attualmente non del tutto chiarito dal momento che il loro effetto varia a seconda della struttura molecolare che li caratterizza (quelli con nucleo steroideo intatto sono immunosoppressive, cioè riducono il numero e la funzione delle cellule immunitarie, mentre quelli con alterazioni del nucleo steroideo sono immunostimolatori in quanto inducono la proliferazione delle cellule T e di altre cellule immunitarie).[6] Quindi, il risultato presentato, del tutto non straordinario,  non mostra nulla che non fosse già stato dimostrato in precedenza, sebbene non attraverso uno studio controllato in doppio cieco con placebo.

Ma approfondiamo la questione…

Effetti del Nandrolone e del Oxymetholone sul sistema immunitario. 

Il Nandrolone (estere Decanoato) e l’Oxymetholone inducono direttamente la produzione di citochine infiammatorie interleuchina 1 beta (IL-1β) e fattore di necrosi tumorale alfa (TNF-α) nelle colture di leucociti di sangue periferico umano.[7]

Nandrolone-Decanoate-and-Anadrol-directly-induce-the-production-of-inflammatory-cytokines

Testosterone e DHEA non hanno avuto effetti diretti nell’indurre citochine nello stesso modello.
Il Nandrolone Decanoato inibisce anche la produzione di interferone nel topo L-929 infetto da NDV e nelle cellule WISH umane.

Nandrolone-Decanoate-inhibits-interferon-production-in-NDV-infected-mouse-L-929-and-human-WISH-cells

Effetti dello Stanozololo e del Trenbolone sul sistema immunitario. 

Stanozololo e Trenbolone sono risultati genotossici e citotossici per i linfociti umani in modo dose-dipendente.[8]

Stanozolol-and-Trenbolone-induced-CAs-in-human-lymphocytes

Effetti di Testosterone, Testolattone, Oxandrolone e Stanozololo sul sistema immunitario.

Per valutare come gli AAS influenzano il sistema immunitario, ne sono stati studiati cinque disponibili in commercio con vari tipi di differenze strutturali in un modello di roditori.[9]

Gli animali presi in esame sono stati divisi in cinque gruppi e trattati con Testosterone (gruppo 1), Testosterone Propionato (Gruppo 2), Testolattone (Teslac) (Gruppo 3), Oxandrolone (Gruppo 4) e Stanozololo (Gruppo 5).

Una immunosoppressione significativa è stata osservata con tutti i gruppi.
Tuttavia, entro il giorno 10, il gruppo trattato con Testolattone, Oxandrolone e Stanozololo ha mostrato immunostimolazione e ha effettivamente superato l’immunità basale mentre i gruppi trattati con Testosterone sono rimasti immunosoppressi.

 

Testosterone-Testosterone-Propionate-Teslac-Anavar-and-Winstrol-Effect-On-The-Immune-System-Of-Rats
Fonte grafico: “More Plates More Dates”

Per testare veramente gli effetti degli androgeni endogeni sul sistema immunitario è stato quindi eseguito un secondo esperimento.

Dieci animali tenuti in modo simile all’esperimento iniziale sono stati trattati integri o castrati e quindi sottoposti per 8 giorni con Oxandrolone (1,1 mg/kg/giorno), Testosterone (1,1mg/kg/giorno) o Oxandrolone combinato con una fisiologica quantità di Testosterone (15μg/giorno).

L’Oxandrolone è stato scelto poichè presenta una delle  più elevate attività anabolizzante degli  analoghi del Testosterone rispetto al Testosterone (Androgeno/Anabolico ratio = 1:13).

Negli animali intatti dopo 8 giorni di trattamento con Oxandrolone, i livelli sierici di Testosterone sono stati misurati mediante test radioimmunologico sul sangue delle vene della coda.

I livelli erano o non rilevabili o molto bassi, riflettendo una significativa soppressione dell’HPTA.

La funzione immunitaria (risposte DCH) misurata parallelamente ha rivelato un aumento del 41% rispetto al basale.
Il gruppo trattato con Testosterone ha sperimentato una soppressione del 36% della funzione immunitaria.

Un ulteriore trattamento di 8 giorni con Oxandrolone combinato con quantità fisiologiche di Testosterone ha eliminato il potenziamento del sistema immunitario fornito dalla monoterapia con Oxandrolone e ha riportato le risposte DCH a livelli non significativamente diversi dal basale.

 

Anavar-Testosterone-and-Anavar-Testosterone-Effect-On-Immune-Function
Fonte grafico: “More Plates More Dates”

I risultati erano diversi negli animali castrati.

La castrazione ha comportato un aumento delle risposte immunitarie (DCH).

La variazione media osservata era maggiore del 90% rispetto alla linea di base intatta (pre-castrazione).

Ciò significa che i ratti castrati hanno sperimentato un miglioramento del 90% superiore rispettpo ai ratti che non erano castrati.

La somministrazione di Oxandrolone per 8 giorni a questi animali ha dato un effetto immunodepressivo riportando la risposta DCH al basale.

Il trattamento di 8 giorni con 8 combinato con dosi fisiologiche di Testosterone ha prodotto una soppressione ancora maggiore, con una variazione del 45% rispetto al basale.

 

Anavar-Testosterone-and-Anavar-Testosterone-Effect-On-Immune-Function-In-Castrated-Rats
Fonte grafico: “More Plates More Dates”

Queste osservazioni indicano che si verificano alterazioni immunitarie soppressive con AAS con nucleo steroideo intatto e immunostimolanti con alterazioni del nucleo steroideo.

Come gli AAS influenzano la funzione immunitaria.

L’ipotesi per tentare di spiegare le risposte del sistema immunitario agli AAS è la seguente.

 

Hypothesis-Of-How-Anavar-Effects-Immune-Function
Fonte immagine: “More Plates More Dates”

Come esemplificato nell’immagine di cui sopra, gli AAS esogeni inducono due effetti sul sistema immunitario:

(A) un effetto precoce diretto sulla funzione immunitaria che è soppressivo e,

(B) un effetto stimolante indiretto ritardato mediato attraverso il feedback negativo sull’Ipofisi.

(B) provoca l’inibizione del Testosterone gonadico attraverso una riduzione del rilascio di LH.
Una diminuzione della sintesi di Testosterone porta a bassi livelli sierici dell’ormone e stimolazione immunitaria.
La castrazione, escludendo la modulazione della secrezione di Testosterone elimina l’effetto di (B) ma lascia intatto (A).

In sintesi, più un AAS è soppressivo, più ha il potenziale di migliorare indirettamente la funzione immunitaria, semplicemente sopprimendo la produzione endogena di Testosterone e dei suoi metaboliti.

Tuttavia, gli AAS saranno anche genotossici e citotossici per i linfociti umani in modo dose-dipendente.

Quindi, l’unica ragione per cui gli AAS possono migliorare l’immunità a differenza del Testosterone è legata alla maggiore selettività di azione tissutale rispetto a quest’ultimo e alla soppressione dell’HPTA, non essendo intrinsecamente protettivi.

Anche loro saranno intrinsecamente immunosoppressori, solo in misura minore in base alla selettività dei tessuti e all’entità dell’impatto sulla soppressione della sintesi di androgeni endogena.

In conclusione, tutti i dati suggeriscono che più bassi sono i livelli di androgeni nel corpo, più alta sarà l’attività del sistema immunitario in misura direttamente proporzionale.

Quindi si aumenta il rischio di infezione virale durante un ciclo di AAS?

In sintesi, la stragrande maggioranza degli studi suggerisce che l’uso di AAS riduce la formazione di anticorpi, l’attività dei linfociti Natural Killer (NK), la maturazione e la stimolazione dei linfociti T e B con conseguente immunosoppressione.[10]

Dosi suprafisiologiche di AAS comunemente utilizzati hanno dimostrato di influenzare direttamente la produzione di alcune citochine, alterando la funzione immunitaria.

Sia i risultati ottenuti da studi su animali e su esseri umani suggeriscono che dosi sovrafisiologiche di AAS possono avere un impatto negativo sul sistema immunitario.

Risulta abbastanza chiaro dai dati esposti che in una situazione pandemica come quella attuale, sarebbe prudente  per gli utilizzatori ridurre l’uso di AAS portandone il dosaggio fino a livelli terapeutici per supportare la funzione immunitaria durante questo periodo in cui la vulnerabilità all’infezione virale è più alta.

Indipendentemente se si è giovani e convinti di essere invulnerabili in base alle statistiche sul tasso di mortalità che mostrano che gli anziani (media 80.3 anni) sono i più a rischio di essere sintomatici o di finire in condizioni critiche, si potrebbe comunque aumentare le possibilità di diventare un infetto asintomatico e, quindi, un portatore che può trasmette il virus agli anziani (compresi i tuoi genitori o nonni) a seguito di immunosoppressione autoindotta.

Gabriel Bellizzi

Riferimenti:

1- https://dx.doi.org/10.1007/s10549-016-3970-1

2- https://dx.doi.org/10.1016/j.cmet.2016.01.011

3- https://dx.doi.org/10.1016/j.mayocp.2014.03.018

4- https://www.researchgate.net/publication/41373840

5- https://www.scu.edu.au/engage/news/latest-news/2005/researcher-wins-top-science-award.php 

6- https://www.researchgate.net/ 

7- https://www.ncbi.nlm.nih.gov/pubmed/8788115 

8- https://www.researchgate.net/publication/

9- https://www.ncbi.nlm.nih.gov/pubmed/2242353

10- https://www.researchgate.net/

 

GH PER LO SPRINT?

Uno degli argomenti che spesso vengono dibattuti in ambito sportivo, e soprattutto culturistico, è il senso, non ché l’efficacia, dell’uso del solo GH per il miglioramento delle prestazioni. Ormai dovrebbe essere di dominio pubblico il fatto che il GH, di per se, non è una molecola anabolizzante (se non, e per un certo grado diretto/indiretto, a carico delle fibre di tipo I), e che anche l’aumento del solo IGF-1, legato al picco del precedente peptide,  non è garanzia di incrementi significativi nelle dimensioni del tessuto contrattile se non accompagnato da altri fattori come l’incremento concomitante di AAS circolanti. Quindi, è facile giungere alla conclusione che protocolli farmacologici volti all’ipertrofia, o al mantenimento della stessa, basati esclusivamente sul GH sono fallimentari, e, alle dosi consuete o minimamente efficaci,  con un carico di possibili effetti avversi sicuramente maggiore rispetto ai possibili benefici (vedi, ad esempio, peggioramento dell’insulino resistenza e quello consequenziale dello stato metabolico glucidico/lipidico e  della composizione corporea). I benefici sulle articolazioni, se qualcuno se lo chiedesse, possono essere raggiunti con dosi decisamente inferiori a quelle comunemente utilizzate dai BodyBuilder e, con l’avvento di peptidi specifici per tali trattamenti, oggi l’applicazione del GH in monoterapia è quasi del tutto in disuso anche nell’ambiente “doped” (quello minimamente aggiornato). Comunque sia, l’uso del solo GH per il miglioramento delle prestazioni potrebbe non risultare sempre inutile…se si è atleti di sport caratterizzati da sprint. Questa è la conclusione raggiunta dall’esperto dell’Ormone della Crescita Ken Ho presso la University of New South Wales, in una review pubblicata su Archives of Endocrinology and Metabolism.(1)

Ken Ho ha voluto trovare una risposta al quesito pocanzi discusso valutando quanto forti fossero le evidenze scientifiche che avvalorassero il potenziale del GH sul miglioramento delle prestazione. Per fare ciò ha raccolto tutti gli studi sull’uomo che prendevano in esame soggetti sani e in forma.

In quasi tutti gli studi raccolti, i soggetti avevano ricevuto solo l’Ormone della Crescita. Come ben sappiamo, nella pratica sportiva, tali pratiche monoterapiche sono praticamente inesistenti. Gli atleti supplemenmtati farmacologicamente usano quasi sempre il GH in combinazione con altri composti che migliorano le prestazioni come gli AAS.

Negli studi raccolti da Ho, i soggetti presi in esame sono stati trattati con dosi di GH dai 15 ai 180mcg per Kg di peso corporeo al giorno per un periodo massimo di 12 settimane.

Diversi studi non hanno riportato alcuna prova che l’Ormone della Crescita possa aumentare la forza [2] o la  resistenza aerobica [3] degli atleti trattati con tale peptide.

Tuttavia, esiste uno studio in cui la somministrazione dell’Ormone della Crescita ha portato ad un aumento della capacità negli esercizi anaerobici degli atleti pari al 3,8%. [4] La dose ricevuta dagli atleti in questione era di 2mg di GH al giorno. Questa dose è di circa 2-3 volte superiore alla capacità di sintesi endogena giornaliera di un soggetto in giovane età.

La somministrazione in questo specifico caso è durata 8 settimane.

growth-hormone-for-sprinters

Secondo quanto riportato dai ricercatori, se tradotto in riduzione proporzionale del tempo, il 3,8% potrebbe equivalere a un miglioramento di 0,4 secondi in uno sprint di 10 secondi, di 1,2 secondi nei 100 metri e di 30 secondi nel attraversamento di una vasca olimpionica di 50 metri.

I ricercatori concludono che, Nei soggetti in forma, il GH  in dosi utilizzate negli studi eticamente controllati non influisce sulla forza muscolare o sulla capacità aerobica, ma migliora la capacità anaerobica. Le prove suggeriscono che è improbabile che l’Ormone della Crescita avvantaggi negli sport di potenza o di resistenza ma che probabilmente benefici eventi di breve durata, vedi, appunto, gli sprint.

Gabriel Bellizzi

Riferimenti:

1- http://dx.doi.org/10.20945/2359-3997000000187

2- https://pubmed.ncbi.nlm.nih.gov/1550219

3- https://pubmed.ncbi.nlm.nih.gov/28514721

4- https://pubmed.ncbi.nlm.nih.gov/20439575

MSM E RECUPERO MUSCOLARE

msm1

Il Metilsulfonilmetano (noto come MSM) potrebbe essere un supplemento di particolare interesse per gli atleti di forza, ma non per il notorio utilizzo che si fa di tale molecola per il trattamento del dolore articolare. Douglas Kalman, scienziato dello sport presso l’Università di Memphis, è giunto cautamente a questa conclusione dopo aver svolto un piccolo studio su esseri umani. Secondo il suddetto studio, pubblicato sul Journal of International Society of Sports Nutrition, sembrerebbe che una dose giornaliera di 3g di MSM acceleri il recupero post-allenamento contro resistenza.(1)

Il Metilsulfonilmetano (MSM) è un composto organosulforico di formula bruta (CH3)2SO2. È conosciuto anche con diversi altri nomi, tra cui DMSO2, solfone di metile, e dimetil solfone. Si trova in alcune piante primitive, è presente in piccole quantità in molti alimenti e bevande consumate quotidianamente come latte, frutta, caffè e tè, ed è ampiamente commercializzato come integratore alimentare. Gli studi hanno dimostrato che questo composto inibisce l’infiammazione. Si ritiene che l’MSM aumenti la sintesi di Glutatione e interrompa quella del fattore nucleare kappa-beta. Questo è un fattore di trascrizione coinvolto nella reazione delle cellule a quasi tutti i tipi di stress, dalle radiazioni UV al colesterolo LDL fino al cancro e all’avvelenamento del sangue.

L’allenamento intenso contro resistenza causa un importante stress cellulare a livello miocitario con conseguente infiammazione. Sebbene tale risposta causi una cascata di eventi biochimici implicati nello stimolo ipertrofico, una condizione infiammatoria eccessiva può causare un rallentamento del recupero muscolare con conseguente impedimento nello svolgere una seduta allenante produttiva con possibile rallentamento degli adattamenti e, di conseguenza, dei progressi; il mantenimento di un equilibrio funzionale di tale evento diventa un tassello discretamente importante nella preparazione. E’ supoerfluo sottolineare che anche un eccesso inibitorio dell’infiammazione causa un alterazione degli adattamenti e del potenziale di crescita muscolare.(2)(3) Comunque sia, se usato correttamente, l’MSM può accelerare il recupero con una più rapida decrescita dello stato infiammatorio e, di rimando, una più veloce ripresa dell’efficienza motoria muscolare.

Per lo svolgimento dello studio i soggetti reclutati sono stati divisi in due gruppi. Ad un gruppo è stata somministrata una dose giornaliera di 1,5g di MSM per 28 giorni; mentre l’altro gruppo ha ricevuto 3g di MSM. Prima e dopo il periodo di supplementazione i soggetti presi in esame sono stati sottoposti ad allenamenti alla Leg-Extension sulla quale hanno svolto 18 serie.

Prima, e poi 2 e 48 ore dopo le sessioni allenante, sono stati valutati i gradi di dolore muscolare e stanchezza che i soggetti presi in esame riportavano. I seguenti grafici suggeriscono che la dose di 3g di MSM ha accelerato il recupero in modo significativo.

msm2.png

msm3.png

La supplementazione con MSM non ha causato un aumento della quantità di Glutatione nel sangue. Ha però aumentato l’attività antiossidante nel sangue due ore dopo l’allenamento.

msm4.png

Un fattore limitate che scredita in parte il presente studio è lo sponsor della TandemRain Innovations, la società di George Bergstrom. Bergstrom è anche la forza trainante della Bergstrom Nutrition [bergstromnutrition.com], il produttore del supplemento a base di MSM denominato OptiMSM. Questo prodotto è stato utilizzato sugli otto soggetti maschi dello studio qui trattato.

Comunque, non è la prima volta che i ricercatori hanno riscontrato gli effetti protettivi dell’MSM in seguito a sforzo fisico. Ricercatori dell’Università di Azad, in Iran, alcuni anni fa hanno riferito che un periodo di integrazione pari a 50mg/Kg di MSM per 10 giorni riduceva i danni muscolari dopo che soggetti non allenati (quindi privi di qualsivoglia adattamento) svolgevano sedute allenanti contro resistenza.(4)(5) Anche in questo caso, la supplementazione con MSM ha anche potenziato l’attività antiossidante post-sessione allenante.

Tornando allo studio principale qui trattato, i ricercatori implicati in esso sono a favore di ulteriori ricerche. Anche se questo studio ha una portata limitata, ed è “viziato” dal finanziamento dell’azienda produttrice di supplementi a base di MSM, si suggerisce di fare ulteriori ricerche per estendere questi risultati. Gli studi futuri dovrebbero includere una dimensione del campione esaminato più ampia, un gruppo placebo per il confronto e l’inclusione di marcatori aggiuntivi del recupero e delle prestazioni dell’esercizio (ad esempio, forza e potenza).

Gabriel Bellizzi

Riferimenti:

  1. https://www.ncbi.nlm.nih.gov/pubmed/23013531
  2. https://dx.doi.org/10.1113/jphysiol.2013.267419
  3. https://www.ajcn.org/cgi/content/abstract/87/1/142
  4. https://www.ncbi.nlm.nih.gov/pubmed/21899544
  5. https://www.ncbi.nlm.nih.gov/pubmed/22525653

“Blood flow restriction training”: Stress Metabolico e Ipertrofia Muscolare

Breve introduzione all’argomento.

Standing Bicep Dumbbell Curl

Era il 2014 quando lessi per la prima volta di questa metodica allenante denominata “Blood flow restriction training”(BFR training). Sebbene all’epoca suscitò in me un certo interesse, tale da spingermi a stendere qualche riga in un breve sunto che pubblicai sulla mia pagina Facebook, non dedicai molto tempo alla sperimentazione del metodo in questione, almeno fino a due anni fa. Merito delle evidenze scientifiche ed empiriche che mostravano come lo stress metabolico fosse un fattore di importanza non trascurabile nello stimolo ipertrofico, il rispolverare questa “bizzarra” tecnica di allenamento basata sull’acutizzazione dello stress metabolico muscolare fu per me naturalmente consequenziale.

Senza dilungarmi oltre, nel seguente articolo cercherò di esplicare in modo fruibile teoria e pratica di questa tecnica allenante, partendo dalle basi e terminando con le possibili applicazioni.

Stress Metabolico – il secondo tassello dello stimolo ipertrofico indotto da allenamenti contro resistenza –

E’ fuori da ogni ragionevole dubbio, ad oggi, che la Tensione Meccanica sia il fattore primario nella promozione della crescita muscolare indotta da allenamenti contro resistenza. In seconda posizione di importanza si attesta lo Sress Metabolico (1)(2)(3) il quale, in termini semplicistici, consiste in un accumulo di metaboliti indotto dall’esercizio, in modo particolare di lattato, fosfati inorganici e H+.(4)(5)

stimoloipertofico.png
Tasso di impatto sull’ipertrofia muscolare dato da Tensione Meccanica (carico – tempo sotto tensione), Stress Metabolico (accumulo metaboliti – produzione lattacida – ipossia) e Danno Muscolare (range di lavoro – ripetizioni eccentriche – stretch muscolare)

Lo Stress Metabolico è massimizzato durante le attività che si basano prevalentemente sulla glicolisi anaerobica per la produzione di energia. La glicolisi anaerobica è prevalente durante le attività che durano da circa 15 a 120 secondi e il corrispondente accumulo di metaboliti causa fatica indotta perifericamente (al contrario di quella indotta centralmente), vale a dire un affaticamento correlato a cambiamenti metabolici o biochimici, o entrambi, contrariamente ad una diminuzione dell’attività nervosa.(6) La ricerca indica che l’esecuzione di 1 set di 12 ripetizioni al cedimento (con un tempo sotto tensione totale di 37±3 sec) eleva i livelli di lattato muscolare a 91 mmol/Kg (peso secco) e i valori aumentano a 118mmol/Kg dopo 3 set.(7) Al contrario, nei protocolli che coinvolgono carichi molto pesanti (≥90% del 1RM) è stato osservato un accumulo di metaboliti minimo, a causa della breve durata dell’allenamento (generalmente <10 secondi per set) in cui si utilizza primariamente il sistema dei fosfati muscolari per fornire energia. Inoltre, durante gli allenamenti contro resistenza che si basano sulla glicolisi veloce l’ossigenazione del muscolo è compromessa. La persistente compressione del flusso circolatorio nel corso di un set a lunga durata causa un’ipossia acuta, aumentando così l’accumulo dei metaboliti.(8) La combinazione di questi fattori provoca il rapido accumulo di metaboliti intramuscolari insieme ad una concomitante diminuzione nei livelli di pH.(9)

stressmet.jpg

I classici allenamenti di Bodybuilding sono generalmente impostati in modo tale da sfruttare gli effetti ipertrofici dello stress metabolico a scapito di una più alta intensità di carico.(10, 11) Questi allenamenti, che comportano classicamente l’esecuzione di set multipli da 8 a 12 ripetizioni per set con intervalli di recupero fra un set e l’altro relativamente brevi (12), si sono mostrati in grado di aumentare lo stress metabolico a un livello maggiore dei regimi di allenamento ad alta intensità tipicamente impiegati dai Powerlifter.(13,14)E’ ben documentato che nonostante si allenino solitamente a intensità moderate di carico, i Bodybuilder mostrano fisici molto muscolosi e livelli di massa magra paragonabili, se non maggiori, a quelli raggiunti dai Powerlifter.(10,15) Infatti, vi sono prove che gli allenamenti tipici del Bodybuilding producono maggiori aumenti ipertrofici rispetto agli allenamenti a carico più elevato tipici degli allenamenti in stile Powerliftin (16,17,18), anche se i risultati non sono costanti in tutti gli esperimenti quando si equipara il volume di carico.(19, 20) Si pensa che una serie di fattori siano mediatori degli adattamenti ipertrofici derivati dallo stress metabolico indotto dall’esercizio, tra cui un aumentato reclutamento delle fibre, alterazioni nella sintesi di miochine, rigonfiamento cellulare, accumulo di specie reattive dell’ossigeno (ROS) e aumenti nella sintesi di ormoni sistemici.(21, 22, 23, 24)

Stress Metabolico e reclutamento delle fibre muscolari.

Un altro aspetto interessante dello stress metabolico è il suo impatto sul reclutamento delle fibre muscolari. Sebbene i carichi pesanti attivino fin dalle prime ripetizioni l’intero spettro di fibre, le ricerche mostrano che lo stress metabolico aumenta il reclutamento delle unità motorie a soglia più elevata anche con carichi leggeri. Gli studi mostrano che quando la fatica aumenta durante un esercizio sub-massimale prolungato, le soglie di reclutamento diminuiscono proporzionalmente.(25, 26, 27) Di conseguenza, l’attivazione delle fibre a contrazione rapida è alta, a condizione che il set sia portato al cedimento muscolare. Gli studi che hanno impiegato EMG (24-28), deplezione di glicogeno (29) e frazionamento dei fosfati organici (30, 4) hanno tutti dimostrato un aumentato reclutamento delle fibre a contrazione rapida nell’allenamento BFR, spingendo alcuni ricercatori a teorizzare che questo sia il fattore primario con cui l’occlusione del flusso ematico media l’anabolismo.(31, 32)

muscularfiber.png

I meccanismi precisi attraverso i quali lo stress metabolico aumenta il reclutamento delle fibre muscolari non sono ancora del tutto chiari. E’ stato ipotizzato che l’accumulo di H+ svolga un ruolo determinante tramite l’inibizione della contrattilità delle fibre già attivate, favorendo così il reclutamento di ulteriori unità motorie di alta-soglia.(33, 34, 28)

MacDougal et al (7) hanno proposto che la fatica durante l’allenamento in un set singolo portato al cedimento sia dovuta a una combinazione di acidosi e deplezione di fosfocreatina, mentre l’acidosi sia la causa più probabile negli allenamenti contro resistenza a set multipli. Nonostatnte sembri che l’aumento del reclutamento delle fibre sia almeno parzialmente responsabile degli aumenti nell’ipertrofia associata a stress metabolico, sembra che anche altri fattori potrebbero avere un ruolo. Suga et al (4) hanno dimostrato che solo il 31% dei soggetti ha mostrato un reclutamento delle fibre a contrazione rapida durante un allenamento con occlusione al 20% del 1RM rispetto al 70% dei soggetti che hanno effettuato un allenamento non occlusivo al 65% del 1RM. Visto che l’allenamento BFR a questa intensità (20% del 1RM) ha dimostrato di aumentare la crescita muscolare in modo simile, o maggiore, all’allenamento contro resistenza ad alta intensità (35, 36), gli effetti anabolici non possono essere unicamente ricollegabili allo stesso reclutamento delle fibre. Questi risultati sono ulteriormente supportati dalle ricerche che mostrano ampiezze EMG significativamente più alte quando si effettua un allenamento tradizionale al 80% del 1RM rispetto all’allenamento occlusivo al 20% del 1RM, indicando una ridotta attivazione muscolare ad intensità più basse.(37) Anche in studi recenti nei quali è stato comparato l’allenamento a carico elevato contro quello a carico leggero è emerso una maggiore attivazione muscolare durante la sessione ad intensità più alta nonostante, durante la sessione a basso carico si sia verificato un accumulo di metaboliti molto più marcato.(38, 39, 40)

Stress Metabolico e sintesi di Miochine.

Lo stress metabolico può influenzare la crescita muscolare attraverso l’aumento delle miochine anaboliche, diminuendo le miochine cataboliche, o esercitando entrambe le azioni. Anche se questa affermazione ha una base logica, i risultati delle ricerche sull’argomento sono ambigue. Takarada et al (24) hanno mostrato un aumento graduale del IL-6 in seguito a vari set di estensione del ginocchio con BFR rispetto allo stesso volume di esercizio senza occlusione; i livelli sono rimasti elevati per 24 ore dopo la seduta allenante. Tuttavia, la dimensione dell’effetto è stata lieve, e la quantità assoluta dell’aumento è stata solo ¼ di quello riportato nell’allenamento eccentrico ad alto carico. Fujita et al (41) hanno osservato che sei giorni di allenamento occlusivo dell’estensore del ginocchio hanno aumentato l’area della sezione trasversale della coscia del 2,4% senza nessuna modifica nei livelli di IL-6.

schemamiochine.jpg
Tabella 1.3, pag. 22 “Scienza e sviluppo dell’ipertrofia muscolare”

Analogamente, altri studi hanno mostrato che i livelli di IL-6 sono rimasti invariati a seguito di protocolli di allenamento BFR noti per aumentare lo stress metabolico.(42, 43) La totalità di questi risultati sembra confutare il ruolo del IL-6 nell’ipertrofia indotta dallo stress metabolico. La correlazione tra stress metabolico e altri fattori di crescita locali non è stata studiata bene, e ciò impedisce di trarre una conclusione sulla loro reale importanza nell’induzione ipertrofica attraverso lo stress metabolico.

Le prove suggeriscono che lo stress metabolico può influenzare la crescita muscolare attraverso la riduzione di fattori catabolici locali. Kawada e Ishii (44) hanno segnalato una significativa diminuzione dei livelli di MSTN nel muscolo plantare di ratti Wistar in seguito ad allenamento BFR, se paragonati a un gruppo di controllo sottoposto a chirurgia fittizia. Al contrario, nessuna differenza nell’espressione genica MSTN è stata osservata negli esseri umani dopo 3 ore di esercizio a bassa intensità con e senza occlusione.(45) Un’altra prova sperimentale su esseri umani ha mostrato che sebbene l’allenamento BFR non abbia avuto effetto sul MSTN, esso ha diminuito diversi importanti fattori di trascrizione proteolitica (FOXO3A, atrogina-1 e MuRF-1) nelle 8 ore successive all’esercizio rispetto ad un gruppo di controllo sottoposto ad allenamento senza occlusione.(46) In uno studio su uomini fisicamente attivi, Laurentino et al (35) sono stati esaminati gli effetti dell’allenamento BFR sui livelli cronici di MSTN dopo 8 settimane di allenamento. I risultati hanno mostrato una significativa riduzione del 45% nell’espressine genica di MSTN nel caso di allenamenti BFR, rispetto ad una riduzione non significativa in caso di esercizio a bassa intensità senza occlusione. La natura conflittuale di questi risultati impedisce di stabilire se vi sia una correlazione significativa tra l’ipertrofia indotta dallo stress metabolico e la sintesi di miochine.

Stress Metabolico e osmosi cellulare.

cell_diagram2.jpg

Un altro meccanismo che si pensa possa mediare l’ipertrofia tramite lo stress metabolico è l’aumento dell’idratazione intracellulare (ovvero, rigonfiamento cellulare per osmosi). Si pensa che il rigonfiamento cellulare serva come regolatore fisiologico della funzione cellulare.(47, 48) Un vasto insieme di prove dimostra che un aumento dello stato di idratazione di una cellula allo stesso tempo aumenta la sintesi proteica e diminuisce il catabolismo. Questi risultati sono stati dimostrati in un ampia varietà di tipi cellulari inclusi osteociti, cellule del seno, epatociti e fibre muscolari.(49)

Le attuali teorie suggeriscono che un aumento dell’idratazione cellulare causa una pressione contro il citoscheletro e la membrana cellulare, e tale pressione viene percepita come una minaccia per l’integrità cellulare. In risposta la cellula aumenta l’attivazione a cascata di segnalazione anabolica che porta in fine al rafforzamento della sua struttura.(50, 51) La segnalazione sembra essere mediata attraverso osmocettori associati alle integrine presenti all’interno delle cellule.(52) Questi recettori attivano vie di trasduzione di proteine chinasi anaboliche, che pare siano mediate da fattori di crescita locali.(53, 54) Il PI3K sembra essere un importante componente del trasporto di amminoacidi nel muscolo a seguito di una maggiore idratazione cellulare.(52) Le ricerche suggeriscono che gli effetti anabolici siano anche indotti in modo indipendente dal mTOR (55), con prove di regolazione diretta da parte del MAPK.(56, 57). Inoltre, il rigonfiamento delle fibre muscolari può innescare la proliferazione delle cellule satellite e promuovere la loro fusione con le fibre interessate (58), fornendo un ulteriore impulso per la crescita.

Vi sono poche prove per quanto riguarda il gonfiore cellulare indotto da stress metabolico in seguito all’esercizio, e il suo eventuale ruolo nell’ipertrofia. Tuttavia, si può dare una spiegazione sensata a tale effetto. L’esercizio contro resistenza altera in modo acuto l’equilibrio indrico intra ed extra cellulare (59), e l’entità delle alterazioni dipende dal tipo di esercizio e dall’intensità dell’allenamento. Il rigonfiamento cellulare potrebbe essere aumentato da un tipo di allenamento contro resistenza che genera elevate quantità di acido lattico grazie alle proprietà osmolitiche del lattato (60, 61), anche se alcune ricerche hanno confutato questa ipotesi.(62) L’accumulo di lattato intramuscolare attiva meccanismi di regolazione del volume cellulare; gli effetti sembrano essere amplificati dall’aumento dell’acidosi associato.(49) Le fibre a contrazione rapida sono ritenute particolarmente sensibili ai cambiamenti osmotici, probabilmente perché contengono un’alta concentrazione di acquaporine-4 (AQP4), ovvero canali di trasporto dell’acqua.(60) Considerando che le fibre a contrazione rapida hanno dimostrato di avere il maggiore potenziale di crescita (63), un aumento del rigonfiamento in queste fibre potrebbe teoricamente migliorare il loro adattamento in modo significativo.

Stress Metabolico e sintesi di ormoni sistemici.

asse-gh-igf-1m.gif

E’ stato teorizzato che gli aumenti acuti degli ormoni anabolici nel post-workout, derivati dall’accumulo di metaboliti durante allenamenti contro resistenza, possano aumentare la risposta ipertrofica. In particolare, lo stress metabolico indotto dall’esercizio è fortemente associato con un picco dei livelli di Ormone della Crescita in seguito all’allenamento.(64, 65, 66, 67, 68, 24) Anche se transitoria, la grandezza di questi aumenti è considerevole. Uno studio ha mostrato un aumento nei livelli di GH in seguito ad allenamento BFR di 10 volte maggiore rispetto a quello osservato con un allenamento non occlusivo di simile intensità (69); un’altra ricerca ha mostrato aumenti post-allenamento 290 volte maggiori rispetto al livello basale.(24) Si pensa che le elevazioni in seguito all’allenamento siano mediate da un maggiore accumulo di lattato o ioni H+.(64, 66) Soggetti deficitari di miofosforilasi, un enzima glicolitico responsabile della scomposizione del glicogeno e che quindi induce la produzione di lattato, mostrano una risposta attenuata del GH nel post-workout (70), fornendo forti prove per un collegamento tra produzione di lattato e rilasci di GH. Una diminuzione del pH indotta dai metaboliti può anche potenziare la sintesi e rilascio del GH tramite stimolazione del chemoriflesso regolata dai metaborecettori intramuscolari e le afferenze nervose di tipo III e IV.(71, 72)

Dal momento che il GH è in grado di potenziare la sintesi di IGF-1, sembra logico che un accumulo dei metaboliti sarebbe associato anche con un aumento post-workout dei livelli di IGF-1, noto peptide implicato nei processi anabolici del tessuto muscolare. Ciò è stato confermato in parte da studi che mostrano elevazioni significativamente maggiori di IGF-1 dopo il completamento di un allenamento mirato ad enfatizzare lo stress metabolico (73, 74, 75), anche se altre ricerche non sono riuscite a confermare tale associazione.(76) Inoltre, diversi studi (77, 69, 68), ma non tutti (45), hanno segnalato aumenti acuti dei livelli di IGF-1 post-workout a seguito di un allenamento BFR, e questo suggerisce che tali risultati siano stati mediati dallo stress metabolico. E’ importante notare che l’insieme delle ricerche riguarda l’isoforma sistemica di IGF-1, e i risultati non possono essere necessariamente estrapolati ai suoi effetti intramuscolari locali.

Per quello che vale in questo caso, l’effetto dello stress metabolico sugli aumenti in acuto di Testosterone rimane sconosciuto. Lu et al (78) hanno riferito che produzioni di lattato indotta dall’esercizio era correlata con l’aumento del Testosterone durante una sessione di nuoto ad alta intensità in ratti Sprague-Dawley. In una seconda parte dello studio, l’infusione diretta di lattato nei testicoli dei ratti è stata vista causare un aumento dose-dipendente dei livelli di Testosterone. D’altra parte, la ricerca controllata sugli esseri umani ha prodotto risultati disparati. Sebbene alcuni studi mostrino maggiore rilascio di Testosterone in seguito a protocolli di allenamento alto affaticamento metabolico rispetto a quelli che non causano accumulo significativo di metaboliti (79, 65, 66, 80, 81), altri non mostrano nessuna differenza significativa.(82, 83, 84) Inoltre, molti degli studi sull’allenamento BFR non sono riusciti a trovare aumenti acuti di Testosterone significativamente maggiori malgrado gli alti livelli di metaboliti (69, 83, 85), e questo mette in dubbio quanto l’ormone in questione sia influenzato dall’accumulo di metaboliti. Le incongruenze tra gli studi potrebbero riguardare fattori demografici come sesso, età ed anzianità di allenamento, e inoltre lo stato nutrizionale ha dimostrato di influenzare il rilascio di testosterone.(86) Comunque sia, l’ipotetico impatto dei picchi ormonali transitori in seguito all’allenamento sugli adattamenti ipertrofici rimane quanto meno discutibile. Se un tale ruolo è presente,il suo impatto sembrerebbe essere di poca importanza.

Tiriamo le somme…

Ci sono quindi forti evidenze che lo stress metabolico indotto dall’esercizio contribuisca alla risposta ipertrofica. Quello che resta da determinare è se tali effetti siano additivi allo stimolo derivato dalle forze meccaniche o se siano ridondanti dopo che una certa soglia di carico sia stata raggiunta. Un problema nel cercare di trarre inferenze dai disegni sperimentali di allenamento è che tensione meccanica e stress metabolico si presentano contemporaneamente, confondendo la capacità di distinguere gli effetti di uno da quelli dell’altro. Questo può portare a credere che i fattori metabolici siano la causa della crescita quando in realtà lo sono i fattori meccanici, o viceversa.

La capacità di derivare un rapporto di causa-effetto tra ipertrofia e stress metabolico è ulteriormente ridotta dal fatto che l’accumulo di metaboliti indotti dall’esercizio si verifica generalmente in tandem con il danno alle fibre muscolari. Data la credenza comune secondo cui l’esercizio che causa danno muscolare causi il maggiore stimolo anabolico (87), è difficile separare gli effetti di una variabile dall’altra per quanto riguarda gli adattamenti ipertrofici. Le ricerche che dimostrano che l’allenamento BFR aumenta la crescita muscolare senza danni significativi alle fibre suggeriscono che gli effetti ipertrofici di accumulo di metaboliti siano infatti separati da quelli del danno muscolare (88), anche se esistono prove contrastanti sull’argomento che impediscono di trarre una conclusione definitiva.(89)

Infine, e cosa più importante, i meccanismi responsabili di eventuali effetti anabolici dello stress metabolico non sono stati completamente chiariti. Sebbene l’aumentato reclutamento delle fibre muscolari sembra svolgere un ruolo importante, è improbabile che il reclutamento rappresenti il solo beneficio ipertrofico dell’accumulo di metaboliti. Piuttosto, le prove suggeriscono che interazione combinata di più fattori locali, e probabilmente anche sistemici, contribuisca alla crescita in maniera diretta o facilitate, o entrambe.(90) Il fatto che gli studi effettuati fino ad oggi riguardino principalmente soggetti non allenati lascia aperta la possibilità che i meccanismi possano differire in base all’anzianità di allenamento.

Le tecniche allenanti che possono enfatizzare lo stress metabolico vanno oltre il solo BFR (vedi, per esempio, flex between sets e peack of contrattion), ma questa, all’apparenza, “bizzarra” tecnica di allenamento ha mostrato di poter creare uno stress metabolico più accentuato. Per questo motivo e per via della sua scarsa diffusione nelle preparazioni dei Bodybuilder ho deciso di trattarlo in modo completo ed esauriente.

Il “Blood flow restriction training” (BFR)

Introduzione e studi correlati

bfrk.jpg

Il “Blood flow restriction training” (abbreviato in “BFR training” e conosciuto anche con il nome di “Kaatsu Training”) o allenamento con occlusione è un approccio allenante che vede l’uso di lacci emostatici o apposite fasce posizionate all’altezza dell’inserzione articolare durante lo svolgimento di esercizi contro resistenza o aerobici.(91) Con questo metodo di allenamento, il flusso sanguigno verso e dagli arti viene limitato per l’appunto da una fascia durante il ciclo di contrazione e il periodo di riposo. Ciò comporta una parziale restrizione dell’afflusso arterioso ai muscoli, ma, in modo più significativo, limita il deflusso venoso dal muscolo.(92) Data la natura a carico leggero (generalmente pari a <40% del 1RM)e i benefici sulla forza derivanti dal BFR, esso può fornire un efficace stimolo riabilitativo clinico senza gli alti livelli di stress articolare associati all’allenamento a carico pesante.(93)

Diversi professionisti utilizzano una vasta gamma di protocolli BFR che non corrispondono a quanto riportato nella letteratura scientifica.(94) Gli attuali approcci che si concentrano sull’applicazione del BFR durante l’esercizio fisico consistono in sistemi di laccio emostatico pneumatico automatico o dispositivo gonfiabile portatile chiamato bracciale di occlusione. La ricerca che dimostra l’influenza della circonferenza della coscia e della larghezza della fascia (95) sulla pressione di occlusione ha accentuato la probabile necessità di un approccio individualizzato al BFR, in particolare per quanto riguarda l’impostazione della pressione della restrizione. Recentemente è in uso una tecnica per calcolare e prescrivere lo stimolo occlusivo in percentuale sulla pressione di occlusione totale negli arti, e rappresenta solo un esempio degli sforzi per tenere conto dei fattori di cui sopra e fornire un approccio individualizzato alla prescrizione dell’allenamento BFR relativamente rapido e sicuro. Mentre la relazione tra la pressione nel BFR e la compressione del tessuto sottostante durante l’esercizio non è ancora completamente compresa, l’allenamento BFR che utilizza il 40 -80% della pressione occlusiva negli arti è sicuro ed efficace se supervisionato da professionisti esperti (96);ciò nonostante, anche pressioni più basse possono fornire meno rischi senza la necessità di ricercare gradi pressori più elevati.

L’impatto dello stress metabolico sugli adattamenti ipertrofici è esemplificato negli studi sulla metodica BFR. La maggior parte della letteratura indica che l’allenamento BFR stimola la segnalazione anabolica e la sintesi proteica muscolare (43) e aumenta notevolmente la crescita muscolare (97) nonostante l’utilizzo di carichi spesso considerati troppo bassi per promuovere ipertrofia in modo significativo.(98, 99)

Si è ipotizzato che lo stress metabolico sia il fattore principale dell’ipertrofia indotta dal BFR. Sono stati notati forti accumuli di metaboliti durante questo tipo di allenamento (100), il che indica una associazione fra lo stress metabolico e la crescita muscolare osservata. A ulteriore sostegno di questa tesi, un aumento significativo nella sezione trasversale dei muscoli della coscia è stato notato in giovani soggetti maschi dopo 3 settimane di camminate con occlusione nelle gambe.(101)

Dato che giovani soggetti sani generalmente non subiscono aumenti della massa muscolare in seguito a sedute di allenamento aerobico a bassa intensità, lo studio fornisce una forte indicazione che esistono fattori diversi dalla tensione meccanica, responsabili degli adattamenti ipertrofici. Infatti, è stato osservato che gli aumenti nella sezione trasversale del muscolo sono significativamente correlati con i cambiamenti nei fosfati inorganici (r=.876) e nel pH intramuscolare (r=.601) durante l’allenamento BFR effettuato al 20% del 1RM. Ciò indica che lo stress metabolico generato durante l’allenamento contro resistenza è un regolatore chiave per la crescita muscolare.(102)

Gli studi che indagano gli effetti dell’allenamento contro resistenza in condizione di ipossia forniscono ulteriori prove della correlazione tra stress metabolico e crescita muscolare. Ko net al (103) hanno osservato che respirare solo il 13% di ossigeno durante un protocollo a set multipli e a basso carico ( 50% del 1RM), con intervalli di recupero piuttosto brevi (1 minuto) tra i set aumentava significativamente i livelli ematici di lattato rispetto allo stesso allenamento svolto in condizioni di normossia. Analogamente, Nishimura et al (104) hanno riferito aumenti significativamente maggiori nella sezione trasversale del flessore del gomito in seguito all’esecuzione di 4 set da 10 ripetizioni al 70% del 1RM effettuate in condizioni di ipossia acuta contro normossia. I meccanismi responsabili dell’aumento della risposta ipertrofica in seguito a sedute allenanti in ipossia devono ancora essere determinate, ma il maggiore accumulo di metaboliti è ritenuto svolgere un ruolo nel processo.(105)

Applicazioni pratiche

PRO_Bands_Main_Image_Revised2_640x640_crop_centerCome già accennato, il BFR è una metodica allenante contro resistenza articolare applicabile anche ad esercizi cardio a bassa intensità.

Lo schema di ripetizione standard utilizzato nel BFR consiste nell’esecuzione di 30 ripetizioni seguite da una pausa di 30 secondi seguita a sua volta da altre 3 serie da 15 ripetizioni intervallate sempre da 30 secondi di pausa (30/15/15/15) con un carico del 50% o meno del 1RM generalmente nell’esercizio di chiusura della seduta allenante di un dato gruppo muscolare (vedi, ad esempio, bicipiti o tricipiti). Questa esecuzione ci dà un volume di 75 ripetizioni totali in BFR. Il primo set di 30 ripetizioni può essere visto come il carico di innesco per iniziare il ciclo Cori o il ciclo dell’acido lattico. Questo primo set è generalmente ben tollerato dal soggetto e spesso si percepisce come estremamente facile. Il laccio emostatico o fascia viene lasciato applicato durante il periodo di riposo, questo è molto importante per l’accumulo dei metaboliti nel muscolo target.

I seguenti 3 set e periodi di riposo sono molto più difficili da gestire a causa del successivo accumulo di lattato. L’RPE è strettamente correlato all’accumulo di lattato. Inoltre, i soggetti possono avvertire un leggero e ulteriore aumento della frequenza cardiaca durante l’esercizio. Ciò è normale a causa del ridotto ritorno venoso, del conseguente calo del volume ematico e dell’aumentata FC per mantenere la gittata cardiaca. Se in qualsiasi momento il soggetto dovesse avvertire vertigini o dolore da moderato a grave nella zona soggetta alla compressione con o senza intorpidimento o parestesia nell’arto deve essere immediatamente interrotta la sessione di allenamento.

Una volta che il soggetto ha terminato la sessione di allenamento, percepirà la riperfusione di sangue nell’arto e il “bruciore” dato dal lattato, i quali generalmente scompaiono in breve tempo. Spesso il soggetto si sente molto affaticati agli arti e studi sulla misurazione della produzione di forza immediatamente dopo il BFR anche a carichi bassi hanno dimostrato una forza significativamente ridotta. Ed è per questo motivo che questa metodica allenante viene diligentemente inserita in chiusura della seduta di allenamento e non prima dello svolgimento di esercizi con carichi elevati. Questi stessi esercizi non dovrebbero essere eseguiti in BFR. Tuttavia, ci saranno momenti in cui il soggetto non è in grado di raggiungere il volume target. Bisogna ricordare che il volume è la chiave per l’aumento della forza e l’ipertrofia nell’allenamento BFR.

Gli esercizi comunemente utilizzati con il BFR comprendono per la parte superiore del corpo: Curl (con bilanciere, manubri, macchine o cavi), French Press, Push Down ecc…

Gli esercizi comunemente utilizzati con il BFR comprendono per la parte inferiore del corpo: Leg-Extesion, Leg-Curl, Calf, Squat, Stacchi, camminata e Cyclette.

Di seguito sono riportate le linee guida da seguire per quanto riguarda la progressione dell’esercizio in BFR e le difficoltà con il raggiungimento del volume: Carico: 20-30% 1RM (determinato, stimato). Se il soggetto raggiunge:

  • 75 ripetizioni = Continua con l’allenamento, rivaluta l’1RM entro 1-3 sessioni. Ristabilisci la nuova gamma del 20-30% man mano che la forza migliora.
  • 60-74 ripetizioni = Continua con l’allenamento, ma prolunga il periodo di riposo tra le serie 3 e 4 a 45 secondi. Fino al completamento di 75 ripetizioni.
  • 45-59 Ripetizioni = Continua con l’allenamento, ma estendi il periodo di riposo tra tutte le serie a 45-60 secondi.
  • <44 Ripetizioni = Ridurre il carico di circa il 10% fino a raggiungere 75 ripetizioni.
  • Se costretto a fermarsi prima di 75 ripetizioni a causa di dolore, indolenzimento o sensazione di disagio generale nell’area di posizionamento del laccio emostatico = Ridurre la pressione del laccio emostatico del 10% ad ogni sessione di allenamento fino a raggiungere la tolleranza pressoria. Aumentare la pressione della cuffia del 10% per raggiungere la pressione di occlusione dell’arto fino alla massima tollerabilità soggettiva.

Nota: diversi atleti dividono gli allenamenti della settimana in due set: nel primo set svolgono allenamenti tipici del Powerlifting o ibridati (vedi Powerbuilding), nel secondo set si dedicano ad allenamenti prettamente metabolici con l’inserimento in chiusura della seduta di un esercizio in BFR.

Possibili effetti collaterali e controindicazioni

Gli effetti collaterali che possono essere riportati durante l’esecuzione di esercizi in BFR sono svenimento e vertigini, intorpidimento, dolore e disagio, indolenzimento muscolare ad insorgenza ritardata.(106)

Tutti i soggetti devono essere valutati per i rischi e le controindicazioni all’uso del laccio emostatico prima dell’applicazione del BFR. I soggetti a probabile rischio di reazioni avverse sono quelli con scarsi sistemi circolatori, obesità, diabete, calcificazione arteriosa, tratto falciforme, ipertensione grave o compromissione renale.(107) Potenziali controindicazioni da considerare sono tromboembolia venosa, compromissione vascolare periferica, anemia falciforme, infezione delle estremità, linfoadenectomia, cancro o tumore, estremità con accesso alla dialisi, acidosi, frattura aperta, aumento degli innesti vascolari a pressione intracranica o farmaci noti per aumentare il rischio di coagulazione.(108)

Quando si usano lacci o fasce emostatiche, la quantità di pressione sul sistema vascolare non può essere controllata e ci sono state segnalazioni di casi di rabdomiolisi dovuti al VOT.(109) Un sostenitore del metodo, il dottor Yoshiaki Sato, ha rischiato la vita nel 1967 per via della mancata regolazione del VOT, portandolo a concentrarsi maggiormente sul controllo e la regolazione della pressione applicata sulla vascolarizzazione.

Conclusione

Il BFR training è senza dubbio una metodica allenante interessante da poter inserire nella propria preparazione, in specie sui gruppi muscolari carenti e a conclusione di una seduta ad essi dedicata, o semplicemente come “richiamo”. L’atleta o il preparatore che desidera applicare in modo corretto il BFR deve essere in grado di gestirlo in maniera ottimale. A tal fine il presente articolo può offrire le basi necessarie affinché ciò possa avvenire.

Gabriel Bellizzi

Riferimenti:

  • Scienza e sviluppo dell’ipertrofia muscolare” di Brad Schoenfeld (pag. 36-41).
  1. Rooney, KJ, Herbert, RD, and Balnave, RJ. Fatigue contributes to the strength trining stimulus. Med Sci Sports Exerc. 26: 1160-1164, 1994.
  2. Schott, J, McCully, K, and Rutherford, OM. The role of metabolites in strength trining. II. Short versus long isometric contractions. Eur J Appl Physiol Occup Physiol. 71: 337-341, 1995.
  3. Smith, RC, and Rutherford. OM. The role of metabolites in strength trining. I. A comparison of eccentric and concentric contractions. Eur J Appl Physiol Occup Physiol. 71: 332-336, 1995.
  4. Suga T, Okita K, Morita N, Yokota T, Hirabayashi K, Horiuchi M, Takada S, Takahashi T, Omokawa M, Kinugawa S, Tsutsui H. Intramuscular metabolism during low-intensity resistance exercise with blood flow restriction. J Appl Physiol (1985). 2009 Apr;106(4):1119-24.
  5. Tesch PA, Colliander EB, Kaiser P. Muscle metabolism during intense, heavy-resistance exercise. Eur J Appl Physiol Occup Physiol. 1986;55(4):362-6.
  6. Robbins, DW, Goodale, TL, Docherty, D, Behm, DG, and Tran, QT. The effects of load and training pattern on acute neuromuscular responses in the upper body. J Strength Cond Res. 2010 Nov;24(11):2996-3007.
  7. MacDougall JD, Ray S, Sale DG, McCartney N, Lee P, Garner S. Muscle substrate utilization and lactate production. 1999 Jun;24(3):209-15.
  8. Tamaki T, Uchiyama S, Tamura T, Nakano S. Changes in muscle oxygenation during weight-lifting exercise. 1994;68(6):465-9.
  9. Street SF. Lateral transmission of tension in frog myofibers: a myofibrillar network and transverse cytoskeletal connections are possible transmitters.
    1983 Mar;114(3):346-64.
  10. Fry AC. The role of resistance exercise intensity on muscle fibre adaptations. 2004;34(10):663-79.
  11. Schoenfeld BJ. The mechanisms of muscle hypertrophy and their application to resistance training. 2010 Oct;24(10):2857-72.
  12. Lambert CP, Flynn MG. Fatigue during high-intensity intermittent exercise: application to bodybuilding. 2002;32(8):511-22.
  13. Kraemer WJ, Marchitelli L, Gordon SE, Harman E, Dziados JE, Mello R, Frykman P, McCurry D, Fleck SJ. Hormonal and growth factor responses to heavy resistance exercise protocols. 1990 Oct;69(4):1442-50.
  14. Kraemer WJ, Fleck SJ, Dziados JE, Harman EA, Marchitelli LJ, Gordon SE, Mello R, Frykman PN, Koziris LP, Triplett NT. Changes in hormonal concentrations after different heavy-resistance exercise protocols in women. 1993 Aug;75(2):594-604.
  15. Katch VL, Katch FI, Moffatt R, Gittleson M. Muscular development and lean body weight in body builders and weight lifters. 1980;12(5):340-4.
  16. JOYEON CHOIHIDEYUKI TAKAHASHIYUJI ITAIKAORU TAKAMATSU.  THE DIFFERENCE BETWEEN EFFECTS OF “POWER-UP TYPE” AND “BULK-UP TYPE” STRENGTH TRAINING EXERCISES. Japanese Journal of Physical. Volume 47 (1998) Issue 1.
  17. Masuda K, Choi JY, Shimojo H, Katsuta S. Maintenance of myoglobin concentration in human skeletal muscle after heavy resistance training. 1999 Mar;79(4):347-52.
  18. Schmidtbleicher et al.Neuronal adaptation and increase of cross-sectional area studying different strength training methods. In: Jonsson GB, ed. Biomechanics (vol. X-B, pp. 615-620). Champaign, IL: Human Kinetics, 1987.
  19. Campos GE, Luecke TJ, Wendeln HK, Toma K, Hagerman FC, Murray TF, Ragg KE, Ratamess NA, Kraemer WJ, Staron RS. Muscular adaptations in response to three different resistance-training regimens: specificity of repetition maximum training zones. 2002 Nov;88(1-2):50-60. Epub 2002 Aug 15.
  20. Schoenfeld BJ, Ratamess NA, Peterson MD, Contreras B, Sonmez GT, Alvar BA. Effects of different volume-equated resistance training loading strategies on muscular adaptations in well-trained men. J Strength Cond Res. 2014 Oct;28(10):2909-18.
  21. Gordon SE, Kraemer WJ, Vos NH, Lynch JM, Knuttgen HG. Effect of acid-base balance on the growth hormone response to acute high-intensity cycle exercise. 1994 Feb;76(2):821-9.
  22. Goto K, Ishii N, Kizuka T, Takamatsu K. The impact of metabolic stress on hormonal responses and muscular adaptations. 2005 Jun;37(6):955-63.
  23. Nishimura A, Sugita M, Kato K, Fukuda A, Sudo A, Uchida A. Hypoxia increases muscle hypertrophy induced by resistance training.
    2010 Dec;5(4):497-508.
  24. Takarada Y, Nakamura Y, Aruga S, Onda T, Miyazaki S, Ishii N. Rapid increase in plasma growth hormone after low-intensity resistance exercise with vascular occlusion. 2000 Jan;88(1):61-5.
  25. Houtman CJ, Stegeman DF, Van Dijk JP, Zwarts MJ. Changes in muscle fiber conduction velocity indicate recruitment of distinct motor unit populations. 2003 Sep;95(3):1045-54. Epub 2003 May 23.
  26. Sahlin K, Söderlund K, Tonkonogi M, Hirakoba K. Phosphocreatine content in single fibers of human muscle after sustained submaximal exercise.
    1997 Jul;273(1 Pt 1):C172-8.
  27. Vøllestad NK, Vaage O, Hermansen L. Muscle glycogen depletion patterns in type I and subgroups of type II fibres during prolonged severe exercise in man. 1984 Dec;122(4):433-41.
  28. Takarada Y, Takazawa H, Sato Y, Takebayashi S, Tanaka Y, Ishii N. Effects of resistance exercise combined with moderate vascular occlusion on muscular function in humans. 2000 Jun;88(6):2097-106.
  29. Ingemann-Hansen T, Halkjaer-Kristensen J, Halskov O. Skeletal muscle phosphagen and lactate concentrations in ischaemic dynamic exercise. 1981;46(3):261-70.
  30. Suga T, Okita K, Morita N, Yokota T, Hirabayashi K, Horiuchi M, Takada S, Omokawa M, Kinugawa S, Tsutsui H. Dose effect on intramuscular metabolic stress during low-intensity resistance exercise with blood flow restriction. 2010 Jun;108(6):1563-7. doi: 10.1152/japplphysiol.00504.2009. Epub 2010 Apr 1.
  31. Loenneke JP, Fahs CA, Wilson JM, Bemben MG. Blood flow restriction: the metabolite/volume threshold theory. Med Hypotheses. 2011 Nov;77(5):748-52. doi: 10.1016/j.mehy.2011.07.029. Epub 2011 Aug 12.
  32. Meyer RA. Does blood flow restriction enhance hypertrophic signaling in skeletal muscle? 2006 May;100(5):1443-4.
  33. Debold, EP. Recent insights into the molecular basis of muscular fatigue.
     Med Sci Sports Exerc. 44(8): 1440-1452, 2012.
  34. Miller, KJ, Garland, SJ, Ivanova, T, and Ohtsuki, T. Motor-unit behavior in humans during fatiguing arm movements. J Neurophysiol. 75: 1629-1636, 1996.
  35. Laurentino, GC, Ugrinowitsch, C, Roschel, H, Aoki, MS, Soares, AG, Neves, M, Jr, Aihara, AY , Fernandes Ada, R, and Tricoli, V . Strength training with blood flow restriction diminishes myostatin gene expression. Med Sci Sports Exerc. 44: 406-412, 2012. 
  36. Yasuda, T, Abe, T, Sato, Y , Midorikawa, T, Kearns, CF, Inoue, K, Ryushi, T, and Ishii, N. Muscle fiber cross-sectional area is increased after two weeks of twice daily KAATSU-resistance training. Int J KAATSU Train Res. 1: 65-70, 2005.
  37.  Manini, TM, and Clark, BC. Blood flow restricted exercise and skeletal muscle health. Exerc Sport Sci Rev. 37: 78-85, 2009.
  38. Akima, H, and Saito, A. Activation of quadriceps femoris including vastus intermedius during fatiguing dynamic knee extensions. Eur J Appl Physiol. 113: 2829-2840, 2013.
  39. Cook, SB, Murphy, BG, and Labarbera, KE. Neuromuscular function after a bout of low-load blood flow-restricted exercise. Med Sci Sports Exerc. 45: 67-74, 2013.
  40. Schoenfeld, BJ, Contreras, B, Willardson, JM, Fontana, F, and TiryakiSonmez, G. Muscle activation during low- versus high-load resistance training in well-trained men. Eur J Appl Physiol. 114: 2491-2497, 2014.
  41. Fujita, T, Brechue, WF, Kurita, K, Sato, Y , and Abe, T. Increased muscle volume and strength following six days of low-intensity resistance training with restricted muscle blood flow. Int J KAATSU Training Res. 4: 1-8, 2008.
  42. Abe , T, Beekley, MD, Hinata, S, Koizumi, K, and Sato, Y . Day-to-day change in muscle strength and MRI-measured skeletal muscle size during 7 days KAATSU resistance training: A case study. Int J Kaatsu Training Res. 1: 71-76, 2005.
  43.  Fry, CS, Glynn, EL, Drummond, MJ, Timmerman, KL, Fujita, S, Abe, T, Dhanani, S, Volpi, E, and Rasmussen, BB. Blood flow restriction exercise stimulates mTORC1 signaling and muscle protein synthesis in older men. J Appl Physiol. 108: 1199-1209, 2010.
  44. Kawada, S, and Ishii, N. Skeletal muscle hypertrophy after chronic restriction of venous blood flow in rats. Med Sci Sports Exerc. 37: 11441150, 2005.
  45. Drummond, MJ, Fujita, S, Abe, T, Dreyer, HC, Volpi, E, and Rasmussen, BB. Human muscle gene expression following resistance exercise and blood flow restriction. Med Sci Sports Exerc. 40: 691-698, 2008.
  46.  Manini, TM, Vincent, KR, Leeuwenburgh, CL, Lees, HA, Kavazis, AN, Borst, SE, and Clark, BC. Myogenic and proteolytic mRNA expression following blood flow restricted exercise. Acta Physiol. (Oxf.) 201: 255263, 2011.
  47. Haussinger, D, Lang, F, and Gerok, W . Regulation of cell function by the cellular hydration state. Am J Physiol. 267: E343-E355, 1994.
  48. Haussinger, D. The role of cellular hydration in the regulation of cell function. Biochem J. 313 (Pt 3): 697-710, 1996.
  49. Lang, F, Busch, GL, Ritter, M, Volkl, H, Waldegger, S, Gulbins, E, and Haussinger, D. Functional significance of cell volume regulatory mechanisms. Physiol Rev. 78: 247-306, 1998.
  50. Lang, F. Mechanisms and significance of cell volume regulation. J Am Coll Nutr. 26: 613S-623S, 2007.
  51.  Schoenfeld, BJ. The mechanisms of muscle hypertrophy and their application to resistance training. J Strength Cond Res. 24: 2857-2872, 2010.
  52. Low, SY , Rennie, MJ, and Taylor, PM. Signaling elements involved in amino acid transport responses to altered muscle cell volume. FASEB J. 11: 1111-1117, 1997.
  53.  Clarke, MS, and Feeback, DL. Mechanical load induces sarcoplasmic wounding and FGF release in differentiated human skeletal muscle cultures. FASEB J. 10: 502-509, 1996.
  54.  Lambert, IH, Hoffmann, EK, and Pedersen, SF. Cell volume regulation: Physiology and pathophysiology. Acta Physiol. (Oxf.) 194: 255-282,
    2008.
  55. Schliess, F, Richter, L, vom Dahl, S, and Haussinger, D. Cell hydration and mTOR-dependent signalling. Acta Physiol. (Oxf.) 187: 223-229, 2006.
  56. Finkenzeller, G, Newsome, W , Lang, F, and Haussinger, D. Increase of cjun mRNA upon hypo-osmotic cell swelling of rat hepatoma cells. FEBS Lett. 340: 163-166, 1994.
  57. Schoenfeld, B, Kolber, MJ, and Haimes, JE. The upright row: Implications for preventing subacromial impingement. Strength Cond J. 33: 25-28, 2011.
  58. Dangott, B, Schultz, E, and Mozdziak, PE. Dietary creatine monohydrate supplementation increases satellite cell mitotic activity during compensatory hypertrophy. Int J Sports Med. 21: 13-16, 2000.
  59.  Sjogaard, G. Water and electrolyte fluxes during exercise and their relation to muscle fatigue. Acta Physiol Scand Suppl. 556: 129-136, 1986.
  60.  Frigeri, A, Nicchia, GP, Verbavatz, JM, Valenti, G, and Svelto, M. Expression of aquaporin-4 in fast-twitch fibers of mammalian skeletal muscle. J Clin Invest. 102: 695-703, 1998.
  61. Sjogaard, G, Adams, RP, and Saltin, B. Water and ion shifts in skeletal muscle of humans with intense dynamic knee extension. Am J Physiol. 248: R190-6, 1985.
  62.  Usher-Smith, JA, Fraser, JA, Bailey, PS, Griffin, JL, and Huang, CL. The influence of intracellular lactate and H+ on cell volume in amphibian skeletal muscle. J Physiol. 573: 799-818, 2006.
  63. Kosek, DJ, Kim, JS, Petrella, JK, Cross, JM, and Bamman, MM. Efficacy of 3 days/wk resistance training on myofiber hypertrophy and myogenic mechanisms in young vs. older adults. J Appl Physiol. 101: 531-544, 2006.
  64.  Gordon, SE, Kraemer, WJ, Vos, NH, Lynch, JM, and Knuttgen, HG. Effect of acid-base balance on the growth hormone response to acute highintensity cycle exercise. J Appl Physiol. 76: 821-829, 1994.
  65. Gotshalk, LA, Loebel, CC, Nindl, BC, Putukian, M, Sebastianelli, WJ, Newton, RU, Hakkinen, K, and Kraemer, WJ. Hormonal responses of multiset versus single-set heavy-resistance exercise protocols. Can J Appl Physiol. 22: 244-255, 1997.
  66. Hakkinen, K, and Pakarinen, A. Acute hormonal responses to two different fatiguing heavy-resistance protocols in male athletes. J Appl Physiol. 74: 882-887, 1993.
  67. Pierce, JR, Clark, BC, Ploutz-Snyder, LL, and Kanaley, JA. Growth
    hormone and muscle function responses to skeletal muscle ischemia. J Appl Physiol. 101: 1588-1595, 2006.
  68. Takano, H, Morita, T, Iida, H, Asada, K, Kato, M, Uno, K, Hirose, K, Matsumoto, A, Takenaka, K, Hirata, Y , Eto, F, Nagai, R, Sato, Y , and Nakajima, T. Hemodynamic and hormonal responses to a short-term lowintensity resistance exercise with the reduction of muscle blood flow. Eur J Appl Physiol. 95: 65-73, 2005.
  69. Fujita, S, Abe, T, Drummond, MJ, Cadenas, JG, Dreyer, HC, Sato, Y , Volpi, E, and Rasmussen, BB. Blood flow restriction during low-intensity resistance exercise increases S6K1 phosphorylation and muscle protein synthesis. J Appl Physiol. 103: 903-910, 2007.
  70. Godfrey, RJ, Whyte, GP, Buckley, J, and Quinlivan, R. The role of lactate in the exercise-induced human growth hormone response: Evidence from McArdle disease. Br J Sports Med. 43: 521-525, 2009.
  71. Loenneke, JP, Wilson, GJ, and Wilson, JM. A mechanistic approach to blood flow occlusion. Int J Sports Med. 31: 1-4, 2010.
  72. Viru, M, Jansson, E, Viru, A, and Sundberg, CJ. Effect of restricted blood flow on exercise-induced hormone changes in healthy men. Eur J Appl Physiol Occup Physiol. 77: 517-522, 1998.
  73.  Kraemer, WJ, Marchitelli, L, Gordon, SE, Harman, E, Dziados, JE, Mello, R, Frykman, P, McCurry, D, and Fleck, SJ. Hormonal and growth factor responses to heavy resistance exercise protocols. J Appl Physiol. 69: 1442-1450, 1990.
  74. Kraemer, WJ, Gordon, SE, Fleck, SJ, Marchitelli, LJ, Mello, R, Dziados, JE, Friedl, K, Harman, E, Maresh, C, and Fry, AC. Endogenous anabolic hormonal and growth factor responses to heavy resistance exercise in males and females. Int J Sports Med. 12: 228-235, 1991.
  75. Rubin, MR, Kraemer, WJ, Maresh, CM, Volek, JS, Ratamess, NA, Vanheest, JL, Silvestre, R, French, DN, Sharman, MJ, Judelson, DA, Gomez, AL, Vescovi, JD, and Hymer, WC. High-affinity growth hormone binding protein and acute heavy resistance exercise. Med Sci Sports Exerc. 37: 395-403, 2005.
  76.  Kraemer, WJ, Aguilera, BA, Terada, M, Newton, RU, Lynch, JM, Rosendaal, G, McBride, JM, Gordon, SE, and Hakkinen, K. Responses of IGF-I to endogenous increases in growth hormone after heavy-resistance exercise. J Appl Physiol. 79: 1310-1315, 1995.
  77. Abe, T, Yasuda, T, Midorikawa, T, Sato, Y , Kearns, C, Inoue, K, Koizumi, K, and Ishii, N. Skeletal muscle size and circulating IGF-1 are increased after two weeks of twice daily KAATSU resistance training. Int J Kaatsu Training Res. 1: 6-12, 2005.
  78. Lu, SS, Lau, CP, Tung, YF, Huang, SW , Chen, YH, Shih, HC, Tsai, SC, Lu, CC, Wang, SW , Chen, JJ, Chien, EJ, Chien, CH, and Wang, PS. Lactate and the effects of exercise on testosterone secretion: Evidence for the involvement of a cAMP-mediated mechanism. Med Sci Sports Exerc. 29: 1048-1054, 1997.
  79. Buresh, R, Berg, K, and French, J. The effect of resistive exercise rest interval on hormonal response, strength, and hypertrophy with training. J Strength Cond Res. 23: 62-71, 2009.
  80. McCaulley, GO, McBride, JM, Cormie, P, Hudson, MB, Nuzzo, JL, Quindry, JC, and Travis Triplett, N. Acute hormonal and neuromuscular responses to hypertrophy, strength and power type resistance exercise. Eur J Appl Physiol. 105: 695-704, 2009.
  81. Smilios, I, Pilianidis, T, Karamouzis, M, and Tokmakidis, SP. Hormonal
    responses after various resistance exercise protocols. Med Sci Sports Exerc. 35: 644-654, 2003.
  82.  Kraemer, WJ, Marchitelli, L, Gordon, SE, Harman, E, Dziados, JE, Mello, R, Frykman, P, McCurry, D, and Fleck, SJ. Hormonal and growth factor responses to heavy resistance exercise protocols. J Appl Physiol. 69: 1442-1450, 1990.
  83. Reeves, GV , Kraemer, RR, Hollander, DB, Clavier, J, Thomas, C, Francois, M, and Castracane, VD. Comparison of hormone responses following light resistance exercise with partial vascular occlusion and moderately difficult resistance exercise without occlusion. J Appl Physiol. 101: 1616-1622, 2006.
  84.  Suga, T, Okita, K, Morita, N, Yokota, T, Hirabayashi, K, Horiuchi, M, Takada, S, Omokawa, M, Kinugawa, S, and Tsutsui, H. Dose effect on intramuscular metabolic stress during low-intensity resistance exercise with blood flow restriction. J Appl Physiol. 108: 1563-1567, 2010.
  85. Viru, M, Jansson, E, Viru, A, and Sundberg, CJ. Effect of restricted blood flow on exercise-induced hormone changes in healthy men. Eur J Appl Physiol Occup Physiol. 77: 517-522, 1998.
  86. Kraemer, WJ, and Ratamess, NA. Hormonal responses and adaptations to resistance exercise and training. Sports Med. 35: 339-361, 2005.
  87.  Schoenfeld, BJ. Does exercise-induced muscle damage play a role in skeletal muscle hypertrophy? J Strength Cond Res. 26: 1441-1453, 2012.
  88. Loenneke, JP, Thiebaud, RS, and Abe, T. Does blood flow restriction result in skeletal muscle damage? A critical review of available evidence. Scand J Med Sci Sports 24: e415-e422, 2014.
  89.  Wernbom, M, Paulsen, G, Nilsen, TS, Hisdal, J, and Raastad, T. Contractile function and sarcolemmal permeability after acute low-load resistance exercise with blood flow restriction. Eur J Appl Physiol. 112: 2051-2063, 2012.
  90. Widegren, U, Ryder, JW , and Zierath, JR. Mitogen-activated protein kinase signal transduction in skeletal muscle: Effects of exercise and muscle contraction. Acta Physiol Scand. 172: 227-238, 2001.
  91. Scott, Brendan R.; Loenneke, Jeremy P.; Slattery, Katie M.; Dascombe, Ben J. (March 2015). “Exercise with blood flow restriction: an updated evidence-based approach for enhanced muscular development”. Sports Medicine (Auckland, N.Z.). 45 (3): 313–325.
  92. Patterson, Stephen D.; Hughes, Luke; Head, Paul; Warmington, Stuart; Brandner, Christopher (2017-06-22). “Blood flow restriction training: a novel approach to augment clinical rehabilitation: how to do it”. Br J Sports Med. 51 (23): bjsports–2017–097738.
  93. Hughes, Luke; Paton, Bruce; Rosenblatt, Ben; Gissane, Conor; Patterson, Stephen David (2017-07-01). “Blood flow restriction training in clinical musculoskeletal rehabilitation: a systematic review and meta-analysis”. Br J Sports Med. 51 (13): 1003–1011.
  94. Patterson, Stephen D.; Brandner, Christopher R. (February 2017). “The role of blood flow restriction training for applied practitioners: A questionnaire-based survey” (PDF). Journal of Sports Sciences. 36 (2): 123–130.
  95. Loenneke, Jeremy P.; Fahs, Christopher A.; Rossow, Lindy M.; Sherk, Vanessa D.; Thiebaud, Robert S.; Abe, Takashi; Bemben, Debra A.; Bemben, Michael G. (2011-12-06). “Effects of cuff width on arterial occlusion: implications for blood flow restricted exercise”. European Journal of Applied Physiology. 112 (8): 2903–2912.
  96. Soligon, SD; Lixandrão, ME; Biazon, TMPC; Angleri, V; Roschel, H; Libardi, CA (September 2018). “Lower occlusion pressure during resistance exercise with blood-flow restriction promotes lower pain and perception of exercise compared to higher occlusion pressure when the total training volume is equalized”. Physiology International. 105 (3): 276–284.
  97. Loenneke, JP, Wilson, JM, Marin, PJ, Zourdos, MC, and Bemben, MG. Low intensity blood flow restriction training: A meta-analysis. Eur J Appl Physiol. 112(5): 1849-1859, 2011.
  98. Campos, GER, Luecke, TJ, Wendeln, HK, Toma, K, Hagerman, FC, Murray, TF, Ragg, KE, Ratamess, NA, Kraemer, WJ, and Staron, RS.
    Muscular adaptations in response to three different resistance-training regimens: Specificity of repetition maximum training zones. Eur J Appl Physiol. 88: 50-60, 2002.
  99.  Kraemer, WJ, Adams, K, Cafarelli, E, Dudley, GA, Dooly, C, Feigenbaum, MS, Fleck, SJ, Franklin, B, Fry, AC, Hoffman, JR, Newton,
    RU, Potteiger, J, Stone, MH, Ratamess, NA, and Triplett-McBride, T. American College of Sports Medicine position stand. Progression models in resistance training for healthy adults. Med Sci Sports Exerc. 34: 364380, 2002.
  100. Loenneke, JP, Wilson, GJ, and Wilson, JM. A mechanistic approach to blood flow occlusion. Int J Sports Med. 31: 1-4, 2010.
  101. Abe, T, Kearns, CF, and Sato, Y . Muscle size and strength are increased following walk training with restricted venous blood flow from the leg muscle, Kaatsu-walk training. J Appl Physiol. 100: 1460-1466, 2006.
  102. Takada, S, Okita, K, Suga, T, Omokawa, M, Kadoguchi, T, Sato, T, Takahashi, M, Yokota, T, Hirabayashi, K, Morita, N, Horiuchi, M, Kinugawa, S, and Tsutsui, H. Low-intensity exercise can increase muscle mass and strength proportionally to enhanced metabolic stress under ischemic conditions. J Appl Physiol. 1985(113): 199-205, 2012.
  103. Kon, M, Ikeda, T, Homma, T, and Suzuki, Y . Effects of low-intensity resistance exercise under acute systemic hypoxia on hormonal responses. J Strength Cond Res. 26: 611-617, 2012.
  104.  Nishimura, A, Sugita, M, Kato, K, Fukuda, A, Sudo, A, and Uchida, A. Hypoxia increases muscle hypertrophy induced by resistance training. Int J Sports Physiol. Perform. 5: 497-508, 2010.
  105.  Schliess, F, Richter, L, vom Dahl, S, and Haussinger, D. Cell hydration and mTOR-dependent signalling. Acta Physiol. (Oxf.) 187: 223-229, 2006.
  106. Brandner, Christopher & May, Anthony & Clarkson, Matthew & Warmington, Stuart. (2018). Reported Side-effects and Safety Considerations for the Use of Blood Flow Restriction During Exercise in Practice and Research. Techniques in Orthopaedics. 33. 1. 10.1097/BTO.0000000000000259.
  107. Jump up DePhillipo NN, Kennedy MI, Aman ZS, Bernhardson AS, O’Brien L, LaPrade RF. Blood Flow Restriction Therapy After Knee Surgery: Indications, Safety Considerations, and Postoperative Protocol. Arthroscopy techniques. 2018 Oct 1;7(10):e1037-43.
  108. Johnny Owens. Owens Recovery Science. Blood Flow Restriction Rehabilitation Accessed from http://www.owensrecoveryscience.com
  109. Spranger MD, Krishnan AC, Levy PD, O’Leary DS, Smith SA. Blood flow restriction training and the exercise pressor reflex: a call for concern. American Journal of Physiology-Heart and Circulatory Physiology. 2015 Sep 4;309(9):H1440-52.

Back Squat e Front Squat: stimoli muscolari differenti?

Lo stimolo dato dallo Squat ai muscoli quadricipiti, muscoli ischio crurali, muscoli adduttori e grande, piccolo e medio gluteo e muscoli polpacci non subisce alcuna differenza significativa tra l’esecuzione “Back” e “Front”. Gli scienziati dello sport presso l’Università della Florida lo hanno osservato confrontando gli effetti del Back-Squat con quelli del Front-Squat.(1)

Nell’ambiente delle palestre, tra le innumerevoli “leggende” che aleggiano su nutrizione, integrazione e allenamento, spesso si senti dire che il Front-Squat è più leggero sulla parte bassa della schiena e isola maggiormente i quadricipiti femorali, o che un modo di fare Squat è migliore dell’altro per il gluteo o gli ischiocrurali. Fino al momento della realizzazione del presente studio, le ricerche a riguardo erano state inconcludenti. Partendo da questo punto, i ricercatori dell’Università della Florida decisero dieci anni fa di esaminare le differenze tra le due varianti dello Squat.

I ricercatori hanno reclutato 9 uomini e 6 donne, tutti con un percorso di allenamento contro resistenza di almeno un anno, facendogli svolgere alternativamente il Back Squat e il Front Squat. I muscoli nei soggetti erano monitorati tramite elettrodi in modo tale che i ricercatori potessero misurare la forza espressa dai muscoli. La risultante fu che non trovarono alcuna differenza tra Back e il Front-Squat.

frontsquat.gif
BF = bicipite femorale [il tendine del ginocchio sulla parte esterna della coscia]; RF = rettore femorale [il grande muscolo quadricipite nella parte anteriore della coscia]; ST = semitendinosus [il tendine del ginocchio all’interno della coscia]; VL = vastus lateris [il quadricipite ane all’esterno della coscia]; VM = vastus medialis [il quadricipite  all’interno della coscia]; E = erector spinae [muscolo lungo la parte inferiore della colonna vertebrale].
 

I ricercatori hanno anche monitorato il grado di pressione causata a livello articolare dalle due varianti dello Squat. I risultati hanno mostrato che il Front Squat ha causato una pressione del 18% inferiore sull’articolazione del ginocchio rispetto al Back Squat.

Quindi, è possibile ipotizzare che gli atleti con problemi alle articolazioni del ginocchio, o soggetti alla loro comparsa, il Front Squat offre un vantaggio maggiore rispetto al Back Squat. Lo stesso vale per gli atleti che hanno una flessibilità ridotta nell’articolazione della spalla e trovano difficile tenere la barra mentre eseguono il Back Squat. Ma se non si hanno tali problemi non c’è motivo di scegliere una variante rispetto all’altra. L’effetto a livello muscolare è praticamente il medesimo, anche se la variabile dei carichi gestibili in ambo le varianti risulta senza dubbio incisiva.

Per concludere, non posso esimermi dal citare uno studio del 2015 (2) che prendeva nuovamente in esame le differenze tra le due varianti di Squat, e nel quale sono state misurate le attività elettromiografiche del vasto laterale, vasto mediale, retto femorale, semitendinoso, bicipite femorale, gluteo massimo ed erettore spinale mentre i partecipanti (n = 12, 21,2 ± 1,9 anni) stavano completando l’esecuzione del Front e del Back Squat con il massimo carico. Il t-test del campione accoppiato è stato utilizzato per confronti tra le due tecniche. I risultati hanno mostrato che l’attività elettromiografica del vasto mediale è risultata maggiore nel Front Squat rispetto al Back Squat durante la fase ascendente (P <0,05, d = 0,62; IC al 95%, -15,0 / -4,17) e l’intera esecuzione (P <0,05, d = 0,41; IC al 95%, -12,8 / -0,43), mentre l’attività elettromiografica semitendinosa (P <0,05, d = -0,79; IC al 95%, 0,62 / 20,59) era maggiore nel Back Squat nella fase ascendente. Rispetto alla variate Front Squat, il back Squat mostrava una inclinazione del tronco significativamente maggiore, senza differenze nella cinetica dell’articolazione del ginocchio durante tutto il movimento. I risultati possono suggerire che il Front Squat può essere preferito al Back Squat per lo sviluppo dell’estensore del ginocchio e per prevenire possibili lesioni lombari durante il carico massimo.

 

frontback.png
-Back Squat  – Front Squat

Due studi differenti ma che mostrano entrambi alcune similitudini riguardo alle reali differenze tra le due varianti dello Squat, differenze visibili anche attraverso il grafico sopra esposto.

Gabriel Bellizzi

Riferimenti:

  1. https://www.ncbi.nlm.nih.gov/pubmed/19002072
  2. https://www.ncbi.nlm.nih.gov/pubmed/25630691

CICLO MESTRUALE E RICOMPOSIZIONE CORPOREA

L’ipotesi del miglioramento della composizione corporea in soggetti di sesso femminile variando i fattori allenante e alimentare in base alla fase del ciclo mestruale si è diffusa negli ultimi anni grazie ai lavori di Lyle McDonald. Nonostante ciò, le evidenze in merito sono ancora poche e la maggior parte dei possibili vantaggi di tale approccio in giovani donne provengono da dati empirici raccolti nel tempo da atlete e Preparatori. Esistono comunque degli studi dal valido designer che ci mostrano il potenziale di questa pratica di gestione della preparazione “drug free” al femminile. Uno studio a riguardo di particolare interesse, e che riporterò in questa sede, è quello svolto dai ricercatori dell’Università Ruhr di Bochum e pubblicato su “Springerplus” nel novembre del 2014.(1)

menstrualphases.gif

Le donne presentano livelli ematici maggiori di Testosterone ed Estradiolo durante la Fase Follicolare del loro ciclo mestruale rispetto alla Fase Luteale. Gli scienziati dello sport sospettano da tempo che le atlete possano sfruttare le fluttuazioni ormonali legate alle fasi del ciclo mestruale.

I ricercatori si aspettavano di osservare un recupero più rapido dalla seduta allenante durante la Fase Follicolare. Per scoprirlo, i ricercatori hanno svolto l’esperimento sopra accennato reclutando 20 donne la cui età media era di 25 anni. Le donne avevano tutte un ciclo regolare e non usavano alcuna pillola contraccettiva.

I soggetti dell’esperimento sono stati sottoposti ad allenamenti su Leg-Press. Tali allenamenti consistevano nello stimolo separato degli arti inferiori sinistro e destro.

Gli allenamenti durante la Fase Follicolare avevano un volume maggiore per un arto e non per l’altro e viceversa durante la Fase Luteale. Ogni ciclo consisteva in: 8 set durante la Fase Follicolare e 2 durante la Fase Luteale [FT] o 8 set durante la Fase Luteale e 2 durante la Fase Follicolare [LT].

L’esperimento è durato per cinque cicli mestruali.

Alla fine dell’esperimento i soggetti sottoposti alla routine allenante con volume alternato per ogni arto inferiore, presentavano il 46% di massa muscolare e il 42% di forza in più nella gamba che avevano allenato con maggiore enfasi durante la Fase Follicolare rispetto all’altra gamba.

menstrualphasesstrengthtraining.gif

menstrualphasesstrengthtraining2.gif

I ricercatori conclusero, forse un po’ troppo entusiasticamente, raccomandando alle atlete eumenorroiche, e che non usano contraccettivi, di basare la propria periodizzazione nell’allenamento della forza sul proprio ciclo mestruale.

Personalmente, ho visto diverse atlete approcciarsi a tale schema prepararatorio osservando costantemente un obbligo di variazioni allenante e alimentari che va oltre un modello schematico. E’ teoricamente possibile che,per esempio, e molto semplicisticamente, di base periodi con livelli maggiormente marcati di Estradiolo possano essere gestisti al meglio con un carico glucidico più consistente (vedi effetto del Estradiolo sul metabolismo glucidico) e un maggiore volume allenante (contesto tipico della Fase Follicolare), mentre periodi con livelli maggiormente marcati di Progesterone potrebbero essere gestiti vantaggiosamente riducendo il carico glucidico (vedi correlazione tra Progetserone e insulino sensibilità/resistenza) e il volume allenante.

Ricordatevi sempre che per quanto affascinante e logica possa essere (o sembrare) una teoria, prima di poterla considerare universalmente valida si necessita di prove e controprove, di valutazione del grado di efficacia.

Gabriel Bellizzi

Riferimenti: