Arimistane

Arimistane
Arimistane

 

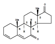
L’Arimistane (Androsta-3,5-diene-7,17-dione) è un metabolita del 7-Keto DHEA, non  soggetto a conversione in Testosterone o Estrogeni.  Infatti, proprio come l’Exemetsane(Aromasin), l’Arimistane è un inibitore dell’aromatasi suicida (AI) steroideo, ed esplica quindi la sua azione legandosi in modo irreversibile con legame covalente all’aromatasi producendo inattivazione enzimatica.  Inoltre, questo composto ha dimostrato di ridurre il Cortisolo, aumentare LH (Ormone Luteinizzante) e, di conseguenza,  aumentare i livelli di Testosterone. (1) (2)

200px-7-Keto-DHEA_svg
Differenze strutturali tra DHEA, 7-Keto-DHEA e Arimistane.

 

Come già accennato, l’Arimistane è un inibitore dell’aromatasi steroideo irreversibile, metabolita del 7-Keto DHEA. L’Arimistane agisce come un falso substrato per l’enzima aromatasi e viene trasformato in una sostanza intermedia che blocca irreversibilmente il sito attivo dell’enzima causandone l’inattivazione: questo meccanismo è noto anche con il nome di inibizione suicida. In altre parole l’Arimistane, essendo strutturalmente simile al target (substrato) dell’enzima aromatasi, si salda irreversibilmente a tale enzima, impedendone in questo modo di espletare la sua azione, cioè la conversione degli androgeni in estrogeni.

Arimistane-Androsta-3-5-diene-7-17-dione-androst35dien717dioneantiaromatase

L’Arimistane risulta essere il miglior composto con azione AI di libera vendita (non in Italia):

Arimistane-Androsta-3-5-diene-7-17-dione-arimistane-benefits-conclusion

 

Gli atleti, specie i BodyBuilders, utilizzano l’Arimistane non solo per la sua spiccata azione anti-aromatasi ma anche per la sua capacità di ridurre l’attività del Cortisolo a livello enzimatico (similmente al suo precursore 7-Keto-DHEA).

L’Arimistane è generalmente utilizzato sia durante un ciclo di AAS aromatizzabili, sia durante la PCT.

I dosaggi utilizzati durante un ciclo dipendono dal tipo di composti utilizzati (e dalla loro dosaggio) e dalla tendenza soggettiva all’aromatizzazione (non che alla sensibilità soggettiva agli aumenti estrogenici), ma in genere gli utilizzatori assumono dosaggi di circa 100mg al giorno. In PCT è generalmente usato ad un dosaggio di 50mg al giorno. Per ottenere effetti marcati sul Cortisolo, solitamente si assume ad un dosaggio nel range dei 100-200mg al giorno (dose divisa in due somministrazioni), per 4-6 settimane onde evitare possibili rebound del Cortisolo. 

Con l’uso di Arimistane vengono riportati diversi vantaggi:
◾Aumento dei livelli di Testosterone (se usato off-cycle e/o in PCT)
◾Miglioramento del recupero
◾Maggiore durezza e vascolarizzazione muscolare
◾Aumento della libido (dose dipendente e legato al grado di soppressione dei livelli estrogenici)
◾ Riduzione dei depositi adiposi
◾Diminuzione dei livelli di Cortisolo e Estrogeni.

L’emivita dell’Arimistane è di circa 2,5 ore. Raggiunge concentrazioni plasmatiche di picco in circa 2 ore e ha un’emivita di 2,5 ore senza accumulo con dosi ripetute.
Data la breve emivita, è consigliabile assumere il dosaggio giornaliero diviso in almeno 2-3 dosi uguali da assumere lontano dai pasti, vista la sua struttura steroidea. (3)

Gli effetti collaterali attribuiti all’uso dell’Arimistane sono legati ad un eccessivo calo dei livelli estrogenici (se abusato) e comprendono dolori articolari, alterazioni dell’umore e calo della libido.

MAN_NolvadrenXT_56caps

L’Arimistane è reperibile attraverso siti di integratori online e viene venduto sotto diversi nomi commerciali e in combinazione con altri composti aventi azione simile.

 

Gabriel Bellizzi

 

Riferimento:

1- https://pubchem.ncbi.nlm.nih.gov/bioassay/53550#section=Top

2- https://www.ncbi.nlm.nih.gov/pubmed/8035427

3-  Anabolic Steroids and Sports Volume II. James E. Wright. Sports Science Consultants, Natick, MA 1982.

Cortisolo e Vitamina E

crhacthcortisol1

Quando si è sottoposti a stress fisico e psicologico il corpo produce Cortisolo extra, il che fa più male che bene. Su questo, nessuna novità. Secondo uno studio giapponese svolto su animali, pubblicato nel Journal of Clinical Biochemistry, e dai dati del Dutch National Institute for Public Health and the Environment (RIVM), esiste un modo per ridurre il livello di Cortisolo, semplicemente aumentando l’assunzione di vitamina E.(1)

I ricercatori hanno fatto esperimenti sui ratti. Alcuni dei ratti erano giovani; Altri erano di età avanzata. Ad alcuni ratti è stato somministrato cibo contenente pochissima vitamina E e alcuni ratti sono stati messi in una gabbia in cui l’aria era composta interamente di ossigeno. L’età avanzata, una carenza di vitamina E e un’atmosfera ricca di ossigeno sono tre fattori che aumentano l’attività dei radicali liberi: molecole aggressive che causano danni alle cellule. In questo articolo consideriamo l’effetto di una carenza di vitamina E.

Nei giovani ratti che sono stati sottoposti a una carenza di vitamina E [D], dopo poche settimane il loro ipotalamo ha iniziato a produrre più CRH, l’ipofisi più ACTH e le ghiandole surrenali più Cortisolo rispetto ai giovani ratti che sono ai quali era stata data una normale e dieta equilibrata [A].

vitaminecortisol2

vitaminecortisol3vitaminecortisol5

 

Una carenza di vitamina E ha aumentato la concentrazione di TBARS e altri marker dell’attività dei radicali liberi nell’ipotalamo, nell’ipofisi e nelle ghiandole surrenali dei ratti. A quanto pare l’attività degli agenti ossidanti aumenta la produzione di Cortisolo.

vitaminecortisol6

Lo studio giapponese svolto su animali è rilevante per gli esseri umani, in particolare per le donne. Secondo le cifre raccolte dal RIVM sull’assunzione di cibo, circa il 50-60% delle donne olandesi e il 20-30% degli uomini olandesi consumano meno vitamina E rispetto alla quantità di cui hanno bisogno.

vitaminedutchintake

Gli adulti hanno bisogno di circa 10 mg di vitamina E al giorno. Questa quantità si trova in una manciata generosa di mandorle. Un avocado o una porzione di spinaci cotti contengono 4mg di vitamina E. Un kiwi contiene 1 mg di vitamina E.

Come riportato dai ricercatori, i risultati ottenuti in questo studio suggeriscono che lo stress ossidativo induca danni ossidativi nell’ippocampo, con conseguente iper secrezione del corticosteroide. È anche chiaro che la vitamina E impedisce il verificarsi di questo fenomeno attraverso le sue proprietà antiossidanti.

Gabriel Bellizzi

Riferimenti:

1- http://dx.doi.org/10.3164/jcbn.09-33

OLIO DI PESCE E CORTISOLO

Una modesta dose di un grammo di olio di pesce al giorno abbassa i livelli di Cortisolo, stando a quanto riportato dai ricercatori italiani nel Molecular Nutrition & Food Research. I partecipanti allo studio erano alcolisti che stavano seguendo un periodo di disintossicazione, mal’effetto di abbassamento del Cortisolo effetto dato dall’olio di pesce non è diverso nei soggetti sani. (1)

Alcol, Cortisolo e stress

Se gli alcolisti smettono di bere il loro livello di Cortisolo aumenta.(2) L’effetto è temporaneo, ma esso viene accompagnato dai sentimenti di stress e ansia che giocano un ruolo nel fallimento di molti tentativi di smettere di bere.

Dal momento che ci sono indicazioni che mostrano che gli acidi grassi omega-3 nell’olio di pesce riducono i livelli di cortisolo (3,4,5) , i ricercatori presso l’Università Politecnica delle Marche si sono chiesti se la supplementazione con olio di pesce potesse abbassare le secrezioni di Cortisolo in questo gruppo di persone.

Studio

I ricercatori italiani hanno svolto un esperimento con 31 alcolisti che, sotto una guida specialistica, stavano cercando di disintossicazione. Dieci di loro hanno ricevuto un placebo ogni giorno per 21 giorni; i restanti 21 soggetti hanno ricevuto una capsula contenente 1000 mg di olio di pesce.

Ogni capsula conteneva 252 mg di DHA e 60 mg EPA. I ricercatori hanno utilizzato integratori realizzati dalla società italiana Salix.(6)

Risultato

Appena prima che venissero somministrate le capsule di olio di pesce o placebo [T0], i ricercatori hanno monitorato le concentrazioni di Cortisolo dei soggetti attraverso la loro saliva per ventiquattro ore. Hanno eseguito lo stesso procedimento l’ultimo giorno di somministrazione [T21].

La figura 1 mostra che gli acidi grassi omega-3 hanno abbassato le concentrazioni di Cortisolo dei soggetti. La figura 2 mostra che le capsule di placebo non hanno avuto effetto.

f12

La supplementazione di olio di pesce ha ridotto anche le sensazioni di stress che i soggetti segnalavano. I ricercatori hanno utilizzato la Scala di stress percepito [PSS 10], in cui il punteggio massimo è di 40 e il più basso è 0.

fishoillowerscortisol2

Conclusioni

I ricercatori affermano che i presenti risultati dimostrano che l’integrazione con acidi grassi omega-3 in alcolisti in astinenza di sesso maschile:

(1) riduce i sintomi di stress e ansia e
(2) riduce i livelli basali di secrezione di Cortisolo

“L’applicazione di una coorte relativamente non selezionata di alcolisti astinenti, insieme con l’ampia disponibilità di supplementi di omega-3, rende questi risultati abbastanza generalizzabili, e l’attuale esperienza replicabile nella maggior parte delle realtà.”

“Collettivamente, questi risultati suggeriscono che un elevata assunzione alimentare di acidi grassi omega-3 acidi grassi può rappresentare una misura sussidiaria per aumentare l’efficacia dei programmi di riabilitazione di persone alcoliste e fornire un valido supporto durante l’astinenza dall’alcol.”

Gabriel Bellizzi

Riferimento:

1- http://dx.doi.org/10.1002/mnfr.201200676
2- http://www.ncbi.nlm.nih.gov/pubmed/1853950
3- http://www.ncbi.nlm.nih.gov/pubmed/23104856
4- http://www.ncbi.nlm.nih.gov/pubmed/21211954
5- http://www.ncbi.nlm.nih.gov/pubmed/20466437
6- http://www.salix.it/

FRUTTOSIO E CORTISOLO

 

fructosestructure
Fruttosio

 

Un mancato controllo dell’assunzione di fruttosio nella dieta non solo porta ad un graduale aumento di peso, aumenta anche l’attività del Cortisolo. Biochimici serbi hanno dimostrato questo effetto su ratti ai quali era stata data da bere acqua addizionata a fruttosio. (1)

Quasi tutti i prodotti alimentari trasformati che consumiamo contengono quantità crescenti di fruttosio sotto forma di zucchero, sciroppo di glucosio-fruttosio o succo di frutta. Questa dieta a base di fruttosio che l’industria alimentare ci sta servendo contribuisce a renderci grassi. Non solo perché contiene grandi quantità di Kcal nascoste, ma anche perché una dieta ad alto contenuto di fruttosio altera il nostro appetito e il nostro metabolismo. (2)

I biochimici presso l’Università di Belgrado, hanno pubblicato sul Journal of Nutritional Biochemistry i risultati di uno studio nel quale hanno esaminato un altro aspetto potenzialmente “ingrassante” del fruttosio: l’effetto del cortisolo nelle cellule adipose.

In tutto il mondo ci sono diversi laboratori che stanno lavorando sullo sviluppo di aiuti dimagranti che disattivano l’azione del cortisolo nei depositi adiposi bloccando l’enzima 11-beta-HSD-1. Questo è l’enzima che converte l’ormone inattivo cortisone nell’ormone attivo cortisolo. Come ben sappiamo, Il cortisolo è l’ ormone dello stress che inibisce la crescita muscolare, ma stimola la crescita delle cellule adipose.

cortisol11bhsd1

I ricercatori serbi hanno studiato due gruppi di ratti di laboratorio maschi. Ad un gruppo è stata data da bere acqua potabile ordinaria [controllo]; all’altro gruppo è stata data acqua potabile contenente il 10% di fruttosio [fruttosio].

Dopo nove settimane, i topi del gruppo “fruttosio” aveva assunto più fruttosio rispetto agli animali del gruppo di controllo. I topi del gruppo “fruttosio” avevano un po’ più di grasso addominale rispetto ai ratti del gruppo di controllo, ma la differenza non era statisticamente significativa.

La quantità di acidi grassi liberi [NEFA] nel sangue dei ratti del gruppo “fruttosio” era significativamente superiore rispetto ai ratti del gruppo di controllo. Se si utilizzano gli acidi grassi liberi come fonte energetica non c’è nessun problema. Se non lo si fa, un’alta concentrazione di acidi grassi liberi nel sangue è disastrosa nel lungo periodo. Gli acidi grassi si accumulano nei muscoli e negli organi e finiscono per sabotare il loro funzionamento.

La dieta con fruttosio addizionale non ha aumentato il numero di recettori del cortisolo [GR] nelle cellule adipose, ma i ricercatori hanno trovato un numero più elevato dei recettori del cortisolo nei nuclei delle cellule. Questi sono stati probabilmente recettori attivati dal cortisolo, che successivamente trasmette istruzioni al DNA nelle cellule adipose.

1-Testosterone.svg.png

Nelle cellule adipose i ricercatori hanno scoperto concentrazioni più alte di 11 beta-HSD-1 e di H6PDH. L’H6PDH è un enzima che fornisce energia all’11-beta-HSD-1, in modo che possa svolgere la sua azione.

I ricercatori non sono stati in grado di confermare la teoria secondo la quale l’11-beta-HSD-1 e l’H6PDH bloccanti sono un aiuto ai fini del dimagrimento. Essi non hanno osservato un significativo aumento del grasso addominale nei loro animali da laboratorio, ma il loro studio suggerisce che una dieta a basso contenuto di fruttosio è interessante per tutti coloro che vogliono ridurre i loro livelli di cortisolo.

Gabriel Bellizzi

Riferimenti:

1- http://dx.doi.org/10.1016/j.jnutbio.2012.09.002
2- http://www.ncbi.nlm.nih.gov/pubmed/17326204

Trilostano (Vetoryl)

 

trilo
Trilostano

 

Il Trilostano [(4α,5α,17β)-3,17-diidrossi-4,5- epossiandrost-2-ene-2-carbonitrile] è un inibitore della steroidogenesi adrenocorticale. La molecola inibisce l’enzima progesterone reduttasi, essenziale per la produzione di glicocorticoidi e di mineralcorticoidi, bloccando in modo competitivo e reversibile la conversione dei D5-3b-idrossisteroidi, ad esempio il pregnenolone, biologicamente inattivi, a D4-3-chetosteroidi, ad esempio il progesterone biologicamente attivi, sia nella corteccia surrenale che in altri tessuti. Il Trilostano sembra essere più efficace in soggetti con ipercortisolismo piuttosto che in individui con normale attività adrenocorticale. Il farmaco determinerebbe anche una inibizione della 3 beta-idrossisteroido-deidrogenasi. Nel paziente con Sindrome di Cushing il Trilostano generalmente riduce la secrezione, la concentrazione plasmatica e l’escrezione urinaria di Cortisolo e inibisce la risposta adrenocorticale alla stimolazione da corticotropina (ACTH). Durante il trattamento con il farmaco per periodi prolungati di tempo è possibile si verifichi un aumento, dovuto ad un meccanismo di feed-back negativo, delle concentrazioni plasmatiche di ACTH con conseguente stimolazione della steroidogenesi surrenalica. Questo meccanismo in alcuni soggetti può determinare un annullamento della inibizione della sintesi di cortisolo.

Trilostane.png

 

Dopo somministrazione orale il Trilostano in genere viene rapidamente assorbito dal tratto gastrointestinale. È peraltro noto che esistono ampie variazioni interindividuali nella velocità e nell’entità dell’assorbimento.

Nei soggetti sani a digiuno, a distanza di circa 30-60 minuti dalla somministrazione orale di una singola dose di 120 mg il farmaco è dosabile nel plasma. Le concentrazioni plasmatiche massime del Trilostano e del 17-chetotrilostano sono rispettivamente di 0,4-1 e di 1,2-2,5 µg/ml. Il farmaco si distribuisce ampiamente nella maggior parte dei tessuti corporei concentrandosi particolarmente nell ghiandole surrenali, fegato, polmoni e reni. Il Trilostano subisce metabolismo epatico. Nell’animale sono stati individuati 5 metaboliti maggiori che fanno seguito a reazioni di idrossilazione e glucuronazione. Il metabolita principale è il 17-chetotrilostano che sembra due volte più potente del Trilostano nell’inibire la progesterone reduttasi. Nella scimmia il Trilostano e i suoi metaboliti sono escreti prevalentemente nelle urine, nel ratto prevalentemente nelle feci. Nel ratto e nel topo i valori della DL50 orale sono >16 g/kg. Il Trilostano viene impiegato nel trattamento della sindrome di Cushing e nell’iperaldosteronismo. Il farmaco è stato anche utilizzato per il trattamento del cancro della mammella avanzato, in donne nella post menopausa.

La dose terapeutica usuale di Trilostano è di 60 mg per 4 volte al giorno per almeno 3 giorni; essa viene quindi aggiustata, in base alla risposta del paziente, entro un intervallo compreso tra 120 e 480 mg/die. Sono state anche somministrate dosi giornaliere di 960 mg/die.

Molti Bodybuilders usano il Trilostano per la sua capacità inibitoria sulla sintesi del Cortisolo; cosa che torna loro utile ad esempio all’uscita da lunghi cicli di AAS per evitare perdite eccessive di massa magra e consolidare i guadagni o in pesante e prolungata restrizione calorica. Sempre più spesso infatti viene utilizzata questa molecola, o il Metyrapone, in sostituzione del Cytadren (Aminoglutetimide), spesso usato dagli atleti in passato.

Il Cortisolo rappresenta un elemento significativo dell’equazione che induce le limitazioni genetiche alla crescita muscolare. Molti addetti ai lavori e atleti hanno capito che:

1. meno Cortisolo = meno catabolismo (distruzione) muscolare;

2. meno Estrogeni = meno accumulo di grasso e meno ginecomastia e quindi un fisico più magro;

3. meno Aldosterone = meno ritenzione idrica e un aspetto più tonico.

Ma meno conversione di Pregnenolone in composti attivi = meno Testosterone endogeno.

Molti hanno considerato questi effetti fortemente positivi in quanto l’assenza della produzione naturale di Testosterone è stata rimpiazzata abbondantemente attraverso l’uso degli AAS ed è stato riconosciuto che l’assenza di ormoni concorrenti ha avuto un profondo effetto sinergico su quelli auto-somministrati. Quindi, bisogna ricordare che il Trilostano, al pari dell’Aminoglutetimide, non comporta un abbassamento esclusivamente a carico del Cortisolo: infatti le sue capacità inibitorie interessano anche proporzionalmente la biosintesi endogena degli Androgeni, Estrogeni e Aldosterone.

Per questo motivo gli atleti durante la somministrazione di Trilostano in periodi di uscita dai cicli assumono il Proviron (Mesterolone) per mantenere elevato il livello degli Androgeni circolanti. Le dosi assunte dagli atleti sono generalmente nel range dei 120-240mg al giorno divisi in dosi multiple da 60mg, generalmente con un protocollo di due giorni si e due giorni no per un massimo di quattro settimane. In questo modo si è in grado di sfruttare al meglio le capacità della molecola senza incorrere nei deleteri cicli di feed-back negativo e diminuendo l’incidenza degli altri possibili effetti collaterali. L’utilizzo di Trilostano non è stato protratto per più di 4-6 settimane: a quel punto il corpo risponderebbe con un aumento della produzione di ACTH creando un’intera nuova serie di effetti catabolici.

Un protocollo di Trilostano, la dove l’intento è quello di creare una soppressione del Cortisolo e degli Estrogeni può essere (come puro esempio) il seguente:

Giorni

1. Trilostano 120mg, Proviron 50/150mg

2. Trilostano 120mg, Proviron 50/150mg

3. Nolvadex 30mg, Proviron 50/150mg

4. Nolvadex 30mg, Proviron 50/150mg

5. Trilostano 120mg, Proviron 50/150mg

6. Trilostano 120mg, Proviron 50/150mg

7. Nolvadex 30mg, Proviron 50/150mg

8. Nolvadex 30mg, Proviron 50/150mg

9. Trilostano 120mg, Proviron 50/150mg

10. Trilostano 120mg, Proviron 50/150mg

11. Nolvadex 30mg, Proviron 50/150mg

12. Nolvadex 30mg, Proviron 50/150mg

13. Trilostano 180mg, Proviron 50/150mg

14. Trilostano 180mg, Proviron 50/150mg

15. Nolvadex 30mg, Proviron 50/150mg

16. Nolvadex 30mg, Proviron 50/150mg

17. Trilostano 180mg, Proviron 50/150mg

18. Trilostano 180mg, Proviron 50/150mg

19. Nolvadex 30mg, Proviron 50/150mg

20. Nolvadex 30mg, Proviron 50/150mg

21. Trilostano 240mg, Proviron 50/150mg

22. Trilostano 240mg, Proviron 50/150mg

23. Nolvadex 30mg, Proviron 50/150mg

24. Nolvadex 30mg, Proviron 50/150mg

25. Trilostano 240mg, Proviron 50/150mg

26. Trilostano 240mg, Proviron 50/150mg

27. Nolvadex 30mg, Proviron 50/150mg

28. Nolvadex 30mg, Proviron 50/150mg

In seguito alla somministrazione di dosi elevate di Trilostano si sono manifestati i seguenti effetti collaterali:

  • cefalea
  • astenia
  • stanchezza
  • senso di testa vuota
  • malessere ù
  • confusione
  • flushing
  • nausea
  • vomito
  • diarrea
  • rinorrea ed edema del palato
  • problemi epatici.

Sono stati riportati occasionalmente esfoliazione cutanea, rash, prurito ed eritema. Raramente possono verificarsi artralgia, crampi o dolori muscolari, palpitazioni, turgore e congestione alle mucose nasali, lacrimazione, febbre, sincope e aumento della salivazione.

Il Trilostano come già accennato può deprimere la funzione gonadica. In una donna che riceveva 240 mg di farmaco 4 volte al giorno si è assistito alla comparsa di crisi addisoniana. Il farmaco riduce fortemente anche la capacità del corpo di reagire alle risposte infiammatorie. Ciò significa che può impedire al corpo di inibire le emorragie e di combattere le malattie. Ciò può anche rendere un Bodybuilder una vittima della Sindrome di Cushing.

Il sovradosaggio da Trilostano si manifesta con ipotensione, anche grave, iperkaliemia e insufficienza surrenalica. Per il trattamento è necessario svuotare lo stomaco mediante emesi o lavanda gastrica e una terapia sostitutiva con corticosteroidi. Si devono monitore attentamente sia la potassiemia che la pressione sanguigna.

Il Trilostano è strutturalmente correlato al Testosterone e può interferire con alcuni metodi per la determinazione sierica di quest’ultimo. Il farmaco inoltre può produrre valori falsamente elevati di 11- idrossicorticosteroidi urinari e/o plasmatici.

Gabriel Bellizzi

Riferimenti:

– Trilostano. Wikipedia

– Chemical Muscle Enhancement II (di Author L. Rea)

7-Keto-DHEA

7-keto-dhea

Il 7-Keto-DHEA (noto anche come 7-Keto, 7- ketodehydroepiandrosterone, o 7-oxodehydroepiandrosterone) è uno steroide prodotto dal metabolismo del pro-ormone surrenale Dehydroepiandrosterone (DHEA). Il 7-Keto non converte in Testosterone o Estrogeni, ed è stato per questo studiato come sostituto del DHEA. E’ spesso usato nella sua forma di “pro-farmaco” 7-Keto-DHEA Acetato.

Gli studi in vitro e sugli animali hanno suggerito l’utilità potenziale del 7-Keto negli esseri umani, ma attualmente non esistono sufficienti prove scientifiche a sostegno del suo uso come aiuto per la perdita di peso, la conservazione/crescita della massa muscolare, lo stimolo immunitario, o per qualsiasi altro uso clinico. Tuttavia, il 7-Keto è commercializzato come integratore alimentare per la perdita di peso, aumento del metabolismo, miglioramento della memoria, e per prevenire i cambiamenti legati all’età dal 1998. Quando viene utilizzato in soluzione topica (lozione per la pelle) il 7-Keto causa cambiamenti duraturi nei livelli fisiologici di Testosterone, Epitestosterone, Estradiolo, e altri ormoni steroidei. Le ricerche hanno sottolineato che l’uso di integratori contenenti questa molecola possa portare positività ai test anti-doping. L’Agenzia mondiale antidoping ha inserito il 7-Keto DHEA nella lista degli agenti anabolizzanti vietati.

7-keto-dhea-e-dhea-300x136

Per cercare eventuali metaboliti del DHEA che potessero avere una maggiore attività biologica, una maggiore specificità, e una minore propensione alla conversione in ormoni sessuali, il Dr. Lardy avviò un programma di analisi dei derivati del DHEA. L’attività di 150 di questi metaboliti è stata monitorata misurando l’induzione di due enzimi termogenici, la deidrogenasi mitocondriale glicerolo-3-fosfato e il citosolico enzima malico. I risultati di questo studio di riferimento sono stati pubblicati nel 1998 sulla rivista Steroids, e hanno rivelato che molti di questi steroidi non hanno indotto l’attività di questi enzimi termogenici, mentre il metabolita 7-Keto l’ha fatto. Infatti, il 7- Keto era 2,5 volte più attivo del DHEA ad indurre l’attività di questi enzimi termogenici. In seguito al lavoro di Marenich, si è scoperto che l’escrezione urinaria del 7-Keto diminuisce con l’età, in modo simile al suo composto progenitore, il DHEA. Sulla base dei vantaggi riscontrati, il metabolita 7-Keto è stato scelto per ulteriori studi come composto finalizzato alla perdita di peso.

Il 7-Keto è legalmente venduto negli Stati Uniti e nel Regno Unito come supplemento dietetico.

Il 7-Keto presenta caratteristiche uniche tra i derivati del DHEA a causa dell’ossigenazione in 7° posizione.

Questa modifica strutturale conferisce caratteristiche proprie alla molecola, e la ricerca ha rivelato che il 7-Keto DHEA ha molteplici effetti distinti nel corpo. Il 7-Keto ha una documentata azione termogenica nei ratti. Questa azione si realizza attraverso l’attivazione di tre enzimi termogenici:

  • Glicerolo-3-fosfato deidrogenasi
  • Enzima Malico
  • Acil-CoA ossidasi

In linea con la definizione biologica della termogenesi, tutti e tre questi enzimi attivano una via meno efficiente per la sintesi di ATP ai fini della produzione di calore. Quindi, questi enzimi promuovono anche l’utilizzo delle riserve di grasso per la produzione di energia e calore. Questa è la capacità posseduta dal 7-Keto di migliorare la termogenesi e, attraverso questo meccanismo, accelerare l’utilizzo dei depositi di grasso a fini energetici.

Uno studio del 2007 ha dimostrato come la somministrazione di 7-Keto in soggetti adulti in sovrappeso e in combinazione con una dieta ipocalorica ha invertito efficacemente il calo del tasso metabolico a riposo (RMR) normalmente associato con la dieta. Il 7-Keto ha dimostrato di possedere la capacità di aumentare il RMR dell’1,4% sopra i livelli basali e ha dimostrato di portare ad un aumento giornaliero del 5,4% del RMR quando somministrato con una dieta ipocalorica.

Il 7-Keto raggiunge questo effetto termogenico senza effetti cardiovascolari o a carico del Sistema Nervoso Centrale, che rappresentano gli effetti comunemente associati all’utilizzo dei classici agenti termogenici come Efedrina e Clenbuterolo.

Gli atleti, specie i BodyBuilders, utilizzano il 7-Keto anche per la sua capacità di ridurre l’attività del Cortisolo a livello enzimatico al dosaggio di 200mg/die diviso in due dosi uguali (in genere appena svegli e dopo l’allenamento): la sua somministrazione è mantenuta entro le 4-6 settimane onde evitare possibili rebound del Cortisolo.

Sebbene il processo di invecchiamento interessa tutti i segmenti del sistema immunitario, i ricercatori hanno identificato delle alterazioni nella funzione immunitaria cellulare delle cellule T mediata negli anziani. Il declino della funzione immunitaria delle cellule T è associato ad un aumento della suscettibilità alle infezioni. Ad esempio, gli individui con declino dell’immunità cellulare età-correlate hanno una risposta alterata al vaccino influenzale, che li rende più suscettibili a contrarre l’”influenza”, anche se hanno ricevuto il vaccino.

In uno studio clinico presentato al meeting della Federation of American Societies for Experimental Biology nell’aprile del 2004 , è stato valutato l’effetto del 7-Keto in relazione all’azione sulla funzione immunitaria in soggetti anziani.

Il 7-Keto è stato oggetto di una serie di valutazioni tossicologiche. Questi studi includono: AMES Mutagenicity Test, Acute Oral Dose LD50 nel ratto, Escalating Dose Oral Gavage in Rhesus Monkeys e 28 Day Oral Gavage in Rhesus Monkeys.

Non ci sono stati effetti avversi in nessuno di questi studi. Questo lavoro pre-clinico è stato seguito da uno studio di sicurezza di Fase I nell’uomo diretto da Davidson e colleghi presso il Chicago Center for Clinical Research. Questo studio è stato pubblicato sul Clinical Investigative Medicine e ha mostrato che il 7-Keto è sicuro per l’uomo fino ad una dose di 200mg/die per 4 settimane. Come negli studi tossicologici, non ci sono state gravi reazioni avverse o effetti collaterali ormonali segnalati. I dati sulla sicurezza di impiego a lungo termine (oltre 4 settimane) mancano.

Inoltre, un’analisi farmacocinetica completa è stata inserita come parte di questo studio. Questa analisi farmacocinetica descrive esattamente come il corpo assorbe, metabolizza, distribuisce ed espelle il 7- Keto. Esso rivela che il 7-Keto è rapidamente assorbito e convertito in un suo derivato solfato, che raggiunge le concentrazioni plasmatiche di picco dopo 2,2 ore e ha una emivita di 2,17 ore e non vi è nessun accumulo con somministrazioni ripetute.

Ad oggi, ci sono state due notifiche della FDA che autorizzano la libera vendita di prodotti contenetnti 7- Keto come ingrediente alimentare. Era intento della FDA annunciare con tali notifiche la sicurezza dei prodotti contenenti tale ingrediente. La FDA non ebbe nulla da obbiettare, nelle sudette notifiche, riguardo alla commercializzazione e vendita di prodotti contenenti 7-Keto.

Similmente al DHEA, il 7-Keto nel corpo viene rapidamente solfatato a 7-Keto solfato. Un metodo di analisi è stato sviluppato per la quantificazione del 7-Keto solfato nel plasma umano. Questo era un metodo HPLC, che utilizzava curve di calibrazione per il 7-Keto solfato nell’intervallo da 10 a 500 ng/ml. Livelli minimi sono stati misurati dopo ogni dose somministrata in ordine crescente; 0.50, 100 e 200 mg al giorno. Le concentrazioni plasmatiche di base aumentano proporzionalmente alla dose giornaliera somministrata. I livelli medi (15,8 ng/ml) dopo 1 settimana al dosaggio di 200 mg/die sono stati simili a quelli misurati dopo 4 settimane di trattamento (16,3 ng/ml). Ciò indica che il rapporto tra il tasso di formazione del metabolita e la sua eliminazione è costante durante somministrazioni multiple e non si accumula. Dopo un periodo di washout di dodici ore, 22 soggetti hanno ricevuto una singola dose di 100 mg di 7-Keto e i livelli plasmatici sono stati quantificati a 0.25, 0.50, 1.0, 2.0, 4.0, 6.0 e 12.0 ore dopo la somministrazione della dose.

Le concentrazioni plasmatiche medie misurate sotto studio hanno dimostrato un livello di picco nel plasma di 158 ng/ml dopo 2,2 ore dalla somministrazione della dose. L’emivita è risultata essere di 2,17 ore. Sulla base dei dati, il regime di dosaggio di due volte al giorno è stato consigliato come il programma di dosaggio ideale se il mantenimento di livelli ematici costanti è l’obiettivo.

I risultati di queste ricerche hanno dimostrato che vi erano dei casi contrastanti tra:

  • i dimezzamenti dei livelli plasmatici misurati
  • le concentrazioni plasmatiche di una singola dose da 100 mg per via orale.

Ricapitolando, non vi è accumulo con dosi ripetute e, con somministrazione in due volte al giorno, dovrebbe raggiungere un livello plasmatico stazionario in 11 ore.

In conclusione, il 7-Keto risulta utile come supplemento per il miglioramento delle prestazioni in periodi di restrizione calorica dove l’obbiettivo primario dell’atleta è quello di accellerare il consumo dei grassi di deposito e massimizzare la conservazione della massa muscolare. Il dosaggio utile a tal fine rimane quello dei 200mg/die diviso in due dosi uguali. Ricordo inoltre che l’uso prolungato (oltre le quattro settimane) è sconsigliato a causa dei possibili rebound del Cortisolo.

Gabriel Bellizzi

Riferimenti:

– Wikipedia, “7-Keto-DHEA“

 

 

DHEA E CORTISOLO

1-testosterone-svg

Come ben sappiamo in piccole quantità l’ormone dello stress Cortisolo è incredibilmente utile, ma quando raggiunge e mantiene livelli costantemente elevati diventa estremamente dannoso. Ricercando nelle vecchie riviste scientifiche, è emerso un modo per ridurre il Cortisolo del 30-40% : assumendo 25 mg di DHEA al giorno.(1)

La riduzione del Cortisolo in seguito alla supplementazione di DHEA è stata anche divulgata attraverso una clip di YouTube, in cui Jeff Anderson consiglia agli uomini che vogliono perdere grasso nella zona del torace di assumere 25 mg di DHEA al giorno (qui il link alla clip https://www.youtube.com). Il deposito di grasso in questa zona è in parte dovuto al Cortisolo, dice Anderson, e si può ridurre il livello di quest’ultimo assumendo una dose bassa di DHEA ogni giorno. 

Se gli uomini possano realmente perdere grasso toracico assumendo DHEA non è così sicuro, ma sappiamo che la supplementazione di DHEA riduce il livello di cortisolo che causa anche ritenzione idrica. Almeno, esiste uno studio fatto nel 2003, in cui i ricercatori presso la University of Pittsburgh hanno osservato ciò su un gruppo di uomini e donne di 69 anni che assumevano 200 mg di DHEA ogni giorno per 15 giorni.(2)

L’integrazione ha avuto inizio il giorno 8 ed è continuata fino al giorno 22. Le barre nelle figure  qui sotto mostrano la quantità di Cortisolo nel sangue dei partecipanti per ciascun giorno.
La riduzione del livello di Cortisolo causata dal DHEA era maggiore nelle donne rispetto agli uomini. Anche se i livelli di cortisolo nei maschi sono scesi, la riduzione non è risultata statisticamente significativa in tutti i giorni.

1-Testosterone.svg.png

Una dose giornaliera di 200 mg di DHEA è un quantitativo elevato. In molti studi la dose usuale di DHEA utilizzata dai ricercatori è di 50 mg. Nel 2006 ricercatori italiani hanno pubblicato i risultati di uno studio sugli effetti di una dose notevolmente inferiore di DHEA sui livelli di Cortisolo.(3)

I ricercatori italiani hanno somministrato ai loro soggetti di prova – donne di età compresa tra 50 e 55 anni [barre scure nella figura 3] e tra 60 e 65 anni [barre di colore chiaro nella figura 3] – una dose quotidiana di 25mg di DHEA per un periodo di 12 mesi:

– 0 = livello di Cortisolo prima di iniziare DHEA;
– 2 = dopo 3 mesi;
– 3 = dopo 6 mesi;
– 4 = dopo 12 mesi.

1-Testosterone.svg.png

La figura qui sopra mostra come la supplementazione di DHEA possa funzionare. Essa mostra l’effetto della somministrazione di 10 microgrammi di ACTH sul livello di Cortisolo, prima della somministrazione e dopo 3, 6 e 12 mesi. L’ACTH è l’ormone messaggero che stimola le ghiandole surrenali a rilasciare Cortisolo. La secrezione di ACTH aumenta sotto stress. Sembra che la supplementazione di DHEA renda le ghiandole surrenali meno sensibile al ACTH.

Se si sta pensando di cercare di abbassare il livello di Cortisolo assumendo il DHEA, probabilmente si noterà un effetto maggiore se il pro-ormone si assume prima di andare a dormire o appena svegli (a stomaco vuoto o comunque lontano dai pasti). Anche nell’immediato post workout si possono ottenere maggiori benefici dalla supplementazione di DHEA ai fini di un abbassamento del Cortisolo.

cortisoldiurnal

Tempo fa parlai dell’effetto sulla riduzione del Cortisolo da parte di un metabolita del DHEA, il 7-Keto-DHEA; vi rimando alla lettura dell’articolo http://bbhit.altervista.org/7-keto-dhea/.

Gabriel Bellizzi

Riferimenti:

1- http://www.ncbi.nlm.nih.gov/pubmed/17145649
2- http://www.ncbi.nlm.nih.gov/pubmed/12544381
3- http://www.ncbi.nlm.nih.gov/pubmed/17145649

TE’ VERDE E INIBIZIONE DEL CORTISOLO

Il tè verde è senza dubbio una bevanda dalle innumerevoli proprietà benefiche. Seconda bevanda più consumata al mondo, dopo l’acqua, il tè verde ( o per meglio dire le sostanze contenute in esso) ha dimostrato attraverso innumerevoli studi scientifici le sue capacità antiossidanti, diuretiche e dimagranti. Ma le proprietà del tè verde non finisco qui. I farmacologi della University Medical School Schleswig-Holstein (Germania) hanno scoperto attraverso uno studio in vitro che il tè verde è un efficace inibitore del Cortisolo.(1)

11-Beta-HSD-1

L’enzima 11-beta-HSD-1 converte l’ormone inattivo Cortisone nell’attivo Cortisolo. Un altro enzima, l’11-beta-HSD-2, converte il Cortisolo in Cortisone.

cortisolcortisone11betahsd


Se si riduce l’azione del’11-beta-HSD-1 negli animali da laboratorio, essi subiscono una perdita di grasso addominale. Le loro cellule diventano più sensibili all’insulina, il loro livello di colesterolo migliora e la loro pressione sanguigna scende. Gli 11-beta-HSD-1 bloccanti potrebbero essere interessanti, per esempio, per il trattamento del diabete di tipo 2.

Tè verde, bianco e nero

Nella medicina tradizionale cinese, il tè è usato nel trattamento del diabete di tipo 2. Ma il tè è così potente da essere un 11-beta-HSD-1 inibitore?
Per cercare di rispondere a questa domanda i ricercatori tedeschi hanno esposto le cellule del fegato ad estratti di tè verde, bianco e nero, aggiungendo il Cortisone per poi misurare quanto Cortisolo era stato prodotto. Tutti e tre i tipi di tè hanno inibito notevolmente la formazione di Cortisolo, ma il tè verde ha dimostrato una superiorità in questo.

teacortisolinhibitor


Ricordiamoci però che il tè verde contiene molte, molte sostanze. I ricercatori hanno esposto le cellule del fegato alle sostanze più importanti presenti nel tè verde per poi misurare quanto bene queste hanno inibito la conversione del Cortisone in Cortisolo.

Due sostanze, (-) – epigallocatechina gallato [EGCG] e (-) – gallocatechina [GC], si sono rivelate essere inibitori del Cortisolo.

teacortisolinhibitor2greeteaphenolics

I ricercatori hanno utilizzato modelli spaziali di 11-beta-HSD-1 per capire come l’EGCG disattivi l’enzima. Hanno così scoperto che l’EGCG subentra in loco dell’enzima destinato al Cortisone. Come risultato la conversione del Cortisone in Cortisolo non può avere luogo.

“I nostri risultati decifrano il meccanismo con cui le catechine, come l’EGCG, o il tè verde in generale, sono stati consumati con successo per migliaia di anni con benefici per la salute in generale”, hanno scritto i ricercatori. “Questi composti polifenolici possono servire come strutture modello per lo sviluppo di nuovi agenti per il trattamento della sindrome metabolica e malattie correlate.”

Un motivo in più per inserire il tè verde (o un integratore di EGCG) tra le bevande (o supplementi) di uso quotidiano.

 

Gabriel Bellizzi

 

Riferimenti:

1- http://www.ncbi.nlm.nih.gov/pubmed/24404164/

La combinazione di L-lisina e L-arginina riduce lo stress e abbassa i livelli di Cortisolo

 

llisina

La supplementazione con 2.34gm di L-lisina e la stessa quantità di L-arginina al giorno riduce lo stress psicologico e abbassa la quantità di Cortisolo negli uomini. I ricercatori della Ajinomoto hanno annunciato questa notizia nel Biomedical Research.

Miro Smriga, il primo autore di questo studio che è stato pubblicato sul Biomedical Research nel 2008, ha studiato per anni l’effetto della combinazione Lisina-Arginina su ansia e stress. Ha osservato l’effetto nei topi (1) sottoposti ad una situazione stressante in laboratorio, nei suini trasportati (2) e negli esseri umani con una personale sensibilità allo stress (3).

Almeno parte della spiegazione dell’effetto di riduzione dello stress della combinazione lisina-arginina è probabilmente legato all’interazione della Lisina con il recettore per il GABA.(4) Sonniferi e alcol agiscono attraverso gli stessi recettori.

Nello studio (5) pubblicato sul Biomedical Research , è stato somministrato ad un gruppo di circa un centinaio di soggetti di prova sani 2.34gm L-lisina e 2.34gm di L-arginina al giorno per sette giorni. I soggetti hanno assunto gli amminoacidi due volte al giorno, a colazione e nel pasto serale.


Dopo il periodo di supplementazione i soggetti dello studio sono stati sottoposti alla compilazione di un questionario, lo State-Trait Anxiety Inventory. Questo questionario viene utilizzato dagli psicologi per misurare la sensibilità e il livello di stress nella vita quotidiana. Nella figura qui sotto si può osservare che questa sensibilità si è ridotta nei soggetti che avevano preso la combinazione Lisina-Arginina.

13307222_516213221898256_5269447818790834238_n

Come ben sappiamo, il Cortisolo è l’ormone principale associato allo stress. I ricercatori hanno misurato la concentrazione di Cortisolo nella saliva dei soggetti osservando di conseguenza che questo ormone non era diminuito in modo significativo nelle donne che avevano assunto l’integrazione di Lisina e Arginina. Negli uomini tuttavia questo è avvenuto, come mostrato nella figura qui sopra.
Gli aminoacidi hanno ridotto le concentrazioni di Cortisolo degli uomini del 18%. I ricercatori hanno eseguito le loro misurazioni tra le 9 e le 10 del mattino.

I ricercatori giapponesi hanno anche osservato l’effetto di un evento stressante – in questo caso l’esposizione al rumore – sui soggetti dello studio. Come già accennato, i ricercatori hanno notato che la supplementazione Lisina/Arginina non ha avuto effetto sulle concentrazione di Cortisolo nelle donne, mentre negli uomini questa combinazione ha accelerato il ritorno delle concentrazioni di Cortisolo a livelli normali.

 

Gabriel Bellizzi

Riferimenti:

1- http://www.ncbi.nlm.nih.gov/pubmed/12722988
2- http://www.ncbi.nlm.nih.gov/pubmed/14609314
3- http://www.ncbi.nlm.nih.gov/pubmed/16117182
4- http://www.ncbi.nlm.nih.gov/pubmed/8587651
5- http://www.ncbi.nlm.nih.gov/pubmed/17510493

DATI SCIENTIFICI SULLA FOSFATIDILSERINA (PS)

 

La Fosfatidilserina (PS) è generalmente considerata un buon integratore per i Bodybuilder, in quanto – abbassando i livelli di cortisolo – permette una maggiore ipertrofia muscolare e un miglior recupero.  Di questo integratore ne parlai già in passato basandomi sui risultati ottenuti sul campo applicando ciò che la letteratura disponibile riporta. (1)

Ma esistono studi scientifici che mostrano una reale efficacia della PS nell’abbassare il Cortisolo ematico in seguito ad esercizio fisico? La risposta è si!
In un interessante studio (2) si è voluta esaminare l’influenza della supplementazione di Fosfatidilserina a breve termine e ad una dose moderata (600 mg al giorno) sulle concentrazioni plasmatiche di Cortisolo, Lattato, Ormone della Crescita e Testosterone, prima, durante e dopo l’attività fisica di intensità moderata in maschi sani.
Dieci soggetti maschi sani hanno partecipato allo studio. Ad ogni soggetto è stato somministrato o 600mg/die di PS o un placebo per 10 giorni utilizzando il metodo a doppio-cieco, controllo- placebo, crossover desing. Campioni di sangue venoso sono stati prelevati a riposo, dopo 15 minuti da un protocollo di esercizio fisico moderato su un cicloergometro che consisteva in cinque fasi incrementali di 3 minuti a partire dal 65% per terminare al 85% del VO2 max, e nel corso di un recupero passivo di 65 minuti. I campioni di plasma sono stati valutati per il Cortisolo, Ormone della Crescita, Testosterone, Lattato e Testosterone/Cortisolo ratio per trattamento (PS o placebo). Le concentrazioni di picco e dell’area sotto la curva (AUC) del Cortisolo sono state inferiori a seguito della somministrazione di PS (39 +/- 1% e il 35 +/- 0%, rispettivamente) rispetto al placebo (p <0.05). La PS ha aumentato l’AUC del Testosterone/Cortisolo ratio (184 +/- 5%) rispetto al placebo (p <0.05). Ne la somministrazione di PS ne il placebo hanno mostrato effetto sui livelli di Ormone della Crescita o di Lattato.
I risultati suggeriscono che la PS è un integratore efficace per combattere lo stress indotto da esercizio fisico e prevenire il deterioramento fisiologico che può accompagnare un eccesso di esercizio fisico. La supplementazione di PS promuove uno stato ormonale desiderato per gli atleti abbassando i livelli di Cortisolo aumentati.
Altre ricerche (3) hanno mostrato come un integrazione di PS a 800mg/die riduce la risposta del Cortisolo in seguito al sovrallenamento da allenamento con i pesi, migliorando la sensazione di benessere e diminuendo la percezione dell’indolenzimento muscolare. Tuttavia, alcuni risultati dubbi potrebbero suggerire che la dose necessaria per ottenere questo effetto neuroendocrino possono variare tra soggetto e soggetto. Recenti scoperte dimostrano che la supplementazione di PS a breve termine a 750mg/die migliora le capacità prestative durante esercizio fisico ad alta intensità. Ciò dimostra il potenziale effetto della supplementazione di PS negli esseri umani durante e dopo l’attività fisica. (4)
Questi sono solo alcuni dei dati scientifici che mostrano una reale efficacia e utilità della Fosfatidilserina in ambito sportivo. Come sempre, i dati scientifici ci vengono in aiutano quando bisogna separare le “dicerie commerciali” dalla reale efficacia di un supplemento.

PSCT

Nell’immagine: Cortisolo, Testosterone, Lattato e Ormone della Crescita in risposta a 10 giorni di trattamento orale con 600 mg di PS o placebo (fase di pre-esercizio da -30 a 0 minuti; fase di esercizio: 0 a 15 minuti; fase di recupero da 16 a 80 minuti ).

Gabriel Bellizzi

Riferimenti:

1- https://biogentech.wordpress.com/2016/08/19/fosfatidilserina-ps/  2-http://www.ncbi.nlm.nih.gov/pubmed/18662395
3- http://www.ncbi.nlm.nih.gov/pubmed/16869708
4- http://www.ncbi.nlm.nih.gov/pubmed/16394955