Lab Test Results:Balkan Pharmaceutical Strombafort

 

img_0026

Nota: Questa serie di post è volta a riportare il risultato dei test svolti su diversi prodotti venduti da UGL riportati dal sito https://anaboliclab.com/. Questa iniziativa è solo a scopo informativo e non rappresenta un invito all’acquisto di farmaci dopanti attraverso il mercato nero.

Balkan Pharmaceuticals Strombafort è venduto in una scatola contenente 3 blister da 20 compresse per un totale di 60 compresse per confezione. In etichetta è riferito che ogni  compressa contiene 10 milligrammi di stanozololo. Campioni di questo prodotto sono stati acquistati da un distributore autorizzato basato su Internet tra le date del 1 febbraio 2016 e il 30 Marzo 2016.

Il campione è stato inviato e ricevuto dal laboratorio di analisi SIMEC AG il 1 ° aprile 2016. SIMEC ha eseguito il test di dosaggio quantitativo HPLC-UV. La relazione è stata completata il 6 Maggio, 2016.

Il prodotto è stato ricevuto con la confezione originale, blister e compresse. Ogni compressa era quadrata e presentava incise le lettere “B” e “P” su un lato con il numero “10” sull’altro lato.

Affermazione di Etichetta: Balkan Pharmaceuticals Strombafort vanta un contenuto per compressa pari a 10 mg di stanozolol.

Contenuto effettivo: Balkan Pharmaceuticals Strombafort presenta un contenuto reale di 10,3mg/ compressa di stanozolol.

 

img_0027

Combinazione di glucosil esperidina e caffeina come lipolitico

 

4ghesperidin
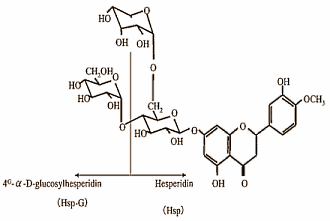
Glucosil esperidina

 

Ricercatori giapponesi della House Wellness Foods Corporation hanno sperimentato per diversi anni con miscele di caffeina e glucosil esperidina, per trovare il modo di accelerare la perdita di grasso senza effetti collaterali. Inizialmente i ricercatori pubblicarono solo studi su animali, ma di recente hanno pubblicato il primo studio umano sul effetto dimagrante della combinazione di caffeina e glucosil esperidina. (1)

La Glucosil esperidina – o G-esperidina – è un composto semi-sintetico. I chimici estraggono la molecola di esperidina dalla buccia degli agrumi, e poi la legano al carboidrato destrina.

La glucosil esperidina è migliaia di volte più solubile della esperidina, e quindi ha più probabilità di essere facilmente assorbita. E questo è ciò che rende la glucosil esperidina una sostanza interessante per i produttori di integratori.

Gli studi sugli animali hanno dimostrato che la glucosil esperidina rafforza l’effetto dimagrante della caffeina. L’Esperidina, l’analogo naturale del glucosl esperidina, rafforza l’effetto dimagrante della Sinefrina. (2) Una ricerca coreana ha dimostrato che l’esperedina, il flavonoide base dell’esperidina, può anche avere un effetto sul potenziamento muscolare. (3)

Tornando allo studio principale, i ricercatori giapponesi hanno diviso 75 soggetti sovrappeso, con una BMI di 24-30, in cinque gruppi. Per un periodo di dodici settimane un gruppo ha assunto un placebo e altri quattro gruppi hanno assunto integratori contenenti 500mg di glucosil esperidina al giorno.

Uno dei gruppi supplementati hanno ricevuto solo glucosil esperidina. I soggetti negli altri tre gruppi supplementati hanno assunto in aggiunta alla glucosil esperidina anche 25, 50 o 75 mg di caffeina.
glucosylhesperedincaffeine
Al termine delle 12 settimane, i soggetti che avevano assunto 500mg di glucosil esperidina e 75mg caffeina giornaliera avevano perso grasso con enfasi sul grasso sottocutaneo. 


glucosylhesperedincaffeine2
I soggetti che avevano assunto 500mg di glucosil esperidina e 75mg di caffeina hanno perso un totale di 1,43 kg di peso. Quattro settimane dopo il peso era rimasto basso.

glucosylhesperedincaffeine3

I soggetti non hanno cambiato la loro dieta. Essi, inoltre, non hanno svolto allenamenti più frequenti di quanto già facessero. Non sono stati osservati effetti collaterali.

I ricercatori hanno inoltre scritto che i risultati hanno dimostrato che l’assunzione di una combinazione di 500mg di G-esperidina e 75mg di caffeina per 12 settimane ha significativamente ridotto il grasso addominale (specialmente grasso sottocutaneo), e il peso corporeo in soggetti con BMI moderatamente alta. Quindi, una combinazione di G-esperidina e caffeina può essere utile per la prevenzione o il trattamento dell’obesità.

Gabriel Bellizzi

Riferimenti:

1- http://dx.doi.org/10.1186/s12937-016-0123-7
2- http://www.ncbi.nlm.nih.gov/pmc/articles/PMC3085176/?report=abstract
3- http://www.ncbi.nlm.nih.gov/pubmed/21265826

TRIMETILGLICINA (BETAINA), GH E IGF-1

betaine
Trimetilglicina (TMG)

 

Una dozzina di studi hanno dimostrato che la Trimetilglicina (TMG) – nota anche come Betaina – stimola la crescita muscolare. Ricercatori italiani hanno eseguito esperimenti in vitro con cellule muscolari e potrebbero aver scoperto il meccanismo d’azione attraverso il quale la Trimetilglicina apporta questo effetto. I ricercatori credono che la Trimetilglicina induca una proliferazione dei siti recettori cellulari dell’IGF-1 nel muscolo.

Lo studio (1) che Pamela Senesi e il suo supervisore Ileana Terruzzi hanno pubblicato nel Journal of Translational Medicine è uno studio che fortunatamente non è stato finanziato dall’industria saccarifera o da qualche ditta di integratori alimentari (la Trimetilglicina è un prodotto di scarto della lavorazione della barbabietola da zucchero). E anche se la Senesi ha osservato le cellule C2C12-muscolari in provetta, e non in animali da laboratorio o esseri umani, il suo studio fa sembrare più probabile che atleti di forza possano infatti beneficiare della Trimetilglicina.

I ricercatori italiani hanno messo cellule muscolari non ancora pienamente sviluppate [mioblasti] in un fluido e hanno osservato come si sono sviluppate le fibre muscolari [miotubi]. Hanno visto che le fibre muscolari hanno sviluppato più proteine contrattili [catena pesante della miosina; MyHC] ad una concentrazione di 10 millimoli di Trimetilglicina, e hanno anche raggiunto una lunghezza maggiore.

betaineigf1muscle2

Quando i ricercatori hanno osservato più da vicino ciò che realmente aveva fatto la Trimetilglicina nel corso di un periodo di quattro giorni – il tempo necessario affinché i mioblasti si sviluppino in fibre muscolari mature – ad una concentrazione di 10 millimoli nelle cellule muscolari, hanno notato che il composto ha causato un aumentare nella proliferazione di recettori dell’IGF-1 [IGF-1 R].

betaineigf1muscle
Lo studio non rivela però come la Trimetilglicina aumenta la proliferazione dei recettori dell’IGF-1. I ricercatori non dicono neanche se una concentrazione di 10 millimoli è fattibile nel tessuto muscolare umano, e quanta Trimetilglicina si dovrebbe assumere per raggiungere questo obiettivo.

“Il nostro lavoro in vitro fornisce la prima evidenza di possibile azione positiva della betaina sulla differenziazione dei mioblasti muscolo scheletrici, in particolare sulla progressione del processo di differenziazione e morfologia dei miotubi”, hanno concluso i ricercatori. “Questo effetto è almeno parzialmente mediato dall’attivazione del segnale dell’IGF-1. I risultati in vitro sono coerenti con i dati ottenuti in vivo nel bestiame (2) (3) e negli esseri umani e può contribuire come banco di prova per un uso della Betaina come integratore alimentare negli esseri umani “.

In un altro studio (4) ricercatori hanno analizzato, come soggetti, studenti di età media 19 anni che si allenavano con i pesi in media da circa 4 anni.
Per due settimane agli studenti sono state somministrate due dosi di 1,25 g di betaina al giorno. Dopo il periodo di integrazione, i ricercatori hanno sottoposto gli studenti a un allenamento di gambe. Subito prima [Pre] e 15 minuti dopo [Post] l’allenamento, i ricercatori hanno analizzato il sangue dei soggetti. Subito prima dell’allenamento e 10 minuti dopo, hanno anche prelevato un campione di cellule muscolari dal muscolo della gamba dei soggetti.

Quindi i ricercatori hanno ripetuto la procedura, ma somministrando ai soggetti un placebo.
I ricercatori hanno scoperto che un quarto d’ora dopo l’allenamento, la concentrazione di cortisolo nel sangue del soggetto era un po’ più bassa dopo l’assunzione di betaina rispetto a quanto avveniva dopo l’assunzione del placebo.
L’integrazione di betaina si è tradotta in una concentrazione notevolmente più alta di ormone della crescita e di IGF-1 dopo l’allenamento.

Gli effetti ormonali della betaina suggeriscono che i processi anabolizzanti sono attivi – ed è esattamente quello che i ricercatori hanno visto quando hanno guardato all’attività delle proteine segnale nei campioni di cellule muscolari. Dopo l’allenamento i ricercatori hanno osservato una accresciuta attività delle molecole segnale anabolizzanti Akt e p70-S6k.

“Le nostre scoperte suggeriscono che l’integrazione di betaina migliora il controllo endocrino dei percorsi anabolici contro quelli catabolici migliorando i segnali anabolici e la sintesi proteica nel contesto della risposta a prove di resistenza acute o di esercizio aerobico eseguito alla massima intensità” hanno concluso i ricercatori. “Studi futuri si interrogheranno se gli effetti di un’integrazione di betaina sui componenti segnale anaboilci e catabolici siano significativi su diversi tipi di esercizi e su soggetti di diverso tipo e quali meccanismi dell’azione della betaina possano fornire benefici ergogenici”
A mio avviso, visti gli “imput” dati dai sopra citati studi, anche la Betaina può avere un potenziale sfruttabile in una preparazione ben strutturata.

Gabriel Bellizzi

Riferimenti:

1- http://www.ncbi.nlm.nih.gov/pubmed/23870626
2- http://www.ncbi.nlm.nih.gov/pubmed/19079893
3- http://www.ncbi.nlm.nih.gov/pubmed/22307525
4- http://www.ncbi.nlm.nih.gov/pubmed/22976217