Lo Zone Training di Brian Johnston

zt1

Lo Zone Training di Brian Johnston è una metodica di allenamento annoverata tra le tecniche H.I.T. in quanto la gestione di Intensità, Volume e Frequenza è quella tipica delle metodologie ad alta intensità.

Questa metodologia è stata sviluppata dal tecnico canadese Brian D. Johnston nel 2004.

L’idea che sta alla base della metodica è quella che nella maggior parte degli esercizi che facciamo, sia con manubri e bilancieri che con le macchine, possiamo scomporre il movimento in 2 momenti ben precisi: la fase facile e quella difficile.

La fase difficile è quella in cui per vari motivi legati essenzialmente allo svantaggio di leva o al tipo di attrezzatura che stiamo utilizzando lo sforzo percepito (possiamo anche dire effettivo) è molto alto e rimane così fino al raggiungimento di un punto in cui lo svantaggio di leva cessa (o la distribuzione del carico nelle macchine varia), da quel punto in poi l’esercizio diviene molto più facile.

Facciamo un esempio per meglio rendere il concetto: prendiamo il Curl con bilanciere in piedi, la parte difficile è quella del sollevamento del bilanciere dalla posizione di massima estensione del braccio fino al raggiungimento dei 90 gradi tra Ulna e Omero, da quel momento in poi continuare a sollevare il bilanciere diventa relativamente più facile.

E’ interessante ricordare che se invece prendiamo in esame l’esercizio sotto l’aspetto fisiologico sappiamo che a mano a mano che il bicipite si contrae aumentano le unità motorie reclutate arrivando a toccare il massimo del reclutamento nel punto di massima contrazione (peak-contaction), in questo punto il muscolo è in grado di esprime quindi la sua massima forza.

Nel Curl con bilanciere che abbiamo usato come esempio, a mano a mano che procediamo nel sollevamento del carico, diventiamo sempre più forti, tuttavia, passato il punto di massima difficoltà (i 90 gradi tra Ulna e Omero), la resistenza diminuisce progressivamente riducendo l’impatto totale sul nostro bicipite proprio nel momento in cui più ne avremo bisogno.

Questo, se ci pensate bene, avviene naturalmente su ogni esercizio che facciamo sia con manubri e bilancieri che alle macchine.

Lo Zone Training si basa quindi su questa “semplice” intuizione: dividere l’arco di movimento in due zone distinte; la zona facile e quella difficile per poi allenarle una di seguito all’altra.

Le due zone vengono quindi allenate partendo da quella difficile ed una volta raggiunto il cedimento muscolare (che normalmente avviene con un quantitativo di mini-ripetizioni che vanno da un minimo di 8 ad un massimo di 12) nella zona allenata si passa senza riposo (o introducendo una piccola pausa di non più di 5 secondi) ad allenare la zona più facile, che però, a questo punto, risulterà anch’essa difficile in quanto ci troviamo con un muscolo già notevolmente affaticato dal lavoro precedentemente eseguito.

Naturalmente anche per lo Zone Training (da ora in poi ZT) come per l’Heavy Duty (da ora in poi HD) esiste una modalità ben specifica di esecuzione che caratterizza la serie allenante.

Sia nell’HD che nello ZT l’attenzione è sempre riposta sul tempo totale necessario a raggiungere il cedimento muscolare, avendo ben chiaro, ad entrambi gli autori, che è necessario terminare la serie in tempi idealmente sotto i 90 secondi in modo da coinvolgere principalmente le fibre bianche di tipo IIA e IIX, intermedie e veloci (per tutti coloro che volessero approfondire questi temi consiglio di leggere il primo libro di Enrico dell’Olio: “L’intensità applicata alla scienza dell’esercizio“, dove tratta l’argomento con dovizia di particolari).

Johnston con la sua metodica non vuole creare una nuova versione di un allenamento fatto attraverso l’uso di serie parziali, egli sa bene che il lavoro attraverso movimenti parziali porta ad uno sviluppo incompleto e non equilibrato dei muscoli lavorati, aumentando anche di molto il rischio di infortunio in allenamento.

Quello che propone Johnston non è l’abolizione di uno stimolo completo, ma la scomposizione dell’esercizio in zone successive di lavoro.

In questo modo il muscolo viene comunque allenato nell’intero arco di movimento (R.O.M.), ma l’attenzione qui viene focalizzata sulla creazione di uno stress continuo ripartendolo equamente su tutto l’arco di movimento a differenza di quello che succedeva precedentemente, dove invece, per motivi fisiologici o meccanici, ci trovavamo a lavorare con resistenze diverse lo stesso muscolo durante il suo R.O.M. (Range Of Movement).

Le conseguenze per la crescita ed il coinvolgimento muscolare che derivano dall’applicazione di questa metodologia tuttavia non si esauriscono qui, le implicazioni secondarie, ma non meno importanti, derivanti da un allenamento di questo tipo coinvolgono anche altri aspetti legati alla fisiologia della contrazione muscolare:

◦Analizzando il sistema, quello che emerge immediatamente è il gran numero di mini-ripetizioni all’interno di una serie allenante ( da un minimo di 16 ad un massimo di 24 ); Johnston ama ricordare nei suoi libri che lo ZT non è una metodologia dove si facciano molte ripetizioni, ma va considerato come un sistema ad alto numero di contrazioni nella singola serie.

◦Il numero di serie da eseguire per un gruppo muscolare non è fisso, il parametro di riferimento per terminare l’allenamento di una data area è il raggiungimento del suo massimo pompaggio, una condizione questa che si traduce in una momentanea difficoltà oggettiva e soggettiva di contrazione totale del muscolo allenato in virtù della pressione idraulica indotta dall’alto richiamo di sangue intramuscolare come diretta conseguenza dell’alto numero di mini-ripetizioni ( effetto pompaggio ).

◦Spostamento dell’enfasi del lavoro dalla sezione centrale del muscolo, come normalmente avviene nelle altre metodiche che impiegano il R.O.M. completo di movimento, alle estremità dello stesso che coincidono con i punti di origine ed inserzione dei tendini.

◦Sperimentazione di una sensazione di pompaggio estremo.

Vedremo più avanti nel libro come queste caratteristiche intrinseche ed uniche di questa metodologia di allenamento integrano e completano quelle dell’HD.

Per chi non conoscesse ancora queste tecniche di allenamento consiglio vivamente la lettura dei libri scritti da Mike Mentzer e Brian D. Johnston sul tema, così come per fare i necessari e dovuti approfondimenti:

◦Zone Training ( il metodo Johnston Rep ) di Brian D. Johnston edito da Sandro Ciccarelli editore.

◦High Intensity Training( The Mike Mentzer way ) scritto da Mike Mentzer.

Articolo tratto (e adattato) dal libro “Protocollo Ibrido HD/ZT” di Enrico Dell’Olio (http://www.highintensityitalia.com/).

L’allenamento ad alta intensità demistificato

mtzdi James Vandervest

Il problema del volume ed intensità ha probabilmente causato più controversie di qualsiasi altro argomento nel campo del bodybuilding. Il più grosso errore è stato prendere il principio del “più è meglio” che solitamente viene utilizzato negli allenamenti di resistenza come triathlon, marcia e maratona e trasferirlo al body building. Questa è una applicazione errata di questi principi correlati e dipendenti tra loro.
Il problema del volume è stato ingigantito, infatti è di secondaria importanza quando si cerca di stimolare il muscolo a guadagnare forza e circonferenze. Sicuramente dovrai avere una certa quantità di volume nel tuo allenamento, nessuno potrà dire di usare zero volume e innescare i meccanismi di crescita. Comunque il principio del volume è secondario a quello di intensità. Perchè? Perchè l’intensità è la variabile più correlata allo stimolo di crescita muscolare come i fisiologi dell’esercizio documentano da quasi 100 anni.
Il problema di serie e volume è un fattore critico nella programmazione di un allenamento H.I.T. e spesso viene male interpretato oppure usato in maniera impropria. Arthur Jones, il vero creatore degli allenamenti H.I.T., almeno in una forma coerente, all’inizio iniziò dicendo di eseguire 4 serie per esercizio. Eseguì questo protocollo nei suoi allenamenti per anni senza superare il peso di 80 kg. Dopo aver compreso ancor meglio l’argomento, dimezzò il numero totale di serie senza variare altri parametri. Aveva solamente ridotto il volume totale di allenamento. In poche settimane guadagnò 6 kg di peso.
Questo significa che una riduzione di serie del 50% gli aveva permesso di guadagnare una notevole quantità di muscoli!
Nota: molti bodybuilders, anche quelli che usano steroidi, sarebbero molto felici di guadagnare 6 kg di massa muscolare in tempi così brevi. Per molti di loro è più di quello che solitamente possono guadagnare in un anno.

Probabilmente l’esempio più estremo di allenamenti in stile “high intensity”, almeno tra quelli che riducono di molto il volume, è l’Heavy Duty di Mike Mentzer, in particolare la versione che egli stesso raccomandava tra il 1994 e il 2001. Le 2 o 3 serie ogni 4-10 giorni, citate solitamente come riassunto di questa tecnica di allenamento, fu un metodo estremo che Mentzer sviluppò nell’Heavy Duty 2 conosciuto come la routine di consolidamento, ideato per risolvere il problema dello stallo che i suoi clienti avevano nei progressi, che egli attribuì al sovrallenamento. La cosa importante era che Mentzer stava lavorando con persone dotate di una genetica nella media o addirittura sotto la media ( ovvero coloro che avevano fallito con le altre metodiche). E’ possibile che queste persone non avessero progressi a causa di recupero tra gli allenamenti insufficiente. L’allenamento che Mentzer propugnava prima del 1994 ai suoi clienti (io ero uno di loro) era originariamente 2 giorni di allenamento consecutivi e uno di riposo, 2 di allenamento e 2 di riposo. Tutte le serie erano portate al cedimento completo con ripetizioni forzate e negative alla fine di ogni serie. Questo era troppo per la maggioranza delle persone, se non per tutti i suoi clienti, incluso me stesso. Così Mike passò dalla routine chiamata Heavy Duty 1 ad un programma stilato su 3 giorni per settimana separando il corpo in petto/dorso, deltoidi/bicipiti/tricipiti e gambe che funzionava bene per molti. Personalmente ho avuto i maggiori guadagni di forza lavorando su tre giorni settimanali. Anche allenarsi tre volte settimanali può essere eccessivo per alcuni individui. Il principio dell’individualità enuncia che i clienti allenati non sono tutti uguali anche se tutti possediamo la stessa fisiologia e anatomia. Questo principio deve essere tenuto particolarmente in considerazione nel programmare o correggere un programma di allenamento per i vostri clienti o per te stesso.

Fonte: http://www.highintensityitalia.com/ Altro…

ALCUNE PRECISAZIONI SULLA CORRETTA ESECUZIONE TEMPISTICA DELLE RIPETIZIONI

ripetiz

Alti livelli di accelerazione non sono necessari per reclutare le fibre muscolari di tipo IIB. Anche con carichi al 60% del massimale teorico tutte le unità motorie nei muscoli coinvolti saranno coinvolte con poche ripetizioni dopo le quali la forza verrà mantenuta nonostante la fatica grazie ad un aumento della sincronizzazione delle unità motorie.
Sia che tu muova i pesi lentamente o velocemente, finchè utilizzi un peso che ti affatichi almeno un pò tutte le unità motorie verranno reclutate. Inoltre le fibre di tipo II non sono responsabili di movimenti esplosivi. Le parole “lento” e “rapido” nelle diciture “contrazione lenta” e “contrazione rapida” si riferiscono al tempo che occorre alle fibre per raggiungere la tensione massima, non alla velocità di movimento che una fibra è in grado di generare.
La differenza nella velocità di contrazione tra fibre a contrazione lenta e rapida è meno di un decimo di secondo. Le fibre a contrazione lenta possono produrre movimenti rapidi come le fibre a contrazione rapida e queste ultime saranno coinvolte anche in movimenti estremamente lente o in movimenti isometrici finchè vi sarà una resistenza adeguata.

Gabriel Bellizzi

IL CHEAT MEAL E LA SUA UTILITA’

cheatm

Com’è risaputo, il cheat meal é un pasto che ha una sensibile e consistente densità di calorie provenienti da tutti i macronutrienti: proteine, carboidrati e grassi.
Questa concentrazione darà una spinta momentanea al metabolismo dopo un prolungato periodo di calorie ridotte (in particolare da quelle provenienti dai carboidrati), permettendo il più delle volte di far uscire l’atleta dallo stallo e riprendere la preparazione con una nuova spinta psico-fisica.


Il cheat meal non deve essere composto da calorie senza una logica ripartizione percentuale per ogni macronutriente, come conseguenza di una scarsa volontà, tanto per appagare una fase di privazioni alimentari.
Il cheat meal deve avere comunque una composizione calorica che possa apportare utilità complessiva.


La presenza di carboidrati ristabilirà parzialmente le scorte di glicogeno muscolari, e la porzione moderata di grasso, aiuterà a riempire ulteriormente i muscoli.
E’ bene tenere a mente che è sostanziale il supporto del sodio, che migliora lo stoccaggio di glicogeno e contribuisce ad una maggiore ritenzione intracellulare di liquidi, divenendo un ottimo supporto alla forza muscolare.


Inserito correttamente al momento giusto, il cheat meal é un ottimo strumento per proseguire o riprendere i progressi dando una nuova spinta metabolica.
Ma se inserito senza una reale necessità, il cheat meal risulterà inutile e deleterio per il progresso nella preparazione.


I segnali da monitorare per essere certi della necessità del cheat meal sono:


• Gli allenamenti sono improduttivi, nessuno o poco pompaggio muscolare, poca forza tendente al calo, e mancanza di concentrazione;
• la temperatura corporea inizia a scendere, e si sente freddo costantemente;
• stallo dei progressi sulla perdita di grasso corporeo, e l’abbassamento delle calorie vorrebbe dire arresto dei progressi o peggio il peggioramento della condizione;
• a seguito di una repentina ed eccessiva perdita di peso (da non contare la prima settimana di regime ristretto, dove liquidi e glicogeno diminuiscono rapidamente);

Qualora queste condizioni non vi fossero, è saggio restare allineati, continuare il rigore e/o applicare altre strategie.

Il cheat meal non va confuso con il “refeed” (giorno di ricarica). In questo caso l’atleta si concentra sui carboidrati, cercando di super compensare le scorte di glicogeno esaurite dai precedenti giorni a basso apporto.


Per cui se si decide di fare il cheat, è utile:


• posizionarlo preferibilmente o in un pasto pre-workout (almeno 2-3 ore prima, così da essere carico) o nell’ultimo pasto della giornata.
• avere una base proteica di qualità (circa il 30% delle Kcal), un buon contenuto di grassi di qualità evitando un eccesso di saturi o peggio transgrassi, un elevato apporto di carboidrati a favore di una saturazione parziale di glicogeno; preferibilmente con buona base sodica.
Qui gli abbinamenti possono essere vari e veramente nutrienti, importante é che sia cibo anche tendenzialmente “junk” ma non qualitativamente da fast food di basso livello
• sistemarlo preferibilmente prima di un giorno impegnativo di allenamento, oppure prima di allenare muscoli grossi che magari soffrono il regime ipocalorico o che comunque necessitano di una spinta calorica e di più in.


Infatti il glicogeno addizionale formatosi e la maggiore pienezza muscolare renderà immediatamente più piacevole e potenzialmente più efficace la seduta di allenamento.
Alcuni atleti preferiscono fare il cheat meal dopo una pesante sessione di allenamento con lo scopo di agevolare il recupero. Possono esserci condizioni idonee per farlo, ma da un punto di vista semplicemente digestivo, è preferibile non appesantire con alimenti a lenta digestione e metabolizzazione su un organismo che é impegnato già a far fronte allo stress dell’allenamento e necessità di una veloce disponibilità di elementi nutritivi.
A volte invece siamo molto “fobici” e piuttosto di sfruttare quello che potenzialmente l’uscita dal regime drastico alimentare ci possa dare, non lo si sfrutta o lo si vive male in preda ai sensi di colpa.


Per i soggetti con tendenza ad ingrassare facilmente (esempio gli insulino-resistenti) , più che aumentare l’esercizio cardiovascolare il giorno successivo sarebbe utile diminuire il totale calorico del pasto libero, riducendo il contenuto complessivo dei macronutrienti e in particolare dai grassi e leggermente dalle proteine e dai carboidrati, in modo da avere la spinta metabolica e l’effetto complessivo ricercato.
Se le condizioni fisiche precedenti al cheat meal erano idonee, i muscoli nelle ore successive godranno di un maggior pompaggio dato dal maggiore apporto di glicogeno presente nei muscoli, traducendosi in un ottimo allenamento e in una forma fisica ottimale.


Se invece le condizioni fisiche non fossero quelle giuste, allora si noterà sicuramente un buon effetto sull’allenamento, ma la maggiore ritenzione idrica extracellulare rischierà di sabotare sensibilmente il lavoro svolto.


Recuperarlo necessiterà di giorni. Quindi sarebbe saggio non inserirlo se non strettamente necessario e se non si è sicuri di poterselo permettere in termini di condizione , in specie se si fosse in una fase pre-gara, anche perché non é raro vedere aumenti di 2-3 kg pressoché di liquidi, che saranno un incisivo intralcio al percorso.


Il discorso è ancora più complesso e potenzialmente compromettente per quanto riguarda le donne.


A volte può capitare di non acquisire peso in modo rilevante, perché questo dipende anche da quanto si era depleti e da come era composto il cheat meal. Sta di fatto che la sua azione avrá comunque un impatto sul metabolismo anche se la bilancia non mostrasse grandi variazioni.


Anche qui vi sono fattori ormonali complessi relativi alla gestione dei liquidi corporei, come l’Aldosterone, e a volte il carico di ritenzione richiede diverso tempo per formarsi, ma traducendosi comunque in una situazione estetica migliorata, e temporaneamente più asciutta e definita.


l’inserimento di un cheat meal può e deve avere il suo spazio, ma solo se le condizioni fisiche del soggetto lo richiedono, altrimenti non si avranno gli effetti voluti ma solo un intralcio verso i propri obiettivi.

 

Gabriel Bellizzi

Carb Cycling e possibili applicazioni


1Carb Cycling

Sono ormai diversi anni che sostengo l’efficacia delle diete a cambio di fase e, di conseguenza, delle Carb Cycling. Le variabili nutrizionali, sia per quanto riguarda lambito calorica che quello dei macronutrienti, rappresentano un tassello essenziale nella preparazione e nel raggiungimento degli obbiettivi prefissati. Giorni ricchi di proteine e grassi alternati a giorni ricchi in carboidrati, se gestiti in base alle esigenze e risposte individuali, possono fare realmente la differenza.

Fatte queste dovute premesse andiamo a vedere cosa sono le Carb Cycling e come possono essere applicate.

Con il termine Carb Cycling ci si riferisce ad un piano alimentare che alterna giorni ad alto contenuto di carboidrati e giorni a basso contenuto di carboidrati. E ‘ molto semplice. Le variabili in questo piano alimentare sono diverse e possono comprendere l’inserimento di pasti ricompensa (a seconda del piano che si sta seguendo), di pari giorni di scarica e carica dei carboidrati, ecc….

A differenza delle classiche diete monofasiche, caratterizzate da un consumo macro-calorico stabile per tutto il tempo, o alla classica Dieta Metabolica o Chetogenica Ciclica, entrambe abbastanza statiche, le Carb Cycling sono decisamente più versatili e gestibili individualmente.

Aumentando strategicamente, e non staticamente, lintroito dei carboidrati nella dieta abbiamo una serie di vantaggi tra i quali spicca la stimolazione della Leptina. Quando la cellula segnala un deficit energetico la Leptina cala (si, le calorie contano). Si possono usare le strategie alimentari più disparate ma se l’organismo nel medio lungo-periodo non mantiene il suo equilibrio energetico la Leptina scende sempre. La Leptina regola anche gli ormoni tiroidei e gonadici, per cui il testosterone dopo mesi di deficit calorico sarà basso. Si possono mangiare tutti gli acidi grassi saturi che si vogliono ma in una dieta ipocalorica, nel tempo, il testosterone ne risente sempre.

I livelli di glicogeno epatico ed il metabolismo glucidico adipocitario hanno un’influenza diretta sulla produzione di Leptina. Modulando strategicamente l’introito glucidico non si crea una deficienza della Leptina. In questo modo si può mantenere una dieta ipocalorica per mesi, senza vedere il metabolismo dopo 3-5 settimane, subire una battuta d’arresto bloccando il dimagrimento.

Errore grossolano, e che non ha più motivo di essere, è quello commesso ancora da un gran numero di culturisti in vista di una gara: Low Carb diet perenne. Una dieta low carb protratta in un periodo nel quale il fisico e la mente sono sottoposti ad un enorme carico di stress, si traduce spesso e volentieri in una condizione non proprio ottimale il giorno della gara. Applicando nel giusto modo una Carb Cycling , si riesce a gestire un periodo delicato come quello del pre-gara in modo decisamente migliore presentandosi sul palco in una condizione ottimale: pance muscolari piene, maggior massa muscolare conservata e vascolarizzazione ottimale.

Il vantaggio delle Carb Cycling non si limita al periodo “Cut” o “Pre-Contest” ma può essere sfruttato, con le dovute modifiche, anche nel periodo “Bulk”. Molti avranno letto il libro “La Soluzione Anabolica” di Mauro Di Pasquale. In questo libro l’autore espone il suo piano nutrizionale per le varie fasi della preparazione, compreso il “Bulk”. Con una dieta ipercalorica ma prevalentemente ipoglucidica (5-6 giorni a settimana) e con refeed glucidici statici (1-2 giorni a settimana) l’autore afferma che si possa aumentare la massa muscolare di qualità con un aumento della percentuale di grasso limitato. Avendola testata in più occasioni posso affermare che quanto detto dal Di Pasquale non è del tutto veritiero, specie se parliamo di atleti “ntural”: si è certamente notato in un considerevole numero di soggetti un aumento della massa magra ma non paragonabile ad una gestione nutrizionale dove l’insulina non viene cronicamente depressa per molti giorni a settimana.

Come ben sappiamo, una restrizione glucidica limita la crescita muscolare. La sintesi proteica è un processo che richiede un surplus calorico ma ricordando che lo stato energetico cellulare è governato anche dai depositi di glicogeno. Diete low carb abbassano i valori delle scorte muscolari.

Alcuni esempi pratici di applicazione  Carb Cycling

mesomorfo-ectomorfo-endomorfo1.jpg

Scenario 1:

Atleta Ectomorfo in pre-gara.

  • Il soggetto in questione fissa il quantitativo mantenitivo di carboidrati giornalieri a 500-600g (una media di 6-7g x Kg)
  • Il soggetto in questione fissa il quantitativo mantenitivo di 500-600g di carboidrati nei soli giorni di allenamento con conseguente aumento delle Kcal.
  • Il soggetto in questione abbassa i carboidrati del 50% nei giorni di riposo con un aumento delle proteine da 1,5g per Kg a 2,5g per Kg.
  • Il soggetto in questione fissa il quantitativo di grassi a 0,6g per Kg nei giorni High Carb alzandolo a 0,8g per Kg nei giorni Low Carb.

Atleta Ectomorfo in Bulk.

  • Il soggetto in questione fissa il quantitativo di carboidrati giornalieri nel surplus energetico a 600-700g (una media di 7-8g x kg)
  • Il soggetto in questione fissa il quantitativo di 600-700g di carboidrati nei giorni di allenamento.
  • Il soggetto in questione abbassa i carboidrati a 500-600g nei giorni di riposo
  • Consumo proteico giornaliero tra 1,5 e 1,8g per Kg.
  • Consumo di grassi giornaliero tra 0,6 e 0,8g per Kg.

 

mesomorfo-ectomorfo-endomorfo2

Scenario 2:

Atleta Endomorfo in pre-gara.

  • Il soggetto in questione fissa il quantitativo mantenitivo di carboidrati giornalieri a 300g (una media di 2-3g x Kg)
  • Il soggetto in questione fissa il quantitativo mantenitivo di 300g di carboidrati nei soli giorni di allenamento con conseguente aumento delle Kcal.
  • Il soggetto in questione abbassa i carboidrati ad 1g per Kg nei giorni di riposo con un aumento delle proteine da 1,8g per Kg a 3g per Kg.
  • Il soggetto in questione fissa il quantitativo di grassi a 0,8g per Kg nei giorni High Carb alzandolo a 1g per Kg nei giorni Low Carb.

Atleta Endomorfo in Bulk.

  • Il soggetto in questione fissa il quantitativo di carboidrati giornalieri nel surplus energetico a 400g (una media di 3-4g x Kg)
  • Il soggetto in questione fissa il quantitativo di 400g di carboidrati nei giorni di allenamento.
  • Il soggetto in questione abbassa i carboidrati a 250g nei giorni di riposo
  • Consumo proteico giornaliero tra 1,8 e 2g per Kg.
  • Consumo di grassi giornaliero tra 0,8 e 1g per Kg.

 

mesomorfo-ectomorfo-endomorfo3

Scenario 3: atleta Mesomorfo in pre-gara.

  • Il soggetto in questione fissa il quantitativo mantenitivo di carboidrati giornalieri a 600g (una media di 7g x Kg)
  • Il soggetto in questione fissa il quantitativo mantenitivo di 600g di carboidrati nei soli giorni di allenamento con conseguente aumento delle Kcal.
  • Il soggetto in questione abbassa i carboidrati del 50% nei giorni di riposo con un aumento delle proteine da 1,8g per Kg a 3g per Kg.
  • Il soggetto in questione fissa il quantitativo di grassi a 0,8g per Kg nei giorni High Carb alzandolo a 1g per Kg nei giorni Low Carb.

Atleta Mesomorfo in Bulk.

  • Il soggetto in questione fissa il quantitativo di carboidrati giornalieri nel surplus energetico a 700-900g (una media di 8-10g x Kg)
  • Il soggetto in questione fissa il quantitativo di 700-900g di carboidrati nei giorni di allenamento.
  • Il soggetto in questione abbassa i carboidrati a 400g nei giorni di riposo
  • Consumo proteico giornaliero tra 1,5 e 1,8g per Kg.
  • Consumo di grassi giornaliero tra 0,6 e 0,8g per Kg.

 

Un esempio meno specifico per una Carb Cycling in “Cut” o in “Bulk” potrebbe essere il seguente:

  • Periodo di Cut:
  • Giorno 1 con 500g di carboidrati/proteine 1,2g per Kg/grassi 0,6g per Kg.
  • Giorno 2 con 400g di carboidrati/proteine 1,5g per Kg/grassi 0,6g per Kg.
  • Giorno 3 con 300g di carboidrati/proteine 1,8g per Kg/grassi 0,8g per Kg.
  • Giorno 4 con 200g di carboidrati/proteine 2g per Kg/grassi 0,8g per Kg.
  • Giorno 5 con 100g di carboidrati/proteine 2,5g per Kg/grassi 1g per Kg.
  • Giorno 6 con 0g di carboidrati/proteine 3g per Kg/grassi 1g per Kg.
  • Ripetere per tutto il periodo prefissato.

 

  • Periodo di Bulk:
  • Giorni di allenamento con 600g di carboidrati/proteine 1,5g per Kg/grassi 0,6g per Kg.
  • Giorni di riposo 300g di carboidrati/proteine 2,5g per Kg/grassi 0,8g per Kg.
  • Ripetere per tutto il periodo prefissato.

 

Conclusione

Le Carb Cycling sono indubbiamente la strategia migliore in vari contesti della preparazione. Di modalità di applicazione ce ne sono molte e sta allatleta o al preparatore saper trovare quella giusta per il soggetto in questione. Non resta che testare e verificare.

 

Gabriel Bellizzi

Glicerolo e pompaggio muscolare

pump-muscolare-argininaSebbene il Glicerolo non sia molto diffuso nel mondo del BodyBuilding, anche se corridori e altri atleti di resistenza ne fanno ampio uso per il suo potente effetto idratante e le sue notevoli proprietà osmotiche, attualmente sta facendosi sempre più strada anche tra gli amanti della ghisa che lo utilizzano nel pre-gara e come strumento per potenziare il pompaggio muscolare che si verifica infatti quando le cellule del muscolo accumulano liquidi.
Durante il workout i muscoli producono sostanze metaboliche di scarto che attirano l’acqua nelle cellule, quindi l’assunzione di Glicerolo permette di potenziare ulteriormente il pompaggio muscolare poiché questo attrae i liquidi.
Attirando dunque una maggiore quantità di acqua anche attraverso i vasi sanguigni, il glicerolo contribuisce ad aumentare anche la vasodilatazione e l’attività vascolare.
Nel 2007 l’Università di Glasgow ha svolto uno studio clinico su tre gruppi diversi: il primo gruppo aveva preso per sette giorni Creatina e Glicerolo, il secondo solo Creatina e il terzo solo Glicerolo, sempre per sette giorni.
È stato riscontrato che il gruppo “Creatina e Glicerolo” aveva il 40% dei liquidi corporei in più rispetto al gruppo della Creatina e il 50% in più dei liquidi del gruppo del solo Glicerolo.
Questo ha importanti implicazioni relative all’ipertrofia perché l’aumento del volume delle cellule muscolari fa dilatare di conseguenza anche le membrane cellulari innescando cosi processi di crescita duratura.
Per migliorare il pompaggio muscolare si possono quindi assumere 10-30 ml di Glicerolo assieme a 600ml di acqua circa un ora prima dell’allenamento. Si può usare con successo la medesima tecnica durante la ricarica del pre-gara.
Se si vuole ottenere un effetto sinergico basta aggiungere Creatina all’integratore liquido pre e post allenamento. Per quelli attenti a Kcal e secrezione insulinica, pur avendo circa quattro calorie per grammo il Glicerolo non fa innalzare notevolmente ne la glicemia ne la secrezione di insulina proprio perché deve essere trasformato in glucosio dal fegato.
Anche altri integratori come l’Arginina Alfa Chetoglutarato (AAK) o la Citrulina sono efficaci per tale scopo.

Gabriel Bellizzi

DIETA CHETOGENICA E DEFICIT CALORICO

kdi

Probabilmente la più grossa incomprensione a proposito delle Diete Chetogeniche è che si può assumere una quantità illimitata di calorie e continuare a perdere peso e grasso corporeo. Ciò implica che la termodinamica di base (energia in entrata vs. energia in uscita) venga in qualche modo influenzata. Cioè che la chetosi aumenti il dispendio calorico per compensare l’assunzione calorica.
Questa incomprensione ha visto il suo massimo con la Dieta Atkins. Atkins non ha MAI detto che non bisogna tener conto delle calorie totali. Atkins ha detto che, fino a che mangiamo meno di 30 g di carboidrati, possiamo mangiare quante proteine e grassi “vogliamo” e continuare a perdere peso, che non è uguale a dire quantità illimitate. Si è basato sugli studi fatti negli anni ’60 e ’70 che mostravano quanto segue: quando i soggetti eliminano tutti i carboidrati dalla dieta e viene detto loro di mangiare proteine e grassi “a volontà”, generalmente riducono l’assunzione calorica a 1400-2100 calorie al giorno. Ciò crea un deficit calorico e si perde peso.
Cioè, non esiste un aspetto magico della chetosi che permette di perdere peso e grasso (senza contare la perdita di acqua) mangiando oltre il livello di mantenimento (o anche a livello di mantenimento), è comunque necessario essere in deficit calorico affinché la perdita di grasso si verifichi. Molte persone hanno detto di poter mangiare molte più calorie quando sono in chetosi SENZA guadagnare peso. “Forse” i grassi in eccesso sono convertiti in chetoni ed espulsi senza essere depositati ma non ne sono sicuro al 100%, quindi non prendetelo come verità assoluta. Comunque non perdono peso senza un deficit.
Quindi, perché complicarsi la vita con una dieta chetogena? La differenza fra una dieta chetogena e una dieta non chetogena “può” essere nelle proporzioni di grasso e muscolo perse per un dato deficit calorico. Cioè, a parità di deficit le diete chetogene “possono” causare una perdita di grasso maggiore e una perdita di muscolo minore rispetto a una dieta non chetogena. Ma il deficit calorico DEVE esserci.

Gabriel Bellizzi

DIETA E TESTOSTERONE ENDOGENO

testoendo

Per l’atleta Natural l’aumento del Testosterone non è cosa semplice da ottenere contrariamente a ciò che si possa pensare . L’atleta in questione, bombardato da pubblicità di Testo Booster che il più delle volte si rivelano soltanto una spesa consistente di denaro, si ritrova a leggere pagine e pagine di riviste del settore o a sperimentare tutto e il contrario di tutto senza raggiungere (il più delle volte) una panoramica funzionale della questione, o l’effetto ricercato. E’ anche per questo che ho ritenuto utile scrivere quanto segue.

Studi, per quanto non definitivi, sembrano evidenziare che per mantenere elevata la produzione di Testosterone e meglio ancora la sua frazione libera, bio attiva, è necessario:

•l’introduzione calorica deve essere mantenuta nell’ambito del fabbisogno giornaliero o più bassa. Troppe calorie così come il digiuno interrompono la produzione di questo ormone.
•Le fibre vegetali devono essere ridotte al minimo.
•La quota proteica deve essere modesta (troppe proteine aumentano l’escrezione urinaria del testosterone).
•La quota di carboidrati deve essere elevata.
•La quota dei grassi specialmente dei grassi saturi e del colesterolo deve essere consistente.
•Più della quota proteica o del rapporto proteine/carboidrati è
•il rapporto carboidrati/grassi che influenza maggiormente la produzione e la disponibilità del testosterone.

VALORI NUTRIZIONALI PER ENFATIZZARE LA PRODUZIONE DEL TESTOSTERONE

CALORIE – 20%
FIBRE molto scarse
CARBOIDRATI 55%
PROTEINE 15%
GRASSI 30%

Una dieta che comporti, per esempio, il consumo di uova, datteri, fichi, semi, banane, noci, olive selvatiche.

5 UOVA: CAL 510 PRO 39 GLI 1,8 LIP 36
50 GR DI COCCO: CAL 190 PRO 2 GLI 5 LIP 17
500 GR DI FRUTTA: CAL 960 PRO 10 GLI 210 LIP 2
50 GR DI OLIVE: CAL 98 PRO 0,7 GLI 1,5 LIP 9,5

Per un totale di 1660 calorie di cui il 12% circa proteine, il 52% carboidrati, il 36% grassi.

Una dieta di questo tipo risulta molto funzionale nell’atleta “Natural” per brevi periodi di tempo, in specie quando il soggetto segue una routine regolata da una netta distinzione tra giorni di allenamento e giorni di recupero (vedi ciclo H-PO o allenamenti HIT): l’approccio classico prevede 2-3 giorni con le percentuali nutrizionali sopra citate (giorni di allenamento) seguiti da 4-5 giorni con percentuali macro-caloriche nettamente superiori e incentrate (nelle prime 24h) su carboidrati e proteine per poi passare (per le successive 72-96h) ad una alimentazione fortemente iperproteica, ipo-lipidica e ipo-glucidica (ricca di fibre).

Gabriel Bellizzi


Fonte:


Allenati e alimentati con i cicli naturali. Rivoluziona l’allenamento di potenza e velocità con il ciclo Cianti (di Cianti Giovanni)

Carboidrati: punti chiave per la loro gestione

carboidratinascosti

Il fattore carboidrati nella dieta è uno degli argomenti maggiormente discussi. Nelle diete hanno subito cali e rialzi di percentuale rispetto agli altri due macronutrienti (grassi e proteine) nel corso del tempo; il loro quantitativo consigliato è oscillato dal 60-70% delle Kcal totali giornaliere ( dieta Mediterranea) al 40% ( dieta Zona) o addirittura al 10-20% (dieta chetogenica, Metabolica ecc). Ma dove sta la verità? Qual è la quantità adatta in ambito sportivo? Per rispondere a queste e ad altre domande innanzitutto bisogna conoscere questo macronutriente.

Le basi

Enantiomers-Glucose
Enantiomeri del glucosio, con evidenziata la configurazione D,L.

I carboidrati, definiti anche glucidi, hanno una funzione principalmente energetica e sono un carburante “pulito”. La loro composizione chimica è (C·H2O)n. Mangiare carboidrati in abbondanza (secondo le necessità) equivale a porre le basi per rimanere idratati. Nel nostro corpo abbiamo una riserva di 350-500 grammi di glucidi sotto forma di glicogeno, 250-400g sono mediamente stipati nei muscoli, 100g nel fegato.

IL GLICOGENO MUSCOLARE E’ IL CARBURANTE MIGLIORE PER L’ATTIVITA’ FISICA, la sua composizione chimica e la sua logistica (corte catene, vicino a dove serve) fa si che sia immediatamente utilizzabile dall’organismo. Il glicogeno epatico (del fegato) è invece meno redditizio durante gli sforzi (lunghe catene che devono essere trasportate dal fegato ai muscoli) ma e’ FONDAMENTALE per regolare la glicemia ematica (del sangue). Nel digiuno è solo la parte epatica che interviene come fonte energetica di sostentamento, le riserve muscolari si attivano solo localmente, quando il muscolo specifico lavora.

1g di carboidrati apporta mediamente 4kcal, le nostre scorte sono intorno al metabolismo basale 2000kcal (500g). Il corpo predilige stoccare grassi piuttosto che questo macronutriente perché ogni g di glicogeno richiama 2,5- 2,7g d’acqua , mentre un g di lipidi 0,3-0,5g.

Se accumulassimo 10kg di carboidrati aumenteremmo di 37kg, mentre accumulare 10kg di grasso porta solo a 13kg, molto meno dispendiosi ed ingombrante da trasportare.

La quota necessaria di glucidi (fabbisogno) è di 180g (720kcal) per una persona di 70kg e serve per nutrire il SNC (il cervello da solo consuma 120g), gli eritrociti (globuli rossi) ed una parte del rene.

L’assunzione di carboidrati è strettamente legata alla stimolazione ormonale del pancreas che secerne insulina. Se da una parte una buona dose glucidica è ottimale per la salute, dall’altra un suo eccesso può portare a vari problemi (ipoglicemia riflessa, stanchezza, gonfiore, insulino resistenza, diabete tipo 2).

Il fabbisogno glucidico

Balansglikogena

Come sappiamo, non esistono carboidrati essenziali ma solo amminoacidi e grassi essenziali. Questo però non significa che i carboidrati siano un macronutriente superfluo e da eliminare del tutto costantemente.

Certe affermazioni, come la non necessità continua di assumere carboidrati, non mostrano una comprensione reale del metabolismo del corpo, dei suoi regolatori e degli effetti che questi hanno sulla composizione corporea. Limitare l’assunzione di carboidrati , come succede nelle diete low carbs, è una delle tante strategie per perdere peso. Funziona egregiamente sul breve periodo ma diventa non ottimale sul lungo periodo.

I carboidrati in alimentazione non vengono considerati essenzialima necessari.

Il nostro corpo ha tessuti glucosio dipendenti e glucosio preferenziali. I primi sono quelli privi di mitocondri come i globuli rossi, che possono usare solo la glicolisi anaerobica come fonte energetica, i secondi sono quelli quasi privi degli enzimi per la beta-ossidazione e che utilizzano come metabolita energetico il glucosio, ma che possono sfruttare anche i corpi chetonici se occorre, come il cervello.

Dopo due ore da un pasto quando la glicemia torna a valori quasi normali, il fegato inizia a rilasciare glucosio ai tessuti. Mediamente l’organismo ha bisogno 7-8g di glucosio all’ora (0,1-0,12g/Kg di peso corporeo) se la persona non è attiva, il fabbisogno glucidico raggiunge il suo massimo dopo 10-12 ore di digiuno dopodiché il metabolismo inizia ad shiftarsi verso la beta-ossidazione.

  • Il SNC (sistema nervoso centrale) ha bisogno mediamente di 120g al giorno pari al 40-60% del consumo totale di glucosio, in una persona moderatamente attiva di 70kg. Gli eritrociti (i globuli rossi) consumano invece 37g al giorno (tra il 12-15% del consumo totale).
  • Midollare del surrene, testicoli, retina e tutti gli altri tessuti glucosio-dipendenti consumano 45-50g (17-21% del consumo).
  • I muscoli a seconda dell’attività svolta richiedono più o meno glucosio, a riposo il loro dispendio è prevalentemente a carico degli acidi grassi ed in una persona moderatamente attiva consumano al giorno 30-40g di glucosio (15-18% del totale).

In condizioni basali il fabbisogno glucidico si aggira intorno ai 180g al giorno (2,6g/Kg di peso corporeo), a seconda invece delle attività che la persona svolge, arriva a 210-220 per chi non fa mestieri pesanti (3-3,2g/Kg di peso corporeo).

 

Deficienze nella limitazione eccessiva del consumo glucidico

lep
Leptina

1) Si abbassa il metabolismo. La leptina è regolata sul metabolismo glucidico adipocitario, mangiare pochi carboidrati porta ad abbassarla, con ripercussioni sugli ormoni tiroidei e gonadici. Inoltre l’enzima deiodinasi che converte il T4 (poco attivo) in T3 (molto attivo) è regolato principalmente a livello epatico, renale e muscolare. Più le scorte di glicogeno sono elevate e più è alto il metabolismo. Qui di seguito l’articolo che ti spiega come attraverso i carboidrati possiamo far ripartire il metabolismo.

2) Limita la crescita muscolare. La sintesi proteica è un processo che richiede un surplus calorico. Lo stato energetico cellulare è governato anche dai depositi di glicogeno. Diete low carb abbassano i valori delle scorte muscolari.

I carboidrati sono il carburante preferenziale per quattro ragioni:

  1. A parità di consumo d’ossigeno producono più energia:
  • 1L di O2 produce 5,36Kcal ossidando il glucosio
  • 1L di O2 produce 4,47Kcal ossidando acido palmitico
  • 1L di O2 produce 3,33Kcal ossidando Isoleucina /leucina
  1. Gli acidi grassi non possono essere ossidati in assenza d’ossigeno
  2. I carboidrati non producono prodotti di scarto come l’azoto delle proteine o i chetoni degli acidi grassi.
  3. I marcatori dei fattori di crescita si innescano con una dieta ipercalorica ma rimangono prevalentemente silenti se non attivati dall’Insulina. Senza carboidrati è molto più difficile mettere massa muscolare. Oltre a questo, aumentando la glicemia, hanno un’azione diretta contro la proteolisi, come vedremo più avanti.

 

Zuccheri non introdotti con la dieta

Hepatic_glucose

In condizioni di digiuno (per le prime 12-16 ore) il glucosio immesso per soddisfare le esigenze dell’organismo arriva principalmente dal fegato che eroga 7-8g all’ora. Di questi 2/3 arrivano direttamente per glicogenolisi, mentre 1/3 da processi di gluconeogenesi (glucosio derivante: dal lattato, aminoacidi muscolari, glicerolo). Il rapporto esatto tra i due dipende dalle scorte di glicogeno più sono ampie e più vengono in prevalenza utilizzati i glucidi. Abbiamo così in queste ore di “digiuno” una lisi muscolare atta a fornire energia. Va fatto notare che per ottenere un grammo di glucosio dagli aminoacidi dobbiamo spendere 1,75g di proteine. In una giornata intera senza mangiare una persona utilizzerà mediamente 150g di proteine per fornire glucosio, una somma molto rilevante per il catabolismo muscolare.

Va però ricordato che l’adattamento al digiuno, permette di limitare la lisi muscolare, il corpo regola la biosintesi proteica in base alla disponibilità degli aminoacidi nel flusso ematico. Motivo per il quale i praticanti del’Intermittent Fasting o della Dieta Chetogenica, dopo un primo periodo di adattamento, non catabolizza cronicamente quando si nutrono. Ne limitano la lisi ed hanno una supercompensazione dell’anabolismo proteico una volta che reintroducono i macronutrienti (proteine+carboidrati).

Si può scegliere se fare tanti piccoli pasti durante la giornata per limitare il catabolsimo muscolare, oppure scegliere il digiuno intermittente lasciando all’organismo la capacità di adattarsi e di sfruttare dopo una fase catabolica una sovra-fase anabolica. Si può scegliere di mangiare tante proteine in modo che la loro più lenta digestione/assorbimento rilasci in modo graduale amminoacidi nel sangue, oppure si possono assumere molti carboidrati per limitare il più possibile la lisi epatica e muscolare.

Quello che però non si può fare è impedire all’organismo di consumare 180-220g di glucosio al giorno (senza allenamento) pari a 2,6-3,2g/Kg di peso corporeo.

 

Il Metabolismo Glucidico

Schermata-12-2456643-alle-10_31_32

Si dice che : la struttura è al servizio della funzione, ed anche la nostra dentatura risponde a questo principio.

Un cranio stretto ed affusolato indica potenti muscoli masticatori (temporale e massetere) adibiti a masticare tutto il giorno.

I carnivori possiedono potenti canini atti a squarciare la carne, ma non la masticano la ingoiano. Gli erbivori invece passano buona parte del tempo a digerire i vegetali in bocca, questo grazie all’amilasi salivare. Il viaggio dei carboidrati inizia così, all’inizio dell’apparato digerente, in bocca. I carboidrati per essere digeriti devono rimanere in un ambiente neutro  (pH 7), per essere assorbiti dovranno diventare dei monosaccaridi, il pane che è formato da pacchetti di glucosio (amido) verrà inizialmente scisso tramite idrolisi in bocca e poi successivamente nella regione digiunale dell’intestino (amilasi prancreatica). Una volta che l’amido diverrà glucosio passerà attraverso la membrana intestinale e verrà immesso nel circolo portale dove arriverà al fegato.

La velocità con cui il nostro corpo può assorbire il glucosio (processo ATP dipendente) è molto rapida e raggiunge la velocità di 1g/kg corporeo /ora. Se pesate 80kg potete assorbire al massimo 80g di glucosio all’ora, ricordatevelo la prossima volta che mangiate 1kg di pane  (440g di carboidrati) in una volta sola. Ogni volta che ingeriamo un buon quantitativo di carboidrati (60% delle calorie del pasto) la glicemia si alza entro 40-60 min passando da 80-90 a 120-130mg /100 ml, entro le due ore e trenta torna al livello basale o addirittura con valori leggermente inferiori.

Una volta che lo zucchero (glucosio- fruttosio-galattosio) è arrivato al fegato hanno inizio le reazioni biochimiche che lo porteranno a trasformarsi o a diventare energia.

Perché il glucosio possa entrare nelle cellule ha bisogno dell’insulina. Questo ormone permetterà alle membrane di richiamare uno specifico trasportatore (Glut-4) che permetterà il passaggio dello zucchero. Nel fegato, nel cervello e negli eritrociti (globuli rossi) non c’è n’è bisogno (tessuti insulino indipendenti) e la velocità di passaggio dipende soltanto dai livelli plasmatici di glucosio.

Una volta che lo zucchero entra nelle cellule dell’organismo abbiamo la fosforilazione a glucosio-6-fosfato. L’aggiunta di un gruppo fosfato imprigiona il glucosio nella cellula e ne impedisce la fuoriuscita. Esochinasi e glucochinasi sono gli enzimi che catalizzano la reazione. Soltanto il fegato possiede la glucochinasi e questa aggiunta lo rende il tessuto corporeo più idoneo per impacchettare e salvaguardare il glucosio trasformandolo in glicogeno. Quest’ultimo è la forma finale di conservazione degli zuccheri nella cellula, questo perché il potere osmotico del glucosio è molto maggiore rispetto a quello del glicogeno e la cellula richiamerebbe troppa acqua.

Abbiamo visto precedentemente che il fegato non ha bisogno d’insulina per captare gli zuccheri (il muscolo si). C’è un’altra grossa differenza tra i due tessuti. Mentre tutte e due possono conservare al loro interno il glucosio come glicogeno, solo il fegato è in grado di rilasciarlo nel circolo ematico, questo grazie all’enzima glucosio-6-fosfato fosforilasi. Questa caratteristica fa si che sia soltanto questo organo a controllare la glicemia (durante il digiuno per esempio), mentre le cellule muscolari possono utilizzare gli zuccheri solo per la propria attività.

Le riserve glucidiche del corpo sono influenzate in modo rimarchevole dai livello ormonali ed energetici. Il glucagone rende più facilmente disponibile il glicogeno epatico, mentre quello muscolare viene influenzato dall’adrenalina. L’insulina permette l’avvio dei processi di glicogenosintesi e blocca quelli opposti di glicolisi. Al contrario il cortisolo aumenta la gluconeogenesi ed interrompe la glicogenosintesi. Abbiamo così un antagonismo tra insulina e cortisolo. La composizione dei pasti  (glucidici o proteici) influenza la stimolazione ormonale adibita alla produzione e allo stoccaggio dell’energia. L’assunzione di carboidrati stimola anche il metabolismo glucidico adipocitario, quindi la produzione di leptina e indirettamente gli ormoni tiroidei (se volete tenere alto il metabolismo non potete escludere i carboidrati).

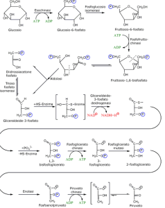
La glicolisi (in sintesi)

glicolisi

Il glucosio non può essere utilizzato se non attraverso la glicolisi. Questo processo porterò alla creazione da una molecola di glucosio in due di piruvato. A questo punto se nella cellula sarà presente sufficiente ossigeno (aerobiosi) avremo l’ossidazione in CO2 e H2O, altrimenti verrà degradato in acido lattico (anaerobiosi).

I passaggi ossidativi (in presenza d’ossigeno) avvengono tutti all’interno del mitocondrio  mentre gli altri nel citosol cellulare. Questo è il processo glicolitico: Descritto nel seguente modo: Glucosio + 2 NAD+ + 2 ADP + 2 Pi → 2 NADH + 2 piruvato + 2 ATP + 2 H2O + 2 H+ , porta ad un guadagno complessivo di due molecole di ATP e due di NADH (particolari importanti solo per gli addetti ai lavori).

Il clicolo di Krebs e la fosforilazione ossidativa (in sintesi)

fosforilazione ossidativa

La glicolisi è solo il primo passaggio della degradazione degli zuccheri, successivamente grazie all’intervento dei mitocondri il piruvato verrà ossidato in anidride carbonica, acqua e si avrà un guadagno totale di 36-38 molecole di ATP. L’ossidazione del piruvato non è l’unica via di destinazione, può indirizzarsi anche su un percorso anabolico e fornire lo scheletro carbonioso per la formazione dell’aminoacido alanina e per la sintesi degli acidi grassi. Quello che ci preme sottolineare è l’estrema differenza di produzione d’energia tra l’anareobiosi ed i processi ossidativi. Ogni volta che la cellula produce lattato contrae un debito d’ossigeno che successivamente dovrà essere ripagato (ciclo di Corì). Alcune cellula del nostro corpo (eritrociti) non hanno mitocondri (produzione basale di lattato) mentre altre come quelle del cervello funzionano solamente attraverso la glicolisi aerobica.

La Gluconeogenesi

gluconeo.png

Per gluconeogenesi si intende la formazione di glucosio a partire da precursori non glucidici. I principali sono gli aminoacidi glucogenetici (58% degli aminoacidi) che per transaminazione o deaminazione producono ossalacatato. Gli altri aminoacidi sono invece chetogenici e producono acetil-CoA. Ossalacetato e acetil-CoA sono elementi fondamentali nel ciclo di Krebs ma per semplificare non li abbiamo visto. Anche il lattato (il corpo ne produce almeno 40g al giorno) e il  glicerolo sono due precursori utili alla gluconeogensi. Rapporti ormonali, livelli energetici citoplasmatici (ATP/ADP+AMP) e  presenza del lattato determinano se nel fegato si attivino processi glicolitici o glucogenetici. Solo fegato e reni sono gli organi adibiti a alla produzione di glucosio ex novo.

Concludendo possiamo asserire che visto l’importanza che riveste il glucosio nel nostro corpo,  noi non ne siamo dipendenti, non esistono zuccheri essenziali. Questa strategia ha permesso all’uomo di sopravvivere ai periodi di carestia, la malnutrizione proteica si verifica dopo un medio-lungo periodo, senza zuccheri nel sangue in pochissimo tempo si muore (il metabolismo eritrocitario è esclusivamente glucidico). Coi prossimi articoli inizieremo ad entrare sul pratico per iniziare a capire come sfruttare al meglio il nostro metabolismo glucidico.

Sfruttare la flessibilità metabolica

Flessibilità-metabolica-e-resistenza-allinsulina

Il nostro corpo consuma prevalentemente due carburanti: i grassi ed i carboidrati. A riposo il muscolo attiva quasi esclusivamente il metabolismo lipidico (azione bruciagrassi), mentre dopo un pasto classico (60-15-25) la situazione si inverte e consuma quasi esclusivamente zuccheri. Questa alternanza viene chiamata flessibilità metabolica e sta ad indicare un meccanismo ON/OFF tra i due metabolismi. In chi è insulino resistente la situazione purtroppo varia, a riposo il muscolo continua ad attivare anche il metabolismo glucidico, mentre dopo il pasto continua a mantenere attivo anche quello lipidico. Questo si riflette sul Quoziente Respiratorio, più la persona è in sovrappeso e meno grassi brucia a riposo mentre al posto consuma gli zuccheri.

Comunque, in un soggetto allenato, andrebbe ciclicizzata la dieta proprio per sfruttare al meglio la flessibilità metabolica: giorni di allenamento “high carb” giorni di riposo “low carb”

Il fattore Insulino-resistenza

insulin_resistance

Come ben sappiamo, il nostro corpo cerca sempre di preservare l’omeostasi (lo stato interno), per questo è dotato di tutta una serie di strategie come i feedback negativi: avete sete >bevete >il nuovo stato idrico interrompe lo stimolo della sete. Oltre ai feedback a livello cellulare possiede una serie di risposte recettoriali up-down-regulation. Più una sostanza è rara e più recettori cellulari vengono portati in superficie per captarla, più la sua quantità è elevata e al contrario nel tempo meno ne ritroviamo sulla membrana.

Quando nel sangue viene immesso dello zucchero il pancreas attiva l’insulina, questo ormone porta nelle cellule muscolari ed adipose dei recettori (Glut-4) che cattureranno il surplus glucidico. Il gioco funziona finchè non si esagera, se quotidianamente ingurgitiamo troppi zuccheri, i recettori Glut-4 smettono di trasferirsi sulla superficie di membrana. Il pancreas è così costretto a secernere più insulina per sortire lo stesso effetto. Alla fine però il sistema si rompe, il pancreas perde la sua capacità di regolare la glicemia e da insulino resistente si diventa diabetici di tipo 2.

La resistenza all’insulina non riguarda solo l’eccesso di zuccheri ma anche di grassi (ed in minor parte le proteine). I grassi con l’insulina c’entrano poco a livello ematico, ma a livello dei recettori di membrana molto. La membrana cellulare è formata da fosfolipidi, tutti sappiamo che i grassi sono idrofobici, il glucosio invece è idrofilo (si scioglie nell’acqua), per questo per entrare nella cellula ha bisogno dei Glut-4. Alti livelli di trigliceridi nel sangue ostacolano così l’ingresso del glucide nella cellula (anche attraverso l’azione dei grassi intracellulari). Per questo c’è una correlazione tra chi mangia molta carne rossa ed il diabete. Non potete sperare, limitando solamente gli zuccheri, di migliorare l’insulino resistenza.

Lavoisier diceva che nulla si crea e nulla si distrugge ma tutto si trasforma (in calore). Quando mangiamo pensiamo che quello che ingurgitiamo vada a rimpiazzare le scorte energetiche consumate, che ripari i tessuti o che venga convertito in grasso. Quello che non consideriamo mai è che le calorie introdotte possono dissiparsi in calore. E’ questo il segreto dei magri che mangiano tanto e non ingrassano. Mitocondri sani, numerosi, con un’alta densità portano a dissipare in calore l’eccesso energetico piuttosto che a convertirlo in nuovi acidi grassi. La resistenza all’insulina ha un’azione diretta sia sulla membrana cellulare sia sui mitocondri, depotenziando il loro ruolo termogenico.

Diete low carb , con pochi carboidrati, a volte migliorano la sensibilità insulinica, perchè la scarsità di glucosio porta nuovi recettori Glut-4 in superficie, a volte però la peggiorano perchè le cellule ormai abituate a sfruttare sempre il metabolismo lipidico, preservano il poco glucosio presente a livello ematico, consumando lentamente i grassi e perdendo l’affinità col glucosio.
L’esercizio fisico è l’unico fattore che migliora la sensibilità insulinica indipendentemente dall’alimentazione. La produzione energetica aumenta enormemente nelle cellule muscolari che lavorano, questo porta sia a consumare le scorte energetiche cellulari, sia a riportare in superficie i Glut-4 per captare più glucosio possibile. Questo meccanismo non è mediato dalla glicemia per questo migliora la sensibilità insulinica ed abbassa l’insano resistenza.

Perchè tutto questo avvenga l’attività fisica deve essere intensa (proporzionale alla capacità della persona). Se ci si limita a camminare per dimagrire il corpo utilizzerà sempre i grassi come combustibile, idem se si corre in fascia lipolitica.

Alimentazione+training servono per far capire all’organismo che deve indirizzare i macronutrienti ai muscoli e non più alle cellule adipose.

Test OGTT e Curva insulinica

curva-glicemica

Esiste un test OGTT (Oral Glucose Tolerance Test, termine anglosassone italianizzato in Test da carico orale di glucosio) che analizza la risposta individuale all’ingestione del glucosio. L’esame si svolge al mattino. L’infermiere esegue un prelievo per la glicemia basale (a digiuno), quindi – se il valore rilevato è inferiore ai 126 mg/dl – si fanno assumere 75g di glucosio disciolti in 250-300 ml d’acqua, possibilmente in un breve periodo di tempo. Nelle ore successive il paziente viene invitato a rimanere seduto, senza fumare o mangiare, possibilmente rilassato (lo stress emozionale può falsare i risultati). La glicemia viene misurata ad intervalli di tempo regolari, solitamente dopo 30, 60, 90 e 120 minuti dall’ingestione del primo sorso di glucosio.

Se dopo 120 minuti la glicemia è tra 140 e 199 mg/dl si pone diagnosi di intolleranza glucidica. Se dopo 120 minuti la glicemia è ≥ 200mg/dl, si fa diagnosi di diabete mellito.

 

Livelli glicemici Normale Alterata glicemia a digiuno (IFG) Alterata tolleranza al glucosio (IGT) Diabete mellito

(DM)

Plasma venoso Digiuno 120′ Digiuno 120′ Digiuno 120′ Digiuno 120′
(mg/dl) <110 <140 > 110* – <126 <140 <126 >140 < 200 >126 >200
(mmol/l) <6.1 <7.8 > 6.1 – <7.0 <7.8 <7.0 >7.8 >7.0 >11.1

 

1999 WHO Diabetes criteria – Interpretation of Oral Glucose Tolerance Test – OGTT

 

* > (100 mg/dl secondo l’ADA)

 

Durante il test di tolleranza al glucosio andrebbe fatto anche quello della curva insulinica. Tale esame risulta particolarmente utile per evidenziare le condizioni di insulinoresistenza. Nei soggetti normali, l’insulinemia riconosce un picco di 6-10 volte il valore basale dopo 30-60 minuti, per poi cominciare a decrescere ai tempi 90′, 120′ e riportarsi a non più di 2 o 3 volte il valore basale fra i 180′ ed i 240′. In caso di diabete di secondo tipo agli esordi, il picco raggiunto è spesso maggiore, mentre nel diabete di secondo tipo insulinodipendente, così come in quello di primo tipo, l’insulinemia rimane a livelli molto bassi.

Quando si misurano contemporaneamente glicemia ed insulinemia è importante non variare le abitudini alimentari nei giorni che precedono il prelievo.

Migliorare l’affinità con il glucosio

Macronutrienti-e-risposta-genica1

Ci sono diverse strategie per migliorare l’affinità col glucosio:

1) Dieta low-fat. La presenza di pochi grassi (<20-25% delle calorie) formati prevalentemente da monoinsaturi, i saturi (dipende dal tipo) peggiorano la resistenza all’insulina mentre i polinsaturi creano facilmente processi di perossidazione lipidica. Il corpo trovando come carburante principale i gludici ricrea un feeling con questi.

2) Diete low-carb in cui gradualmente si reinseriscono i carboidrati. Se appena si assume un po’ più di carboidrati ci si gonfia marcatamente, assumere subito tanti carboidrati potrebbe non essere la scelta migliore. Limitarli ed aggiungerli a poco a poco è un percorso più lento ma efficace. Aggiungere ogni settimana 5-10-g di carboidrati. Ogni volta che si vede che la composizione corporea tende a peggiorare, stabilizzare il quantitativo e poi riprendere solo successivamente ad aggiungerli. In 24 settimane si saranno assunti 120-240g di glucidi in più, aumentando il metabolismo in modo considerevole.

3) Alternare giorni low-carb a giorno low-fat. Questo è uno degli approcci migliori, ciclicizzare i macronutrienti e le calorie all’interno della settimana e del mese è forse l’approccio più complesso ma anche più efficace. Il corpo costantemente viene attivato da stimoli differenti. Quello che conta è il trend che si vuole dargli. Nello stesso modo anche l’allenamento dev’essere vario, incentrato sulla forza, potenza ma anche resistenza.

Indice glicemico, carico glicemico e indice insulinico

grafico

L’indice glicemico (IG) misura la velocità con cui si alza la glicemia assumendo 50g di carboidrati da un alimento. Letta in questo modo sembra quasi che l’IG indichi quanto un cibo influenzi gli zuccheri nel sangue ma non è esattamente così. Vediamo il perché: L’IG a parità di 50g di carboidrati ci dice con che velocità entrano nel flusso ematico, ma a parità di 50g. La carota, per esempio ,ha un IG alto (non lo segno perché a seconda delle tabelle di riferimento varia moltissimo) tuttavia questo alimento ha per 100g solo 9,5g di zuccheri, un quantitativo modesto. Visto, tuttavia, che i suoi zuccheri sono a rapido assorbimento viene indicata tra gli alimenti ad alto IG perché per 50g dei sui carboidrati la glicemia è influenzata in modo evidente, ma per 50g dei sui zuccheri non per 50g di carota.

E’ un indicatore della qualità ma non tiene conto della quantità. Ha un IG più elevato la banana o il pane integrale?  Il primo alimento ha al suo interno 22-23g di carboidrati (sempre su 100g) il secondo dai 50g in su.
Per superare questa critica all’IG è stato inventato il carico glicemico (CG) che tiene conto sia della qualità degli zuccheri ma anche della loro quantità. Il CG è sicuramente interessante ma non ci dice tutto perché tiene conto solo degli zuccheri, è stato ormai dimostrato che non sono solo i carboidrati a far aumentare l’insulina ma anche le proteine ed i grassi (i quali abbassano l’IG ma possono alzare l’indice insulinico) ed in misura maggiore un mix tra questi macronutrienti. Abbiamo, così, alimenti con pochi carboidrati che alzano in modo rilevante l’insulina. Per questo è stato creato l’indice insulinico ed il carico insulinico i corrispettivi dell’IG e del CG ma che guardano l’insulina e non più la glicemia.

Finalmente abbiamo trovato un dato utile a farci capire quali alimenti più facilmente ci fanno ingrassare o ci aiutano nella spinta anabolica  (ricordiamo che l’insulina blocca la lipolisi e la gluconeogenesi, stimola la liposintesi ed aumenta l’uptake cellulare).

Contrariamente a quanto si crede non è la sola azione dell’insulina a farci ingrassare o a stimolare la crescita muscolare. Per esempio, abbiamo alimenti  con alto carico insulinico che fanno dimagrire.

Quindi, fermarsi all’indice glicemico degli alimenti vuol dire essere limitati, conoscere il carico glicemico ed insulinico può essere utile ma non sufficiente. Capire come funziona il nostro corpo, quando un ormone ci fa ingrassare, quando dimagrire, conoscere la nutrigenomica e l’effetto che gli alimenti hanno sui nostri geni è la chiave del futuro.

Reintroduzione glucidica e modulazione di proteine e grassi

think_49_3_4

La regola per la reintroduzione dei carboidrati nella dieta deve procedere per step. Non si può passare da una low carb ad una hig carb di colpo.

Ogni settimana, gradualmente aggiungete 10-25g di glucidi al giorno.

Per esempio se si è a 300g/die la settimana dopo passate a 310-325g/die, ecc.

Bisogna monitorarsi (attraverso le circonferenze e la plicomentria) e se non si ingrassa si possono aggiungere altri carboidrati la settimana seguente. Altrimenti bisogna rimanere su quel quantitativo finché l’organismo non si sarà abituato. Ingrassare leggermente nelle 20-30 settimane di reset metabolico è fisiologico, l’importante è aumentare la massa grassa di massimo 2-4%. Non bisogna preoccuparsi perché quello che si acquista lo si perderà con gli interessi.

Qui di seguito sono riportati i tre traguardi da raggiungere. Bisogna mirare a quello più vicino. Si hanno 20-30 settimane di tempo prima d’invertire la tendenza ed iniziare un eventuale fase di definizione.

  1. Livello base: 4g/kg di glucidi al giorno
  2. Livello intermedio: 5-6g di glucidi al giorno
  3. Livello avanzato: +7g di glucidi al giorno

L’alimentazione dev’essere ciclica. Ogni anno lo stato metabolico sarà migliore e permetterà d’aumentare la quota di carboidrati che si introducono.

Mano a mano che si aumentano i carboidrati bisogna scendere con le proteine (solo se erano maggiori di 1,5g/kg). Quest’ultime saranno fondamentali durante la fase di definizione perchè proteggono il muscolo dal catabolismo. Tuttavia tenere la quota proteica cronicamente elevata non è consigliabile. L’alto contenuto glucidico vi proteggerà dalla lisi muscolare e darà il via all’anabolismo. Sono i carboidrati il combustibile per mettere su muscolo, non le proteine.

In questa fase i protidi possono stare tra 0,9-1,5g/kg.

Quanti grammi di lipidi introdurre al giorno?

Se sono maggiori di 0,7g/kg in questa fase calarli gradualmente.

Non si può aumentare il metabolismo tenendo alti carboidrati e grassi assieme. Il metabolismo lipidico ostacola il metabolismo glucidico e non disperdete le energie in calore come dovreste. Addirittura chi per anni ha seguito low carb ed ha un’affinità col glucosio pessima, farà bene in un primo periodo a scendere ancora gradualmente a 0,3-0,4g/kg. Senza tanti lipidi sarà molto più facile migliorare l’affinità col glucosio.

* Ovviamente ogni soggetto è a se e le quantità dei macronutrienti non che la loro suddivisione durante la giornata andrebbero stabilite singolarmente.

Assunzione glucidica serale e suoi reali effetti.
acs1
E’ opinione comune nel mondo del BodyBuilding, e del Fitness in generale, che i carboidrati adrebbero assunti principalmente nella prima fase della giornata.
I motivi di questa affermazione sono principalmente due:

1- Consumo calorico: immettere zuccheri quando ci si appresta ad andare a letto aumenta (teoricamente) la probabilità che si convertano in grassi di deposito non venendo consumati da nessuna attività.
2- Fattore ormonale: la produzione ed il picco di GH vengono smorzati dall’introduzione di glucidi. L’Ormone della Crescita è un antagonista dell’Insulina, in quanto spinge la cellula ad utilizzare il metabolismo lipidico.

Dal momento che il corpo umano è una struttura complessa a più variabili (non uno schema fisso e banale) entrambe queste convinzioni sono errate.

Nello specifico, tali affermazioni sono sbagliate perchè:

1-la prima affermazione è sbagliata perchè non si tiene conto dell’efficienza metabolica individuale e del fatto che, durante il sonno il dispendio energetico è pressochè uguale rispetto a quello di attività a basso impatto (stare seduti, per esempio).

2- la seconda perchè le variazioni ormonali circadiane non sono così significative da cambiare radicalmente la composizione corporea. In parole povere, se non si ha il picco notturno di GH non vuol dire che non si perderà grasso! Certo, le differenze ci saranno ma non saranno così drastiche come si potrebbe pensare.

Sempre sul discorso “Carboidrati serali/GH” (che è il punto che volevo qui chiarire)è utile sapere che mangiando carboidrati ad alto indice glicemico alle 20:00 si avrà un ipoglicemia reattiva durante la notte che andrà a potenziare gli effetti di stimolo e azione del GH. La soggettività gioca sempre un ruolo imperante per la scelta della strategia vincente.

Quindi, consumare glucidi la sera in quantità generose (% di grasso permettendo) può dare anche dei vantaggi sulla secrezione naturale dell’Ormone della Crescita. Considerando poi il fatto che gli zuccheri danno facilmente sonnolenza, stimolano la secrezione di maggiore Leptina il giorno successivo (portando in soggetti sani una migliore composizione corporea), favoriscono indirettamente il rilascio di Serotonina (precursore della Melatonina essenziale per dormire bene), e migliorano la condizione di insulino-resistenza essendo il Cortisolo basso nelle ore serali, capiamo che il loro consumo va semplicemente gestito oggettivamente.
La sensibilità all’insulina è il vero fattore determinante quando si parla di “periodo migliore” per l’assunzione glucidica.

Assumere Carboidrati e Grassi insieme in una dieta ipercalorica
Grassi-e-Glut-4
Esiste un argomento più o meno controverso riguardante l’assunzione di Carboidrati e Grassi insieme. Tempo fa emerse la dieta “dissociata” che diceva di assumere Carboidrati a pranzo e Proteine e Grassi a cena. Successivamente arrivò la “Dieta a Zona” che, aumentando il numero di pasti da 3 a 5-6, mescolava Carboidrati , Proteine e Grassi in proporzioni ben precise (40% Carboidrati, 30% Proteine, 30% Grassi). Nonostante la loro differenza, entrambe queste strategie portano tutte al dimagrimento per un fattore in comune: indipendentemente da ciò che si mangia se nei mitocondri c’è poco ATP si innescano i processi catabolici. Attenzione! Parliamo di perdita di peso in “generale” e non della qualità della perdita di peso!
In questo articolo voglio sottolineare maggiormente l’impatto dell’assunzione dei macronutrienti insieme (in specie Carboidrati/Grassi)in ambito ipercalorico per l’aumento della massa magra limitando l’accumulo di grasso.
E’ vero che noi contiamo le calorie (dieta ipo-calorica, normo-calorica e iper-calorica) e l’organismo conta l’energia nei mitocondri, ma la perdita o l’accumulo di grasso segue un più ampio iter di cause ed effetto. Senza dilungarmi troppo con altri argomenti (se pur correlati) per il momento bisogna sapere che:
1) Se nel flusso ematico abbiamo contemporaneamente alti zuccheri e alti trigliceridi si tende ad ingrassare. Eccedere con Carboidrati e Grassi nello stesso pasto (contesto ipercalorico) è un incentivo alla lipogenesi;

2) Un pasto con un alto carico glicemico può fare ingrassare (fattori multipli implicati) o comunque, se ripetuto assiduamente, va ad inficiare i recettori cellulari GLUT-4 portando a peggiorare lo stato metabolico. In soggetti allenati e con percentuali di grasso corporeo al 10% (o meno), l’assunzione di un eccesso glucidico in un ambiente nel quale le vie metaboliche sono libere (non “ostruite” da grassi e proteine) viene ossidato e non si converte in acidi grassi;

3) L’Insulina viene stimolata dai Carboidrati, ma anche gli ormoni gastrici, gli aminoacidi che bypassano il metabolismo epatico e il mix di macronutrienti la stimolano. E’ vero anche che un picco glicemico è seguito da un picco insulinico. La glicemia, anche se alta dopo un pasto glucidico, non ci dice il livello insulinico realmente stimolato. Mangiare le gallette di Riso da sole e mangiarne con del burro d’arachidi darà una risposta insulinica diversa. Ma non sarà a favore delle gallette assunte senza burro. L’aggiunta di grassi abbassa si l’indice glicemico ma alza il carico insulinico.

Si ingrassa per due motivi principali:

1- Eccesso calorico (eccesso di energia nei mitocondri);

2- Stimolo e condizionamento ormonale in risposta ai macronutrienti assunti (e non solo).

Il “quando” si mangia è secondario a questo. Tuttavia, conoscere la giusta strategia alimentare in ambito ipercalorico permette di mangiare di più per mettere su massa senza inficiare i risultati complessivi (accumulo eccessivo di adipe). Il mischiare i macronutrienti (in specie Carboidrati e Grassi ) dipende essenzialmente da quanta energia si ingerisce in un pasto.

• Nel range delle 400-600Kcal per pasto si possono ingerire tranquillamente tutti i macronutrienti in mix.
• Nel range delle 600-800Kcal per pasto ci si trova in una zona “borderline”; più si è muscolosi e con una percentuale di grasso bassa meno si incorre nel rischio di lipogenesi con questo carico calorico mixando i tre macronutrienti.
• Superando le 1000-1200Kcal il rischio di lipogenesi è molto elevato (parlo di una alimentazione ipercalorica); anche qui ci sono delle variabili che determinano la minore o maggiore lipogenesi. Per esempio, se si segue un IF dove si mangia 1-2 volte al giorno le variabili aumentano, ma qui si parla di un contesto ipercalorico generalmente a “più pasti”.

In ambito ipercalorico la miglior strategia è estremamente soggettiva (non è una novità) ma le scelte si possono dividere in:

1) In soggetti tendenti all’insulino-resistenza e con una tendenza complessiva alla cattiva gestione dei glucidi, e alla loro risposta insulinica, la miglior strategia sembra essere quella che contempla un assunzione di 50% di Proteine, 30% di Grassi e 20% di Carboidrati.

2) In soggetti con lieve tendenza all’insulino-resistenza e con una lieve tendenza complessiva alla cattiva gestione dei glucidi, e alla loro risposta insulinica, la miglior strategia sembra essere quella che contempla un assunzione di 30-40% di Proteine, 30-40% di Carboidrati e 30-20% di Grassi.

3) In soggetti con un elevata sensibilità all’Insulina (e risposta insulinica) e un efficiente metabolismo glucidico, la miglior strategia sembra essere quella che contempla un assunzione di 50-60% di Carboidrati, 30-20% di Proteine e 20% di Grassi.

Per concludere non resta che sottolineare il fatto che, è in ambito ipercalorico che bisogna preoccuparsi anche della composizione in percentuale dei macronutrienti nei pasti per avere maggiori benefici.

PS: OVVIAMENTE, c’è da considerare anche la fonte da dove si assumono i macronutrienti! Dopo calorie e percentuali va calcolata la qualità dell’alimento.

 

Conclusioni

Le informazioni fino a qui riportate sono una base importante più che sufficiente per gestire al meglio i carboidrati nella dieta. Tutto quello che è stato scritto, ovviamente, viene divulgato da anni da esperti nel settore come Alan Aragon, Lyle McDonald, Layne Norton, ecc. Purtroppo la disinformazione continua ad essere dilagante ed è quindi importante (e necessario) informarsi adeguatamente su ciò che è reale e ciò che non lo è.

Gabriel Bellizzi

Fonti:

Esperienza Comparativa tra due tipi di Allenamento Aerobico (M.Neri – A.Paoli).

epoc

Riporto qui di seguito uno studio su due tecniche di allenamento aerobico che trovo molto significativo:

20 soggetti maschi con anzianità di allenamento di circa 4/6 mesi.
Età compresa fra i 25 ed i 35 anni.
– GRUPPO 1=10 soggetti allenamento aerobico si macchine cardio con % cardiaca fra 65 e 70%.
– GRUPPO 2=10 soggetti allenamento a circuito misto fra macchine a pesi e macchine cardio. Sulle macchine pesi si cerca di aumentare l’intensità. Viene fatto controllo della frequenza cardiaca sulle stazioni di macchine cardio con intensità del 70%.

Durata : 6 settimane
Frequenza: 3 allenamenti a settimana
Tempo di allenamento: 50/60’
Alimentazione: Libera

ESEMPIO DI CIRCUITO ADOTTATO SUL GRUPPO DI STUDIO

Cardio 2/3’
Chest o panca: 6/8
Bicipiti: 8/12
Cardio 2/3’
Trazioni o rowing stretto: 6/8
Tricipiti: 8/12
Cardio 2/3’
Addome: 20/30
Shoulder o lento dav: 6/8
Cardio 2/3’
Pressa: 8/12
Addome: 20/30

Ripetere il circuito dall’inizio fino a totalizzare 50/60’ (circa 3 volte)

I risultati sono stati i seguenti:
– 1. Entrambi i gruppi sono diminuiti (gruppo 1 – 3,5 Kg e gruppo 2 – 3,3 Kg)
– 2. Il gruppo 1 di aerobica a FC costante aveva perso 3,3% di grasso mentre il gruppo 2 del circuito Hi/Low era calato del 4,7%, cioè mediamente aveva perso quasi 1 Kg di grasso in più)
– 3. Il gruppo di sola attività aerobica aveva in pratica mantenuto la massa magra (+0,3 Kg) mentre il gruppo di studio (con il circuito di cardio e pesi aveva registrato un incremento di 1,.4 Kg)

Le conclusioni dovrebbero essere ovvie e già conosciute da chi possiede una buona conoscenza dell’allenamento serio in palestra.
Non dovreste temere di fare allenamenti ad intensità miste e tantomeno di inserire dei circuiti “intensi” dove mantenendo una complementarietà aerobica, introducete fasi lattacide che attivano TUTTI i muscoli del corpo (preferibilmente introducendo esercizi di tonificazione con i pesi).

Provare è una scelta quasi obbligata! Se nella vostra palestra le macchine cardio sono distanti da quelle dei pesi (errore di praticità d’uso della sala) provate a fare prima 20/25 minuti di pesi (a media-intensità) e poi 30 minuti di cardio Higt/low dove alternate momenti al 70% con picchi all’85%, oppure fare un vero e proprio HIIT dove per 12/16 minuti si alterna 1 minuto al 70% con 1 minuto a velocità massima senza curarsi troppo di dove arrivano i battiti; tanto in 60 sec “solitamente” non salgono più di tanto.
Ad ogni modo, in base allo stato di forma è anche possibile fare 1 minuto al 70% e solo 30/40 secondi di sprint massimale. Poi con il passare del tempo aumentare il tempo di sprint.

Provare per credere!