DATI SCIENTIFICI SULLA FOSFATIDILSERINA (PS)

 

La Fosfatidilserina (PS) è generalmente considerata un buon integratore per i Bodybuilder, in quanto – abbassando i livelli di cortisolo – permette una maggiore ipertrofia muscolare e un miglior recupero.  Di questo integratore ne parlai già in passato basandomi sui risultati ottenuti sul campo applicando ciò che la letteratura disponibile riporta. (1)

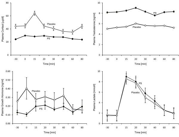
Ma esistono studi scientifici che mostrano una reale efficacia della PS nell’abbassare il Cortisolo ematico in seguito ad esercizio fisico? La risposta è si!
In un interessante studio (2) si è voluta esaminare l’influenza della supplementazione di Fosfatidilserina a breve termine e ad una dose moderata (600 mg al giorno) sulle concentrazioni plasmatiche di Cortisolo, Lattato, Ormone della Crescita e Testosterone, prima, durante e dopo l’attività fisica di intensità moderata in maschi sani.
Dieci soggetti maschi sani hanno partecipato allo studio. Ad ogni soggetto è stato somministrato o 600mg/die di PS o un placebo per 10 giorni utilizzando il metodo a doppio-cieco, controllo- placebo, crossover desing. Campioni di sangue venoso sono stati prelevati a riposo, dopo 15 minuti da un protocollo di esercizio fisico moderato su un cicloergometro che consisteva in cinque fasi incrementali di 3 minuti a partire dal 65% per terminare al 85% del VO2 max, e nel corso di un recupero passivo di 65 minuti. I campioni di plasma sono stati valutati per il Cortisolo, Ormone della Crescita, Testosterone, Lattato e Testosterone/Cortisolo ratio per trattamento (PS o placebo). Le concentrazioni di picco e dell’area sotto la curva (AUC) del Cortisolo sono state inferiori a seguito della somministrazione di PS (39 +/- 1% e il 35 +/- 0%, rispettivamente) rispetto al placebo (p <0.05). La PS ha aumentato l’AUC del Testosterone/Cortisolo ratio (184 +/- 5%) rispetto al placebo (p <0.05). Ne la somministrazione di PS ne il placebo hanno mostrato effetto sui livelli di Ormone della Crescita o di Lattato.
I risultati suggeriscono che la PS è un integratore efficace per combattere lo stress indotto da esercizio fisico e prevenire il deterioramento fisiologico che può accompagnare un eccesso di esercizio fisico. La supplementazione di PS promuove uno stato ormonale desiderato per gli atleti abbassando i livelli di Cortisolo aumentati.
Altre ricerche (3) hanno mostrato come un integrazione di PS a 800mg/die riduce la risposta del Cortisolo in seguito al sovrallenamento da allenamento con i pesi, migliorando la sensazione di benessere e diminuendo la percezione dell’indolenzimento muscolare. Tuttavia, alcuni risultati dubbi potrebbero suggerire che la dose necessaria per ottenere questo effetto neuroendocrino possono variare tra soggetto e soggetto. Recenti scoperte dimostrano che la supplementazione di PS a breve termine a 750mg/die migliora le capacità prestative durante esercizio fisico ad alta intensità. Ciò dimostra il potenziale effetto della supplementazione di PS negli esseri umani durante e dopo l’attività fisica. (4)
Questi sono solo alcuni dei dati scientifici che mostrano una reale efficacia e utilità della Fosfatidilserina in ambito sportivo. Come sempre, i dati scientifici ci vengono in aiutano quando bisogna separare le “dicerie commerciali” dalla reale efficacia di un supplemento.

PSCT

Nell’immagine: Cortisolo, Testosterone, Lattato e Ormone della Crescita in risposta a 10 giorni di trattamento orale con 600 mg di PS o placebo (fase di pre-esercizio da -30 a 0 minuti; fase di esercizio: 0 a 15 minuti; fase di recupero da 16 a 80 minuti ).

Gabriel Bellizzi

Riferimenti:

1- https://biogentech.wordpress.com/2016/08/19/fosfatidilserina-ps/  2-http://www.ncbi.nlm.nih.gov/pubmed/18662395
3- http://www.ncbi.nlm.nih.gov/pubmed/16869708
4- http://www.ncbi.nlm.nih.gov/pubmed/16394955

 

Fosfatidilserina (PS)

fosfatidilserina

La Fosfatidilserina (o PS) è un buon integratore per i Bodybuilder, in quanto abbassando i livelli di cortisolo (ormone catabolico) e permettendo una maggiore ipertrofia muscolare o una conservazione della massa magra in particolari momenti come dopo un ciclo di AAS/PH/DS o durante una dieta con una considerevole restrizione calorica quando i livelli di Cortisolo sono particolarmente elevati.

Prima di continuarne la descrizione, ritengo doveroso chiarire un concetto per me basilare: è vero che il Cortisolo favorisce il catabolismo e l’aumento della massa grassa, ma solo quando è in eccesso, mentre se prodotto in quantità normali è indispensabile per la nostra vita. Esso sovraintende la reazione “attacco – fuga”, è un antinfiammatorio, mantiene stabili sia i livelli energetici sia i livelli della pressione ematica. Quindi è sbagliato criminalizzarlo eccessivamente o addirittura abbassarne drasticamente la sua produzione quando non è necessario.

La fosfatidilserina appartiene alla classe dei fosfolipidi costituenti delle membrane cellulari che sono composti da 2 acidi grassi legati ad una molecola di glicerolo con un gruppo di fosfato. Sono strutturati in modo da formare una testa ed una coda. La prima è costituita da fosfato ed è idrofilica, cioè necessita di acqua, la seconda, invece, è costituita da acidi grassi ed è idrofoba, cioè non necessita di acqua.

Oltre alla fosfatidilserina, scarsamente presente nei tessuti animali, i fosfolipidi comprendono:

  • Acido Fosfatidico
  • Fosfatidilcolina (il fosfolipide più diffuso nel regno animale)
  • Fosfatidiletanolamina
  • Fosfatidiglicerofosfati (il fosfolipide più diffuso nel regno vegetale)
  • Difosfatidilgliceroli
  • Fosfatidilinositolo

fosfolipidi-1024x697

Prima che venisse scoperta la sua capacità di attenuare i livelli di Cortisolo, la Fosfatidilserina era già famosa per avere buoni effetti sulle facoltà mnemoniche e cognitive.

Non a caso, la Fosfatidilserina, è molto più abbondante nel cervello che in qualunque altra parte del corpo, specialmente nelle membrane cellulari dei neuroni (la cellule del cervello). A questo livello la Fosfatidilserina mantiene l’ottimale permeabilità cellulare necessaria per l’entrata delle sostanze nutritive e alla relativa espulsione dei materiali di rifiuto.

Permette una più efficace comunicazione tra i neuroni facilitando la conduzione degli impulsi nervosi. Questo potrebbe tradursi in un sistema neuro-muscolare più efficace.

Sono diversi gli studi che confermano la capacità della Fosfatidilserina sul ripristino delle capacità mnemoniche dovuti all’invecchiamento, ma è anche capace di aumentare comunque le capacità mentali anche nei soggetti normali.

Altri studi hanno dimostrato che la Fosfatidilserina induce uno stato di rilassamento, di calma. Senza contare che questo integratore riesce a migliorare i sintomi della depressione.

cortisolo-300x227

Ma, come detto, questa sostanza è venuta alla ribalta nel mondo del Bodybuilding grazie alla sua capacità di contrastare il Cortisolo.

Studi hanno provato che la Fosfatidilserina:

  • RIDUCE LA SENSAZIONE DI FATICA
  • MANTIENE ELEVATI I LIVELLI DI TESTOSTERONE DURANTE L’ALLENAMENTO (rilevante se si è Natural)
  • RIDUCE IL CORTISOLO NEL SANGUE DEL 20%-30%

Quasi tutti gli atleti che hanno assunto la Fosfatidilserina hanno avvertito aumenti di forza e massa, oltre alla sensazione di finire l’allenamento senza troppa fatica.

L’unico dubbio riguardo all’uso della Fosfatidilserina, nasce dal fatto che il controllo del cortisolo è positivo per l’allenamento, in fase di dieta con ristretto apporto calorico e in PCT, ma essendo anche una potente sostanza antiinfiammatoria, il suo artificiale abbassamento, potrebbe aumentare la probabilità di patologie muscolo – scheletriche.

E’ vero, questa possibilità può essere concreta anche se remota con l’uso della sola Fosfatidilserina, ma l’uso della Fosfatidilserina solo per le fasi sopra citate , permette al cortisolo nelle altre fasi di non assunzione, di svolgere le sue regolari e fondamentali funzioni.

Come integratore la Fosfatidilserina è sia estratta dal cervello di alcuni animali, sia sintetizzata a partire dalla lecitina di Soya. E’ preferibile assumere quella derivante dalla Soya, perché quella animale può essere dannosa.

DOSI

  • Una dose tra i 100-300 mg al giorno sembra essere ideale per migliorare le capacità mentali.
  • Si consiglia un dosaggio di 100 – 200 mg al giorno, nei periodi di allenamento a bassa intensità in soggetti con produzione cortisonica elevata.
  • Si consiglia un dosaggio di 300-500mg al giorno nei periodi di restrizione calorica.
  • Nei periodi dove i livelli di Cortisolo sono anormalmente elevati , come allenamenti intensi o in PCT , è consigliabile una dose di 500 – 800 mg al giorno, a colazione e prima di una sessione di allenamento o la sera se non ci si allena.

MOMENTO DI ASSUNZIONE

E’ consigliabile assumere la Fosfatidilserina durante i pasti, divisa in due dosi:

  • Nei periodi in cui gli allenamenti sono meno intensi assumere 100 – 200 mg; metà della dose a colazione e metà dopo un allenamento(o anche prima se si è Natural).
  • Nei periodi in cui i livelli di Cortisolo sono più elevati la dose va divisa nel medesimo modo ma a dosaggi nel rang dei 500 – 800 mg.

Gabriel Bellizzi

LEUCINA, RECUPERO E CRESCITA MUSCOLARE

L-l

Della Leucina ne ò già parlato in passato. Come tutti gli sportivi seri sapranno, fra gli aminoacidi essenziali, la Leucina sembra essere il più importante. Del “perché” di questa ultima affermazione lo si può comprendere leggendo i tre studi scientifici che riporto di seguito.

Nel primo studio gli scienziati hanno esaminato se la somministrazione post-allenamento di Leucina, proteine e cibi ricchi di carboidrati aumentasse il recupero (misurato con sessioni successive alla cyclette) più di quanto accadesse con un pasto di controllo. Gli scienziati hanno scoperto che, dopo l’allenamento intenso, assumere per più giorni consecutivi un integratore di Leucina e proteine, aggiunto a un cibo ricco di carboidrati ha migliorato la durata in ciclisti allenati di sesso maschile (1) e potrebbe anche ridurre il danno muscolare.

Un altro studio ha osservato l’effetto della Leucina sul danno muscolare dopo l’allenamento con opposizione di resistenza eccentrico (cioè con ripetizioni negative). Ventisette uomini non allenati sono stati divisi casualmente in 3 gruppi: Leucina, placebo e gruppo di controllo. I primi 2 gruppi hanno eseguito 100 salti in profondità da 60 cm di altezza e 6 serie di 10 ripetizioni solo negative al leg press. I soggetti hanno assunto la Leucina o il placebo 30 minuti prima, durante e immediatamente dopo l’allenamento, oltre che la mattina di ogni giorno di recupero, dopo la sessione. I ricercatori hanno scoperto che una dose elevata di Leucina può aiutare a proteggere la forza dopo il danno muscolare indotto dall’allenamento (2).

Nel terzo studio gli scienziati hanno esaminato se dosi giornaliere orali di L-leucina influenzano la forza, la massa magra (ossa escluse) e la massa grassa durante 12 settimane di allenamento con opposizione di resistenza. Ventisei uomini inizialmente non allenati hanno assunto 4 g al giorno di L-leucina o la stessa quantità di lattosio. Due volte alla settimana, tutti i soggetti hanno seguito un programma di allenamento con i pesi monitorato usando 8 macchine standard. I controlli sono stati svolti all’inizio e alla fine del periodo di integrazione. Gli scienziati hanno misurato la forza in ogni esercizio calcolando il massimale per 5 ripetizioni e hanno esaminato la composizione corporea con l’assorbimetria a raggi X a doppia energia. Il gruppo Leucina ha ottenuto aumenti molto maggiori sia della forza totale, che della forza in 5 degli 8 esercizi. I guadagni di forza totale ottenuti dal gruppo Leucina e da quello placebo sono stati, rispettivamente, del 40,8% e del 31,0% (3).

Gabriel Bellizzi

Fonti Bibliografiche

1 Thomson, J.S., et al. (2011). Leucine-protein supplemented recovery feeding enhances subsequent cycling performance in well-trained men. Appl Physiol Nutr Metab. 36(2):242-253.
2 Kirby, T.J., et al. (2011). Effect of leucine supplementation on indices of muscle damage following drop jumps and resistance exercise. Amino Acids. In press.
3 Ispoglou, T., et al. (2011). Daily L-leucine supplementation in novice trainees during a 12-week weight-training program. Int J Sports Physiol Perform. 6(1):38-50.

Gli studi riportati sono stati estrapolati da un articolo tratto da OLYMPIAN’S NEWS n° 126, pag 34 pubblicato in Italia da Sandro Ciccarelli Editore.

CONSIDERAZIONI SU ASSUNZIONE DI YOHIMBINA E ECA

Yoc

Della Yohimbina e dell’Efedrina ho già parlato nel dettaglio in due articoli (http://bbhit.altervista.org/yohimbina/ http://bbhit.altervista.org/efedrina/). Ciò che vorrei chiarire in questo breve articolo sono le considerazioni da prendere quando si decide di assumere uno stack composto da ECA e Yohimbina.

Il primo effetto da tenere bene in considerazione è lo stimolo al Sistema Nervoso Centrale. Per la maggior parte delle persone, gli effetti sul Sistema Nervoso Centrale (SNC) dovuti all’assunzione di ECA tendono a sparire abbastanza velocemente, entro 1-2 settimane. L’efficacia dell’ECA si mantiene regolare fino a 12 settimane di uso continuo per poi decrescere, fino a circa un anno. Ciò è ovviamente legato alla sottoregolazione dei beta-recettori la quale fa perdere effetto termogenico al ECA.
Una pratica “aggiuntiva” con l’uso di ECA è l’assunzione concomitante di L-tirosina. E’ interessante notare che nei ratti, l’integrazione di L-tirosina ha dimostrato di aumentare l’effetto anoressizzante (soppressione dell’appetito). Gli atleti i quali hanno aggiunto la L-tirosina al ECA (anche quelli che usavano lo stak continuativamente da diverso tempo) hanno notato una spinta aggiuntiva. Con ogni probabilità, la L-tirosina agisce come un precursore della Adrenalina / Noradrenalina garantendo quantità supplementari di queste sostanze.

Con la Yohimbina bisogna tenere in considerazione due punti principali:

1. Dosi adeguate. Molti consigliano dosi troppo basse e insufficienti per garantirne l’efficacia. Negli studi, la quantità minima di Yohimbina orale assunta riportata è di 0,2 mg / kg. Così un atleta di 90 kg avrà bisogno di 18 mg di Yohimbina assunti una sola volta per ottenere l’effetto desiderata. Attenzione: alcune persone rispondono all’assunzione di Yohimbina con aumenti molto alti della pressione e della frequenza cardiaca. Per valutare la tolleranza individuale, è consigliabile iniziare con circa 1/3 della dose ottimale (quindi l’atleta di 90Kg dovrebbe iniziare con una dose di 6 mg) per poi raggiungerla nel giro di pochi giorni. Se la pressione o i battiti aumentano troppo, cessare l’utilizzo.
2. Va assunta senza cibo. Questo è fondamentale, perchè anche una piccola risposta insulinica bloccherà l’effetto della Yohimbina. Infatti, assumendo la Yohimbina con il cibo si verifica una maggiore risposta insulinica rispetto a quanto si verificherebbe con il solo cibo (la risposta ha a che fare con i recettori alfa del pancreas). Tenendo in considerazione questo punto, il momento migliore per assumere Yohimbina è la mattina appena svegli, ad esempio prima del cardio. Se non si fa un allenamento cardio la mattina, il momento migliore per assumere Yohimbina sarebbe 30 minuti prima dell’allenamento serale, ma è necessario attendere almeno 3-4 ore dopo aver mangiato in modo che i livelli di insulina siano scesi. Comunque, il momento migliore rimane il mattino.

Quando un atleta presenta nella sua preparazione uno stack composto da Yohimbina e ECA dovrebbe regolare l’assunzione dei due composti separandoli. Non vanno mai presi insieme. La combinazione di ECA + Yohimbina è potenzialmente pericolosa (più dei due composti assunti da soli) a causa dell’interazione sulla frequenza cardiaca e la pressione sanguigna. Così, una suddivisione giornaliera dei due composti potrebbe prevedere l’uso della Yohimbina prima del cardio mattutino, attendendo circa 4 ore prima di assumere la dose di ECA.

Ovviamente, queste sono alcune delucidazioni rivolte ad un caso specifico, e cioè l’assunzione di Yohimbina e ECA nella stessa fase della preparazione. Personalmente ho sempre considerato migliore l’assunzione alternata dei due composti, con una rotazione nell’assunzione di due settimane per composto. Questa pratica, in effetti, risulta molto più pratica e “sicura”.

Gabriel Bellizzi

AMINOACIDI ESSENZIALI (EAA) E STIMOLO DEL mTOR

mtor

L’mTOR è una protein-chinasi che ha abbondantemente dimostrato di aumentare il potenziale di crescita muscolare e anche di controllare lo stato di salute. Tra le sostanze che hanno dimostrato scientificamente di stimolare adeguatamente il Mammalian Target of Rapamycin ( mTOR) vi sono gi Aminoacidi Essenziali (EAA).

Come risaputo, gli Aminoacidi Essenziali sono quegli aminoacidi che l’organismo non è in grado di sintetizzare da sé in quantità sufficiente e che devono essere assunti con l’alimentazione.

Nell’alimentazione umana si considerano essenziali i seguenti aminoacidi:

• Fenilalanina
• Isoleucina
• Istidina
• Leucina
• Lisina
• Metionina
• Treonina
• Triptofano
• Valina

Attraverso uno studio di Walker et al.(1) è stato dimostrato che l’assunzione di Aminoacidi Essenziali negli esseri umani stimola l’attività dell’mTOR: se presi immediatamente dopo il termine del workout prolungano la sintesi proteica post-workout per due ore.
Il dosaggio deve aggirarsi attorno ai 10 grammi di EAA al giorno, per incrementare le scorte di aminoacidi nella cellula muscolare, perché questo dosaggio stimola le vie di segnalazione insuliniche che attivano a loro volta l’mTOR.

In un altro studio (2) sui topi è stato dimostrato che l’abbinamento carboidrati + Aminoacidi Essenziali (in particolare Leucina) stimola la sintesi proteica maggiormente rispetto alla somministrazione di soli Aminoacidi Essenziali.
I carboidrati sono la fonte energetica preferenziale dalla cellula muscolare, rispetto agli Aminoacidi (AA), in questo modo il consumo dei glucidi diminuisce l’utilizzo degli AA come fonte energetica e quindi il risultato finale è che si genera un grande aumento degli aminoacidi essenziali nella cellula, migliorando cosi la sintesi proteica.

In caso di consumo di carboidrati, l’enzima AMPK (5′ AMP Activated Protein Kinase) che è misuratore di energia della cellula, disattiverà la produzione di ATP (Adenosin-trifosfato).
In considerazione del fatto che l’AMPK inibisce l’mTOR, l’ inibizione dell’ATP stimolerà anche l’attività dell’mTOR, prolungando cosi la sintesi proteica nel dopo-pasto.

Gabriel Bellizzi

Riferimenti scientifici:

1. Med Sci Sports Exerc. 2011 Dec;43(12):2249-58. Exercise, amino acids, and aging in the control of human muscle protein synthesis. Walker DK et al.
2. Am J Physiol Endocrinol Metab. 2011 Dec;301(6):E1236-42. Leucine or carbohydrate supplementation reduces AMPK and eEF2 – phosphorylation and extends postprandial muscle protein synthesis in rats. Wilson et al.

Integrazione di Leucina e prestazioni sportive

leucina2

Uno studio recente si è soffermato sugli effetti di una dieta integrata con la Leucina sulle prestazioni dei canoisti. Tredici canoisti agonisti, dieci donne e tre uomini si sono sottoposti a degli esami prima e dopo aver preso per sei settimane degli integratori a base di L-leucina o di una sostanza placebo. Tra questi esami c’era l’antropometria, 10 secondi di lavoro con la parte superiore del corpo e un rematore fino all’incapacità al 70-75% della potenza aerobica massima. Sono stati rilevati lo sforzo percepito (RPE), la frequenza cardiaca (Heart Rate – HR), i BCAA nel plasma e i livelli di triptofano.
L’integrazione con la Leucina ha portato a degli aumenti significativi della Leucina contenuta nel plasma e delle concentrazioni totali di BCAA. La potenza della parte superiore del corpo è aumentata significativamente in entrambi i gruppi dopo l’assunzione di integratori ma la potenza era di gran lunga superiore dopo l’assunzione di leucina rispetto al placebo. Il tempo di remata è aumentato in maniera significativa e l’RPE medio si è ridotto in maniera altrettanto significativa con l’integrazione di leucina, mentre le variabili sono rimaste inalterate con il placebo. L’integrazione con la leucina non ha avuto alcun effetto sul rapporto triptofano:BCAA nel plasma, sulla frequenza cardiaca e sulle variabili antropometriche. Sei settimane di integrazione con la leucina hanno migliorato la resistenza e la potenza della parte superiore del corpo nei canoisti senza cambiare eccessivamente il rapporto triptofano:BCAA nel plasma.

In definitiva, la Leucina regola la sintesi delle proteine muscolari e migliora la potenza e la durata.

Gabriel Bellizzi


Studio di riferimento: Crowe, M.J., Weatherson, J.N., and Bowden, B.F. (2005). Effects of dietary leucine supplementation on exercise performance. Eur J Appl Physiol. Published online October 2005. 1-9.

Oxandrolone (Anavar)

Oxandrolone_Structure
Oxandrolone

Androgenico: 24

Anabolico:  322-630

Standard:  Methyltestosterone (orale)

Nome Chimico:  17b-hydroxy-17a-methyl-2-oxa-5a-androstane-3-one

Attività estrogenica:  nessuna

Attività Progestinica:  nessuna

Aromatizzazione: no

 

 

L’Oxandrolone ( 17β-idrossi-17α-metil-2-ossa-5α-androstan-3-one) è uno steroide di sintesi, derivato del Diidrotestosterone, con attività androgena pari a 24 ed anabolizzante pari a 630 rispetto al Testosterone (100/100). Differisce dal DHT per la metilazione in C-17 e per la sostituzione in C-2 di una molecola di ossigeno.

L’Oxandrolone è stato descritto per la prima nel 1962.(1) È stato sviluppato come farmaco diversi anni dopo dal gigante farmaceutico G.D. Searle & Co. (ora Pfizer), che l’ha commercializzato negli Stati Uniti e nei Paesi Bassi con il nome commerciale di Anavar. La Searle lo commercializzo (attraverso licenza) anche con nomi commerciali diversi, tra cui Lonavar (Argentina, Australia), Lipidex (Brasile), Antitriol (Spagna), Anatrophill (Francia), e Protivar. L’Oxandrolone è stato ideato per essere un anabolizzante orale estremamente mite, che potesse anche essere utilizzato in modo sicuro da donne e bambini. A questo proposito Searle ebbe successo, in quanto l’Anavar  mostrò  un alto grado di successo terapeutico e tollerabilità negli uomini, nelle donne e nei  bambini. Durante i suoi primi anni, Anavar venne proposto per un certo numero di applicazioni terapeutiche, tra cui la promozione della crescita della massa magra durante malattie cataboliche, la promozione della crescita della massa magra dopo operazioni chirurgiche, traumi, infezioni, o somministrazione  prolungata di corticosteroidi, o il supporto della  densità ossea in pazienti con osteoporosi.

Nel 1980, l’FDA affinò le applicazioni approvate per l’Anavar includendo la promozione dell’aumento del peso dopo intervento chirurgico, infezione cronica, traumi, o perdita di peso senza motivo fisiopatologico definito. Nonostante la sua esperienza continua sulla  sicurezza, Searle decise di interrompere volontariamente la vendita dell’Anavar il 1 ° luglio 1989. L’arresto delle vendite e la crescente preoccupazione dell’opinione pubblica circa l’uso degli  steroidi anabolizzanti da parte degli atleti sembravano essere alla base di questa decisione. Con il marchio Anavar fuori dal mercato, l’Oxandrolone era completamente scomparso dalle farmacie degli Stati Uniti. Poco dopo, i prodotti conteneti Oxandrolone nei mercati internazionali (spesso venduti da o su licenza della Searle) hanno cominciato a scomparire, così, come il leader mondiale nella produzione del farmaco ha proseguito il suo ritiro dal commercio degli steroidi anabolizzanti. Per diversi anni, durante i primi anni 90, sembrava che l’Anavar potesse uscire definitivamente dal mercato.

Questo accadeva circa sei anni prima che le compresse di Oxandrolone tornassero sul mercato statunitense. Il prodotto venne reintrodotto sugli scaffali delle farmacie nel dicembre 1995, questa volta con il nome di Oxandrin della Bio-Technology Corp. (BTG). La BTG avrebbe continuato a venderlo con l’autorizzazione della  FDA la quale lo aveva approvato per utilizzi che implicano la conservazione della massa magra, ma era stato anche concesso lo status di farmaco-orfano per il trattamento del deperimento derivante dall’AIDS, epatite alcolica, la sindrome di Turner nelle ragazze, e il ritardo costituzionale della  crescita e della pubertà nei ragazzi. lo status di farmaco-orfano conferì  alla BTG un monopolio di 7 anni sul farmaco per questi nuovi usi, permettendo ad essa di proporre un prezzo di vendita molto alto. Molti pazienti furono indignati di apprendere che il farmaco li sarebbe costato (al prezzo all’ingrosso) tra i 3.75 e i 30$ al giorno, che risultava molte volte più costosa rispetto all’Anavar solo pochi anni prima. Il rilascio di un  compresse da 10 mg da parte della  BTG diversi anni dopo fece ridurre il costo relativo del farmaco.

L’Oxandrin® continua ad essere venduto negli Stati Uniti, ma ora è sotto l’etichetta Savient (precedentemente noto come BTG). Esso è attualmente approvato dalla FDA per “terapia aggiuntiva per promuovere l’aumento di peso dopo perdita di peso in seguito ad grossi interventi chirurgici, infezioni croniche, o gravi traumi e, in alcuni pazienti che, senza precise ragioni fisiopatologiche non riescono a ottenere o mantenere un peso normale, per compensare il catabolismo proteico associato a somministrazione prolungata di corticosteroidi, e per il sollievo del dolore osseo spesso accompagnato dall’osteoporosi.” Versioni generiche del farmaco sono ora disponibili negli Stati Uniti, cosa che ha ridotto il prezzo della terapia con Oxandrolone. Al di fuori degli Stati Uniti, l’Oxandrolone rimane disponibile, anche se non ampiamente.

Come accennato in precedenza, l’Oxandrolone è una forma modificata del Diidrotestosterone. Differisce da questo per:

1) l’aggiunta di un gruppo metilico al carbonio in posizione 17-alfa per proteggere l’ormone durante il passaggio epatico in seguito a somministrazione orale;

2) la sostituzione con una molecola di ossigeno in C-2;  l’Oxandrolone è l’unico steroide con tale sostituzione alla sua struttura nell’anello di base. Grazie a questa modifica ne derivano alcuni vantaggi:

– Notevole aumento della resistenza all’ossidazione
– Immunità della molecola alla deidrogenasi (precisamente alla 3-alfa-idrossi-deidrogenasi), che è la responsabile della pressoché istantanea deattivazione del Diidrotestosterone a livello recettoriale muscolare
– Diminuzione pressoché totale dell’affinità con le SHBG.

Queste caratteristiche aumentano considerevolmente la potenza anabolizzante della molecola.

L’Oxandrolone possiede una proprietà comune a diversi AAS orali, cioè la proprietà di abbassare le SHBG circolanti. Ciò può portare a due effetti:

1- Aumento del livello degli AAS liberi in circolo, specie quelli con una forte affinità per le SHBG (Testosterone, Drostanolone, Metenolone, ecc): la diminuzione è pari al 40% con Oxandrolone, 60% con Stanozololo e 70% con Chlorodehydromethyltestosterone.
2- Aumento dei livelli degli Estrogeni liberi circolanti con un aumentato rischio di sviluppare effetti estrogenici avversi(2)

Il punto “2” deve essere comunque preso in considerazione, sia quando l’Oxandrolone (o altra molecola avente la medesima caratteristica) viene assunto per un periodo superiore alle 4 settimane con molecole non aromatizzabili sia, a maggior ragione, quando assunto con molecole aromatizzabili.

L’Oxandrolone possiede un’altra caratteristica la quale comporta un impatto complessivo considerevole, la riduzione dell’attività del Cortisolo. Essa è dovuta all’agonismo inverso esercitato a livello dei recettori glucocorticoidei . Questo comporta, in seguito alla somministrazione di Oxandrolone, un aumento dei livelli di Cortisolo libero e legato, molto probabilmente proprio a causa della sua azione antagonista del recettore del Cortisolo (3).
Non vi sono prove in letteratura che indicano un interazione dell’Oxandrolone con il recettore del Progesterone.

L’Oxandrole è spesso inserito in fase di “Cut” o nel “Pre-Gara” dal momento che questa molecola fornisce considerevole sostegno in queste delicate fasi. Oltre all’inibizione dell’attività recettoriale corticosteroidea, la quale presenta un’azione preventiva sul catabolismo muscolare, l’Oxandrolone presenta:

– Una spiccata riduzione della prealbunina legante la Tiroxina (TBPA), con conseguente rialzo del T-3 circolante; ciò comporta un azione marcata del T-3 anche se questo è somministrato a dosi fisiologiche standard (25mcg) durante una dieta a forte componente ipocalorica-ipoglucidica(3).
– Aumento della chetogenesi epatica e conseguente stimolo della lipolisi.
Esiste uno studio del 2008 (4) nel quale si è osservato l’aumentò della Chetogenesi epatica in maschi adulti in seguito alla somministrazione di Oxandrolone: ai diciotto uomini che hanno partecipato allo studio è stata somministrata una dose di 10mg/die di Oxandrolone per più di una settimana. I soggetti avevano la valutazione della chetogenesi epatica all’inizio dello studio e dopo 7 giorni di somministrazione di Oxandrolone. La chetogenesi è stata valutata misurando i livelli plasmatici di 3-idrossibutirrato nel corso di un test di tolleranza lipidica. L’Oxandrolone portò ad un aumento dei livelli di 3-idrossibutirrato a digiuno del 70%, aumentando l’area sotto la curva nel corso di un FFT del 53% sopra i livelli di pretrattamento senza compromettere le aree sotto la curva per gli acidi grassi non esterificati, il glicerolo ed i trigliceridi. A digiuno i livelli di 3-idrossibutirrato erano correlati con gli acidi grassi non esterificati ed i trigliceridi. Lo studio ha dimostrato come già la somministrazione a breve termine di Oxandrolone dia come risultato un marcato aumento della chetogenesi epatica. Questo risultato è coerente con il maggior afflusso di acidi grassi nel fegato secondario alla lipolisi delle lipoproteine e all’incremento della lipasi epatica. Tuttavia, non si può escludere la possibilità che l’Oxandrolone agisca direttamente nel fegato per stimolare l’ossidazione degli acidi grassi.

Grazie a queste caratteristiche, l’Oxandrolone trova la sua più grande utilità se inserito durante una fase di “Cut” o “Pre-Gara”, dove il ridotto apporto calorico e (spesso) glucidico rendono queste fasi molto delicate. Un abbinamento in questo frangente può essere (per un atleta intermedio/avanzato) composto da Oxandrolone, Trenbolone e GW1516.
Esistono ulteriori prove dell’efficacia dell’Oxandrolone derivanti da uno studio nel quale si è osservata una riduzione di 4 Libre di massa grassa (2Kg circa), con un guadagno di 7 Libre di massa magra (3,5Kg circa) nel corso di 12 settimane di trattamento con soli 20 mg di Oxandrolone (10 mg, due volte al giorno) (5).

Inizialmente l’Oxandrolone veniva considerato uno steroide anabolizzante di Classe I, cioè con affinità recettoriale prevalentemente AR, essendo un DHT derivato, notoriamente marcatamente AR. Recentemente è stato scoperto che la sua affinità AR e molto bassa. Questa caratteristica è probabilmente dovuta, oltre alla metilazione in C-17 che aumenta l’affinità recettoriale non genomica, al fatto che l’Oxandrolone presenta una modifica dello scheletro del nucleo steranico (unica nella grande famiglia degli AAS commercializzati). La modifica in C-2 , con l’inserimento di una molecola di ossigeno, è criptata in un anello tipo A, e ciò lo fa spesso classificare come un AAS eterociclico, invece che un derivato del DHT.

Essendo l’Oxandrolone un DHT derivato esso non aromatizza in estrogeno, e non possiede attività estrogenica misurabile. L’Oxandrolone non presenta attività progestinica correlata.(6) Quindi, effetti collaterali quali ritenzione idrica e ginecomastia non sono generalmente un problema con l’uso di questa molecola.

Anche se classificato come uno steroide anabolizzante con un valore androgeno basso, gli effetti collaterali androgeni sono ancora possibili con questa molecola. Questo può includere acne, pelle oleosa e  alopecia (dipendente dalle caratteristiche individuali). Per quanto riguarda l’uso di questa molecola in ambito femminile gli effetti androgeni possibili possono includere voce profonda, irregolarità mestruale, crescita di peli sul corpo e sul viso, cambiamenti nella struttura della pelle la crescita di peli sul viso, e l’allargamento del clitoride.

Essendo l’Oxandrolone uno steroide con bassa attività androgenica rispetto alle sue azioni anabolizzanti,   la soglia dei possibili  forti effetti collaterali androgeni è relativamente superiore se confrontato con agenti più androgeni come il Testosterone, Methandrostenolone o Fluoxymesterone.

Come già accennato, l’Oxandrolone è un composto metilato in posizione C-17. Questa alterazione protegge la molecola dalla disattivazione epatica, permettendo ad una percentuale molto elevata del farmaco di entrare nel sangue dopo somministrazione orale. Gli AAS C17-alfa alchilati esercitano azione epatotossica. L’esposizione prolungata o ad alte dosi può causare danni al fegato. In rari casi si viene a creare una pericolosa disfunzione epatica. Si consiglia perciò un controllo regolare durante ogni ciclo monitorando la funzionalità epatica e la salute generale. L’assunzione di AAS c17-alfa alchilati non dovrebbe mai superare le  6-8 settimane di assunzione continua, nel tentativo di evitare un eccessivo stress epatico.

Nonostante l’Oxandrolone sia un AAS metilato in  C-17 sembra causare un minore stress epatico rispetto ad altre molecole  c-17 alfa alchilate. Il produttore del farmaco descrive la molecola di Oxandrolone come uno steroide che non viene  ampiamente metabolizzato dal fegato come accade per le altre forme di AAS orali metilati in C-17 sperimentati, e ciò può essere un fattore determinante nella sua ridotta epatotossicità. Ciò è dimostrato dal fatto che più di un terzo del composto è ancora intatto quando escreto nelle urine.(7)

In uno studio si è voluto confrontare gli effetti dell’Oxandrolone con altri agenti C-17 alfa alchilati tra cui Methyltestosterone, Noretandrolone, Fluoxymesterone e Methandriol dimostrando che l’Oxandrolone provoca una ritenzione di sulfobromofthaleina più bassa (BSP, un marker dello stress epatico) rispetto agli agenti testati.(8) 20 mg di Oxandrolone hanno prodotto il 72% in meno di ritenzione del BSP rispetto ad un dosaggio uguale di Fluoxymesterone, e ciò è una notevole differenza essendo entrambe molecole 17-alfa alchilate.

Uno studio più recente ha esaminato la risposta a dosi crescenti (20 mg, 40 mg e 80 mg) di Oxandrolone in 262 pazienti maschi affetti da HIV. Il farmaco è stato somministrato per un periodo di 12 settimane. Il gruppo che assumeva 20 mg di Oxandrolone al giorno non ha mostrato tendenze statisticamente significative di epatotossicità esaminando i valori degli enzimi epatici (AST / ALT; amino-transferasi e alanina amino-transferasi). Gli uomini che assumevano 40 mg hanno sperimentato un aumento medio di circa il 30-50% dei valori degli enzimi epatici, mentre il gruppo degli uomini che assumevano 80 mg hanno sperimentato un aumento di circa il 50-100%. Circa il 10-11% dei pazienti del gruppo che assumeva 40 mg di Oxandrolone hanno sperimentato un livello di tossicità epatica del III e IV grado della tossicità in base ai valori AST e ALT secondo le linee dell’Organizzazione Mondiale della Sanità . Questa cifra è passata al 15% nel gruppo che assumeva 80 mg di Oxandrolone. Mentre l’epatotossicità grave non può essere esclusa con Oxandrolone, questi studi suggeriscono che questa molecola fornisce un margine di sicurezza maggiore rispetto ad altri agenti metilati in C-17.(9) L’uso di un adeguata epatoprotezione durante l’uso di questa molecola è comunque consigliata.

Come risaputo, gli AAS possono avere effetti deleteri sul colesterolo sierico. Questo include una tendenza alla riduzione delle concentrazioni di colesterolo  HDL (buono) e un aumento delle concentrazioni di colesterolo  LDL (cattivo), cosa che comporta uno sbilanciamento dell’equilibrio HDL/LDL che si traduce in un rischio maggiore di sviluppare arteriosclerosi. L’impatto relativo all’assunzione di un AAS nei confronti dei lipidi ematici dipende dalla dose, dalla via di somministrazione (per via orale o iniettabile), dal tipo di steroide (aromatizable o non aromatizable), e dal livello di resistenza al metabolismo epatico. L’Oxandrolone ha un forte effetto sulla gestione epatica del colesterolo a causa della sua resistenza strutturale durante il passaggio epatico, dalla sua natura non aromatizable, e per la via di somministrazione. Nello studio precedentemente citato svolto su soggetti di sesso maschile malati di HIV, 20 mg di Oxandrolone al giorno per 12 settimane hanno causato una riduzione media del 30% dei livelli serici di HDL. I valori di HDL sono stati soppressi del 33% nel gruppo a 40 mg e del 50% nel gruppo a 80 mg. Questa riduzione  è stata accompagnata da un aumento statisticamente significativo nei valori di LDL (circa 30-33%) nel gruppo a 40 mg e in quello a 80 mg, aumentando ulteriormente il rischio aterogenico. Gli AAS possono influenzare negativamente la pressione sanguinea, le concentrazioni di trigliceridi, ridurre il rilassamento endoteliale, e promuovere l’ipertrofia ventricolare sinistra, tutti potenziali fattori che aumentano il rischio di sviluppare malattie cardiovascolari e infarto del miocardio.

Inizialmente si pensò che l’Oxandrolone potesse divenire un possibile farmaco per chi soffre di squilibri di colesterolo e/o trigliceridi. I primi studi hanno mostrato che la molecola era in grado di abbassare i valori di colesterolo totale e dei trigliceridi in alcuni tipi di pazienti iperlipidemici, facendo pensare ai ricercatori che il farmaco potesse avere un  potenziale come agente ipolipemizzante.(10) In seguito ad ulteriori indagini è stato accertato, tuttavia, che un abbassamento dei valori di colesterolo totale in seguito a somministrazione di Oxandrolone era accompagnato da una ridistribuzione nel rapporto del colesterolo buono (HDL) a favore del colesterolo cattivo (LDL) cosa che favorisce un maggiore rischio aterogenico.(11,12)

Questo nega alcun effetto positivo che questo farmaco possa avere sui trigliceridi o il colesterolo totale, e in realtà lo rende potenzialmente pericoloso in termini di rischio cardiaco, soprattutto se assunto per periodi di tempo prolungati. Oggi ci rendiamo conto di  come gli AAS possano produrre variazioni sfavorevoli del profilo lipidico, e non sono molto utili nei disordini del metabolismo lipidico. Ciò che è certo è che essendo l’Oxandrolone un AAS metilato in c17 assunto oralmente,  è ancora più rischioso da usare a questo proposito di un iniettabile esterificato, come un Testosterone o Nandrolone.

Per contribuire a ridurre lo sforzo cardiovascolare si consiglia di mantenere un programma di esercizio cardiovascolare e ridurre al minimo l’assunzione di grassi saturi, colesterolo e carboidrati semplici in ogni momento durante la somministrazione di AAS. Supplementando con oli di pesce (4 grammi al giorno) e un integratore naturale per il controllo del colesterolo come la Niacina.

Tutti gli AAS se assunti in dosi sufficienti per promuovere la crescita muscolare causano una soppressione della produzione di Testosterone endogeno. L’Oxandrolone non fa eccezione. Nello studio sopra citato svolto su soggetti di sesso maschile malati di HIV, la somministrazione per dodici settimane di 20 mg o 40 mg al giorno di Oxandrolone ha causato una riduzione di circa il 45% dei livelli sierici di Testosterone. Il gruppo che assumeva 80 mg ha subito una riduzione del 66% del Testosterone. Tendenze simili di soppressione sono state notate nella produzione di LH, con le dosi di 20 mg e 40 mg causando una riduzione del 25-30%, mentre nel  gruppo 80 mg è stato notato un calo di oltre il 50%. Inoltre, gli studi sui ragazzi con ritardo della pubertà costituzionale hanno mostrato una significativa soppressione di LH e Testosterone endogeno con una dose  minima di 2,5 mg al giorno.(13)

In effetti, uno studio di Sheffield-Moore et al. ha dimostrato che una dose di soli 15mg/die di Oxandrolone in giovani uomini sani per cinque giorni ha ridotto i livelli di testosterone totale e libero(14).

Senza lo svolgimento di una adeguata PCT, i livelli di Testosterone dovrebbe tornare alla normalità entro 1-4 mesi dalla cessione dell’assunzione del AAS.   Si noti che un ipogonadismo ipogonadotropo può sviluppare secondariamente all’abuso di steroidi, cosa che richiede un intervento medico.

L’Oxandrolone è disponibile solo in alcuni mercati come farmaco per uso umano. la composizione e il dosaggio può variare a seconda del paese e del produttore. Il marchio originale Anavar conteneva compresse da 2,5 mg di principio attivo. L’Oxandrin contiene compresse da 2,5 mg o 10 mg di principio attivo. Altri marchi attuali contengono comunemente 2,5 mg, 5 mg o 10 mg di principio attivo per compressa. Sul mercato nero delle UGL è largamente commercializzato, anche se con dubbia legittimità del prodotto.

La questione del dosaggio è come sempre soggettiva, calcolabile tenendo presente:

1- I dosaggi complessivi degli altri AAS (eventualmente) co-somministrati e;
2- che l’effetto anabolizzante di questa molecola cresce logaritmicamente in modo pressoché lineare fino a 0,75mg/Kg aumentando sensibilmente fino ad 1mg/Kg per poi arrestarsi a dosaggi superiori, e che una dose di 0,55mg/Kg risulta più funzionale e gestibile (sia a livello di effetti avversi che guadagni complessivi), specie se la molecola è co-somministrata con altri AAS.(15)

Per le donne i dosaggi maggiormente funzionali si sono attestati tra i 5-10mg ed i 15-20mg al giorno.

E’ utile ricordare che studi hanno dimostrato che l’assunzione di uno steroide anabolizzante per via orale con il cibo può diminuire la sua biodisponibilità.(16) Ciò è causato dalla natura liposolubile degli ormoni steroidei, che permette ad una parte del farmaco di sciogliersi con i grassi alimentari non digeriti, riducendo il suo assorbimento dal tratto gastrointestinale. Per il massimo assorbimento, anche questo AAS dovrebbe essere assunto a stomaco vuoto.

L’Oxandrolone può essere identificato positivamente mediante il test di sostanze ROIDTEST ™ B & C. Dopo le recenti tendenze del mercato, troviamo che i preparativi del mercato nero etichettatati come “Oxandrolone ” hanno un alto rischio di non contenente lo stesso o di contenere altri steroidi. La probabilità che ciò avvenga è particolarmente alta con questo AAS visti gli alti costi delle polveri.
Il kit ROIDTEST ™  può essere utilizzato per confermare la presenza di questo AAS in un prodotto, e può essere acquistato qui:

OXANDROLONE_large

http://roidtest.com/

 

 

Gabriel Bellizzi

Note:

1)  Oxandrolone: A Potent Anabolic Steroid of Novel Chemical Composition. Fox M, Minot AS, and Liddle GW. Journal of Clinical Endocrinology and Metabolism. 1962; Volume 22, Pgs. 921-924.
2) Wasserman P, Segal-Maurer S, Rubin D. Low sex hormone-binding globulin and testosterone levels in association with erectile dysfunction among human immunodeficiency virus-infected men receiving testosterone and oxandrolone. J Sex Med, 2008;5(1):241-7.
3) Barbosa J, Seal US, Doe RP: Effects of anabolic steroids on hormone-binding proteins, serum cortisol and serum nonprotein-bound cortisol. J Clin Endocrinol Metab, 1971;32(2):232-40.
4) Vega GL, Clarenbach JJ, Dunn F, Grundy SM. Oxandrolone enhances hepatic ketogenesis in adult men. J Investig Med, 2008;56(7):920-4.
5) Schroeder ET, Zheng L, Ong MD, Martinez C, Flores C, Stewart Y, Azen C, Sattler FR: Effects of androgen therapy on adipose tissue and metabolism in older men. J Clin Endocrinol Metab, 2004;89(10):4863-72.

6) Published reference of personal communication from Saunders F.J. (April 21, 1961) to author of Methyltestosterone, related steroids, and liver function. Arch Int. Med 116 (1965):289-94.

7) Studies on anabolic steroids. II–Gas chromatographic/mass spectrometric characterization of oxandrolone urinary metabolites in man. Masse R, Bi HG,Ayotte C, Dugal R. Biomed Environ Mass Spectrom. 1989 Jun;18(6):429-38.

8) Methyltestosterone, related steroids, and liver function. DeLorimier, Gordan G, Lowe R. et al. Arch Int. Med 116 (1965):289-94.

9) William Llewellyn’s ANABOLICS, 10th ed.

10)  Effects of Oxandrolone on Plasma Lipoproteins and the Intravenous Fat tolerance in Man. Atherosclerosis 19 (1974):337-46.

11)  Oxandrolone and Plasma Triglyceride Reduction: Effect of Triglyceride-Rich Diet and High Density Lipoproteins. Artery 9 (1981):328-41.

12) Plasma and Lipoprotein Lipid Responses to Four Hypolipid Drugs. Lipids 19 (1984):73-79.

13) The effects of oxandrolone on the growth hormone and gonadal axis in boys with constitutional delay of growth and puberty. Malhitra A, Poon E. Et al. Clin Endocrinol (Oxf ) 1993 Apr;38(4):393-8.

14)Sheffield-Moore M, Urban RJ, Wolf SE, Jiang J, Catlin DH, Herndon DN, Wolfe RR, Ferrando AA: Short-term oxandrolone administration stimulates net muscle protein synthesis in young men. J Clin Endocrinol Metab, 1999;84(8):2705-11.

15) Costruire la bestia perfetta: Chemical muscle enhancement 2. di Author L. Rea                              

16) Anabolic Steroids and Sports Volume II. James E. Wright. Sports Science Consultants, Natick, MA 1982.

GLUTAMMINA, GH E GRASSO CORPOREO

Glutam

La Glutammina è un aminoacido condizionatamente essenziale, in quanto pur venendo sintetizzato dall’organismo umano, in alcune condizioni richiede un’adeguata assunzione attraverso la dieta. Costituendo l’aminoacido più abbondante del corpo umano, il fabbisogno di Glutammina può aumentare sensibilmente in corso di stress, traumi chirurgici, ustioni, tumori o esercizio fisico particolarmente intenso come il BodyBuilding.

In ambito sportivo la Glutammina viene utilizzata principalmente per:

1- il suo effetto nell’aumento di volume delle cellule muscolari,favorendo l’ingresso nelle cellule di acqua, aminoacidi ed altre sostanze, stimolando la sintesi proteica e favorendo di conseguenza l’aumento di massa muscolare;
2- la sindrome da sovrallenamento, esistendo infatti una relazione tra il calo permanente dei livelli plasmatici di Glutammina e la comparsa dei sintomi del sovrallenamento (stanchezza cronica, calo di peso, perdita di appetito, comparsa di infezioni di lieve entità, nausea, depressione, apatia, aumento della frequenza cardiaca a riposo e diminuzione della frequenza cardiaca di allenamento);
3- il recupero dopo uno sforzo in quanto alcuni studi dimostrano un ruolo della glutamimina nel favorire l’aumento delle scorte di glicogeno muscolare durante il recupero, probabilmente a causa dell’aumentato ingresso di acqua all’interno delle cellule (ricordiamo a tal proposito che l’acqua è essenziale nella glicogenosintesi, in quanto per ogni grammo di glicogeno prodotto si legano ad esso circa 2,7 g di acqua).

Ma uno dei motivi per cui l’uso della Glutammina viene promosso in ambito sportivo è la stimolazione dell’ormone della crescita o GH. L’aumento dei livelli di GH è stato effettivamente dimostrato da un unico studio condotto da Welbourne nel 1995. Poiché la glutammina è capace di elevare i livelli plasmatici di arginina e glutammato, cioè due amminoacidi capaci di stimolare la secrezione di GH[1][2], il ricercatore volle stabilire se la diretta assunzione di una piccola dose di glutammina fosse in grado di stimolare allo stesso modo il rilascio dell’ormone. Altri obiettivi dello studio erano quelli di verificare l’effetto dell’assunzione dell’amminoacido sui livelli plasmatici di glutammina e di bicarbonato.
Poiché le concentrazioni di GH variano in base agli orari della giornata (ritmo circadiano) e all’assunzione di cibo[3] le condizioni dello studio vennero selezionate in modo da minimizzarne la secrezione in una categoria di soggetti in cui essa era ridotta. I soggetti coinvolti avevano un’età compresa tra i 32 e i 64 anni, poiché la letteratura scientifica aveva appunto riconosciuto una riduzione della secrezione di GH dopo la terza decade di vita[4]. Nove soggetti sani assunsero due grammi di glutammina disciolta in una bibita a base di soda (490 mL contenente 20 gr di glucosio, pH 3.8) ingeriti durante un periodo di 20 minuti dopo 45 minuti da una colazione leggera (toast, caffè e succo di frutta) per 2 sabati consecutivi alla stessa ora, per coincidere con bassi valori circadiani di GH. I campioni di sangue vennero ottenuti immediatamente, e ad intervalli di 30 minuti in un periodo di 90 minuti, e comparati con i campioni ottenuti una settimana prima dello studio. Venne riscontrata un’elevazione del GH a 90 minuti dall’assunzione più di 4 volte i valori basali[5]. Interessante notare che l’elevazione del GH indotto dalla glutammina si verificò nonostante la rilevante assunzione di carboidrati prima e durante l’ingestione dell’aminoacido. I carboidrati sono potenti stimolatori dell’insulina, che è notoriamente antagonista del GH. Ci si sarebbe potuto aspettare che i carboidrati alimentari, mediante l’insulina, avrebbero soppresso l’elevazione del GH indotta dalla glutammina, cosa che non è avvenuta.
Questo effetto favorevole sull’aumento della secrezione dell’ormone della crescita potrebbe interessare particolarmente gli atleti di forza (atleti impegnati nelle specialità con i pesi), i quali ricercano un aumento della massa e/o della forza muscolare, potenzialmente connessi con una maggiore produzione di ormoni anabolici. La letteratura scientifica recente però ha ampiamente messo in discussione il fatto che la stimolazione endogena acuta del GH sia utile ai fini dell’aumento dei guadagni muscolari. Secondo queste evidenze recenti, l’aumento degli ormoni sistemici come GH e testosterone indotto, ad esempio, dall’esercizio, non trova una correlazione con l’aumento dell’ipertrofia, della forza e della sintesi proteica[6][7][8][9][10]. Altri documenti hanno segnalato che gli amminoacidi stimolatori del GH, se assunti in prossimità dell’esercizio con i pesi, non abbiano mai dimostrato un aumento della massa muscolare rispetto alla non assunzione[11]. Questi fatti, combinati con i risultati non significativi ottenuti dalla supplementazione di Glutammina a lungo termine in concomitanza con l’esercizio con i pesi, sarebbero ulteriore conferma della mancata efficacia della glutammina in queste circostanze. Candow et al. (2001) conclusero che non ci fossero differenze significative tra l’assunzione di 0.8 gr/kg di massa magra di glutammina (56 g/die per una persona di 70 kg) e un placebo in un programma di 6 settimane, sulla prestazione, sui cambiamenti della composizione corporea, o sul catabolismo muscolare su giovani adulti[12]. Altri studi a lungo termine (Lehmkuhl et al., 2003)[13] hanno fornito risultati simili con dosaggi inferiori.
Ma poiché la Glutammina ha dimostrato di elevare significativamente i livelli di GH[5], si potrebbe ipotizzare che essa sia utile per la riduzione del grasso corporeo. Il GH è infatti un ormone dalle proprietà lipolitiche, che consente cioè di mobilizzare i grassi depositati[14]. Nell’uomo, alcuni dei principali ruoli del GH sono la mobilizzazione dei grassi e una riduzione dell’impiego di glicogeno e proteine[15]. Il GH pare abbia un ruolo minimo nella crescita del muscolo scheletrico nell’uomo adulto, ma sembra avere piuttosto una funzione molto più significativa nella perdita di grasso[16]. In realtà il potenziale della Glutammina nella perdita di grasso non è stato propriamente stabilito, e alcune ricerche non hanno osservato miglioramenti della composizione corporea col suo utilizzo[12][13]. Uno studio (Iwashita et al., 2006) ha somministrato 0.25 g/kg di Glutammina (17.5 g per una persona di 70 kg) assieme ad un pasto standard (6.5 kcal/kg: 14% proteine, 22% grassi, 64 carboidrati). La Glutammina ha provocato un aumento del dispendio energetico post-prandiale un aumento dell’ossidazione di grasso di 42 kcal. Usando la calorimetria diretta da 30 minuti prima del pasto fino a 6 ore dopo, i ricercatori trovarono che il dispendio energetico post-prandiale fosse aumentato del 49% rispetto all’assunzione di altri amminaocidi. I ricercatori conclusero che la supplementazione di Glutammina assieme ai pasti altera il metabolismo dei nutrienti aumentando l’ossidazione di carboidrati durante il primo periodo post-prandiale e aumentando l’ossidazione di grassi durante le fasi avanzate del periodo post-prandiale[17]. Sebbene questi risultati siano di particolare interesse, non sono stati analizzati i risultati cronici (a lungo termine) per verificare se effettivamente la Glutammina promuova una maggiore riduzione del grasso corporeo. Ad ogni modo, alcuni studi hanno analizzato i risultati cronici dell’utilizzo di Glutammina nelle variazioni della composizione corporea in concomitanza con l’esercizio con i pesi, senza osservare differenze rispetto ai gruppi che non la assumevano[12][13].

Gabriel Bellizzi

Riferimenti:

1. ^ Alba-Roth et al. Arginine stimulates growth hormone secretion by suppressing endogenous somatostatin secretion. J Clin Endocrinol Metab. 1988 Dec;67(6):1186-9.
2. ^ Lindström P, Ohlsson L. Effect of N-methyl-D,L-aspartate on isolated rat somatotrophs. Endocrinology. 1992 Oct;131(4):1903-7.
3. ^ Maurice Goodman. Basic Medical Endocrinology. Academic Press, 2010. ISBN 0-08-092055-1
4. ^ Rudman et al. Impaired growth hormone secretion in the adult population: relation to age and adiposity. J Clin Invest. 1981 May; 67(5): 1361–1369.
5. ^ a b c d e Welbourne TC. Increased plasma bicarbonate and growth hormone after an oral glutamine load. Am J Clin Nutr. 1995 May;61(5):1058-61.
6. ^ West DW, Phillips SM. Anabolic processes in human skeletal muscle: restoring the identities of growth hormone and testosterone. Phys Sportsmed. 2010 Oct;38(3):97-104.
7. ^ West et al. Elevations in ostensibly anabolic hormones with resistance exercise enhance neither training-induced muscle hypertrophy nor strength of the elbow flexors. J Appl Physiol. 2010 Jan;108(1):60-7.
8. ^ West DW, Phillips SM. Associations of exercise-induced hormone profiles and gains in strength and hypertrophy in a large cohort after weight training. Eur J Appl Physiol. 2012 Jul;112(7):2693-702.
9. ^ West et al. Resistance exercise-induced increases in putative anabolic hormones do not enhance muscle protein synthesis or intracellular signalling in young men. J Physiol. 2009 Nov 1;587(Pt 21):5239-47.
10. ^ West et al. Sex-based comparisons of myofibrillar protein synthesis after resistance exercise in the fed state. J Appl Physiol (1985). 2012 Jun;112(11):1805-13.
11. ^ Chromiak JA, Antonio J. Use of amino acids as growth hormone-releasing agents by athletes. Nutrition. 2002 Jul-Aug;18(7-8):657-61.
12. ^ a b c d e f g h i Candow et al. Effect of glutamine supplementation combined with resistance training in young adults. Eur J Appl Physiol. 2001 Dec;86(2):142-9.
13. ^ a b c d Lehmkuhl et al. The effects of 8 weeks of creatine monohydrate and glutamine supplementation on body composition and performance measures. J Strength Cond Res. 2003 Aug;17(3):425-38.
14. ^ Pritzlaff et al. Catecholamine release, growth hormone secretion, and energy expenditure during exercise vs. recovery in men. J Appl Physiol. 2000 Sep;89(3):937-46.
15. ^ Rogol AD. Growth hormone: physiology, therapeutic use, and potential for abuse. Exerc Sport Sci Rev. 1989;17:353-77.
16. ^ Rennie MJ. Claims for the anabolic effects of growth hormone: a case of the Emperor’s new clothes?. Br J Sports Med. 2003 April; 37(2): 100–105.
17. ^ Iwashita et al. Glutamine supplementation increases postprandial energy expenditure and fat oxidation in humans. JPEN J Parenter Enteral Nutr. 2006 Mar-Apr;30(2):76-80.
* https://it.wikipedia.org/wiki/Glutammina

Tè Verde, insulino-resistenza e grasso corporeo

thev

In uno studio in cui gli scienziati hanno fatto seguire a dei topi una dieta ricca di fruttosio, oppure la stessa dieta con l’aggiunta di tè verde, i topi che avevano ricevuto il tè verde hanno mostrato una riduzione della resistenza all’insulina, che è collegata a un aumento (cioè a un’efficienza maggiore) dell’attività del GLUT-4, un trasportatore cellulare del glucosio (1).

Altri studi hanno dimostrato anche che bere tè verde riduce l’eccesso di glucosio ematico, indice del prossimo sviluppo del diabete (2). Se volete usufruire dell’effetto benefico del tè verde sull’insulina, evitate di berlo con latte o panna perché la ricerca ha dimostrato che 50 g di latte riducono del 90% il potenziamento dell’insulina da parte del tè verde stesso (3).

Uno studio ha esaminato gli effetti del tè verde e della caffeina sul dispendio energetico e sull’ossidazione dei grassi (4). I soggetti erano 10 uomini giovani e sani con in media 25 anni, alcuni magri e altri moderatamente sovrappeso. Per sei settimane, i soggetti hanno assunto due capsule di:

1) estratto di tè verde, più 50 mg di caffeina,
2) 50 mg di caffeina, o
3) un placebo.

In quelli che avevano assunto il tè verde il dispendio energetico era molto superiore a quello degli altri due gruppi e questi soggetti tendevano a utilizzare più calorie derivanti dai grassi di quelli che avevano ricevuto il placebo. Tutto questo ha dimostrato che gli effetti termogenici del tè verde non dipendono totalmente dal contenuto di caffeina.

Un altro studio ha esaminato gli effetti del tè oolong (5). 12 uomini hanno bevuto:

1) Acqua;
2) Tè molto forte;
3) Tè mediamente forte;
4) Acqua contenente 270 mg di caffeina.

Quando i soggetti hanno bevuto il tè molto forte invece dell’acqua, l’ossidazione dei grassi è aumentata del 12%.

Un altro studio ha scoperto che, quando i soggetti assumevano una quantità di tè sufficiente a fornire 600 mg di catechine del tè, il grasso intestinale viscerale, o profondo si è ridotto (6). Questa è una notizia meravigliosa per la salute, perché il grasso viscerale è quello più attivo e più pericoloso del corpo ed è collegato alle malattie cardiovascolari e al diabete. Sembra che gli effetti antiangiogenici del tè verde riducano e prevengano un accumulo eccessivo di grasso (7).

Uno studio recente condotto su uomini e donne giapponesi con depositi rilevanti di grasso viscerale ha scoperto infine che, bevendo tè contenente 583 mg di catechine del tè per 12 settimane, la pressione del sangue, le LDL e il grasso corporeo si sono ridotti significativamente (8).

Gabriel Bellizzi


Riferimenti:

1) Wu, L.Y., et al. (2004). Green tea supplementation ameliorates insulin resistance and increases glucose transporter- 4 content in a fructose-fed rat model. Eur J Nutr. 43.
2) Gomez, A., et al. (1994). Antihyperglycemic effect of black tea (Camellia sinensis) in rat. J Ethnopharmacol. 45:223-226.
3) Moon, H.S., et al. (2007). Proposed mechanisms of epigallocatechin- 3-gallate for anti-obesity. Chem-Biol Interactions. 167:85-98.
4) Dullo, A.G., et al. (1999). Efficacy of green tea extract rich in catechin polyphenols and caffeine in increasing 24-hour energy expenditure and fat oxidation in humans. Am J Clin Nutr. 70:1040-50.
5) Rumpler, W., et al. (2001). Oolong tea increases metabolic rate and fat oxidation in men. J Nutr. 131:2848-2852.
6) Nagao, T., et al. (2001). Tea catechins suppress accumulation of body fat in humans. J Oleo Sci. 50:717-28.
7) Diepvens, K., et al. (2007). Obesity and thermogenesis related to the consumption of caffeine, ephedrine, capsaicin, and green tea. Am J Physiol Regul Integ Comp Physiol. 292:R77-R85.

8) Nagao, T., et al. (2007). A green tea extract high in catechins reduces bodyfat and cardiovascular risk in humans. Obesity. 15:1473-83.
(*) Gli studi sono stati riportati nell’articolo “Tè verde e riduzione del grasso corporeo” di Jerry Brainum presente in IRONMAN allegato ad OLYMPIAN’S NEWS n° 91, pag 64-66 Pubblicato in Italia da Sandro Ciccarelli Editore.

PIRUVATO E LIPOLISI

Piruvato

Il piruvato viene normalmente prodotto nell’organismo durante il processo di metabolismo del glucosio. In effetti, sotto il profilo strutturale, il piruvato può essere considerato come una mezza molecola di glucosio, dal momento che il glucosio contiene sei atomi di carbonio e il piruvato ne ha tre.
Il tipo di piruvato che si ha nel corso di un normale metabolismo è l’acido piruvico. Questa versione acida non sarebbe certo pratica come integratore alimentare e, di conseguenza, gli integratori di piruvato in commercio vengono stabilizzati con l’aggiunta di vari minerali, come il calcio, il potassio, il sodio o il magnesio. In rari casi, il piruvato viene unito all’aminoacido glicina. Quest’ultima versione è ritenuta la forma più idonea e desiderabile, dal momento che evita problemi come il sovraccarico minerale, possibile con le versioni più comuni. In ogni caso, la combinazione piruvato-glicina ha dei costi di produzione molto più elevati – e questo spiega il motivo per cui non si vede spesso sugli scaffali.

Anche se il piruvato è sintetizzato all’interno dell’organismo, è presente in via naturale in molti alimenti, in particolare nella frutta e nella verdura. La migliore fonte alimentare di piruvato è costituita dalle mele rosse, con un contenuto stimato di 450 milligrammi per mela. Questa quantità è circa la stessa della maggior parte degli integratori in pillole, sebbene le mele contengano anche altri elementi, come carboidrati, fibre e altri ancora.

Nel corso del processo di glicolisi, ovvero la disgregazione dei carboidrati e del glucosio nell’organismo, il glucosio viene convertito in piruvato da vari enzimi. A sua volta, il piruvato si trasforma in acetil coenzima A, una sostanza metabolica chiave, in grado di seguire vari percorsi. In condizioni aerobiche, l’acetil coenzima A è indirizzato nel ciclo d Krebs, ovvero ciclo dell’acido citrico, che, in ultima analisi, produce ATP, la sostanza energetica primaria delle cellule. In condizioni anaerobiche, come, per esempio, durante un intenso allenamento con i pesi, l’acetil coenzima A viene convertito in lattato.

Le ricerche sugli effetti del piruvato ebbero inizio nel 1978, quando un ricercatore dell’Università di Pittsburg, Ronald Stanko, Ph.D. (titolo accademico, n. d. D.) effettuò uno studio sugli effetti del piruvato sul fegato grasso nei topi, indotto dall’ingestione di alcol. Questa ricerca iniziale trovò che l’aggiunta di piruvato, di diidrossiacetone (DHA) e di riboflavina (vitamina B2 ) a topi alimentati a forza con alcol, annullava completamente l’accumulo di grasso nel fegato, normale conseguenza di un eccesso di alcol. Questo studio fornì la prima indicazione che il piruvato potesse avere delle proprietà grasso-inibenti.
Gran parte delle ricerche sul piruvato hanno incluso anche il diidrossiacetone (DHA), una molecola con 3 atomi di carbonio, che è anche l’ingrediente attivo delle lozioni ad “abbronzatura veloce”. Il DHA opera in combinazione con il piruvato perché inibisce un enzima che catabolizza il piruvato e, oltre a questo, si contrappone alla conversione di piruvato in lattato. Molti integratori di piruvato di libera vendita non includono il DHA perché, in dosi elevate, questa sostanza tende a produrre degli effetti di natura tossica, compreso la nausea. In ogni caso, se assunto in picco le dosi, può migliorare l’efficienza del piruvato.
L’idea di ricorrere al piruvato per perdere peso è venuta dopo che vari studi avevano mostrato come la sostanza, possedesse delle proprietà grasso-inibenti in diversi animali. Per esempio, in una ricerca avente come soggetti i topi, il piruvato e il DHA rappresentarono il 15% dell’apporto calorico totale, per un arco di 112 giorni. Dall’analisi delle carcasse dei topi, risultò che il contenuto lipidico dei soggetti del gruppo a base di piruvato-DHA era inferiore del 32% rispetto ai topi a cui non venivano somministrati integratori. 1 topi che assumevano piruvato evidenziarono anche dei livelli metabolici più alti, con un’intensificazione dell’attività tiroidea. Oltre all’effetto di perdita di lipidi, venne riscontrato anche un inferiore livello di insulina nel plasma.
Uno studio del 1991, con dei topi grassi ottenuti per selezione genetica, chiamati topi di Zucker, mostrò come l’assunzione della combinazione piruvato-DHA promuovesse una maggiore perdita di grassi. Questa particolare razza di topolini da laboratorio ha molte caratteristiche simili a quelle dell’obesità umana, come un tasso metabolico ridotto, resistenza insulinica, elevati livelli ematici di insulina, oltre che un’alta concentrazione di grassi nel corpo, compreso il colesterolo totale. In questa particolare razza di topi, l’integrazione di piruvato alla dieta evitò un incremento di peso, grazie all’aumento del metabolismo e dell’ossidazione lipidica.
Non sono ancora molto chiari i motivi per cui il piruvato sia in grado di promuovere la perdita di grasso sia negli animali che nell’uomo, ma parecchie teorie offrono possibili spiegazioni. Per esempio, le ricerche sul piruvato con soggetti umani e animali evidenziano elevati livelli ematici degli ormoni tiroidei, a seguito della somministrazione di questo integratore. Un’altra possibilità è che crescenti concentrazioni di acetil coenzima A inibiscano un enzima chiamato piruvato deidrogenasi. Questo determina un minor utilizzo di carboidrati e, di contro, un maggiore uso di grassi in qualità di fonte energetica.
I minori livelli di insulina plasmatica possono, similmente, influenzare in maniera positiva l’utilizzo dei grassi, grazie ad un maggiore apporto di piruvato. Sappiamo che degli alti livelli di insulina mantengono costante l’obesità, dal momento che l’insulina promuove un enzima che fa aumentare le riserve lipidiche e che, allo stesso tempo, inibisce altri enzimi che favoriscono il rilascio e l’ossidazione dei grassi nell’organismo. Il controllo dell’insulina è uno dei punti chiave di diete popolari quali un regime a basso contenuto di carboidrati e la dieta della Zona, proposta dal biochimico Barry Sears.
Le ricerche sugli integratori di piruvato, ai fini del controllo di peso nell’uomo, sono state spesso oggetto di critica, a causa della manipolazione di risultati statistici, al punto che i risultati ottenuti dall’assunzione di piruvato risultano spesso molto esagerati. Per esempio, negli studi spesso citati, che riportarono un aumento di perdita di grassi del 48% e una ulteriore perdita di peso del 37%, la reale quantità di peso persa nello studio del 48% era di solo 1,3 kg in più rispetto al gruppo a placebo che non assumeva piruvato.
Inoltre, lo studio aveva come soggetti delle donne estremamente grasse, ricoverate in un reparto per malattie metaboliche per 21 giorni, con un apporto calorico di sole 500-1.000 calorie al giorno. Ancora più problematico il fatto che i soggetti ingerivano da 22 a 28 grammi di piruvato al giorno, un dosaggio di gran lunga superiore a quello raccomandato di 5-6 grammi. In effetti, a tutt’oggi, nessuno studio ha notato alcun effetto del piruvato, a seguito dell’assunzione di dosi così basse.
Un’altra ricerca, anche questa avente come soggetti delle donne obese ricoverate in ospedale, concluse che l’utilizzo di piruvato e DHA evitava un eccessivo aumento di peso dopo una dieta a restrizione calorica. Questo sarebbe un risultato veramente eccezionale, dal momento che la ricerca mostra come il 95% circa delle persone riacquista il peso perso durante una dieta. In ogni caso, soggetti femminili di questo studio sul piruvato seguirono una dieta da fame di sole 310 calorie, seguita poi da un apporto calorico più normale. Le donne assunsero anche soli 15 grammi di piruvato e 75 di DFIA.
I soggetti a cui veniva somministrata la combinazione piruvato-DHA riacquistarono 36% di peso in meno e 55% di grasso in meno rispetto al gruppo a placebo, quando ricominciarono a nutrirsi regolarmente. Sembra un risultato eccezionale, ma le cifre reali sono state di soli 1,8 kg in meno in termini di incremento di peso corpo reo e di 0,8 kg di grasso in meno per i soggetti chenon assumevano questa combinazione.
Gli studi che hanno preso ad esame gli effetti del piruvato sul colesterolo non sono stati di grande importanza. Uno di questi prevedeva un apporto giornaliero di piruvato da 36 a 53 grammi, per un totale di sei settimane, con soggetti che seguivano una dieta a base di alimenti ad elevato contenuto di lipidi e ad alta percentuale di colesterolo. I soggetti che prendevano il piruvato evidenziarono una riduzione del 4% in termini di livelli plasmatici di colesterolo, oltre che una diminuzione del 5% delle lipoproteine a bassa densità, spesso definite come il colesterolo “cattivo”, a causa dei loro legami con le malattie cardiovascolari. Il consumo di alimenti a basso contenuto di grassi e poveri di colesterolo, cointegrazione di piruvato, non ebbe alcun effetto sulla composizione lipidica del sangue. Di conseguenza, se paragonato ad altre, più efficaci, pratiche nutrizionali, in un’ottica di diminuzione del colesterolo, come la niacina e un maggiore apporto di fibre solubili, il piruvato prende un voto non buono.
Le altre ricerche che hanno esaminato gli effetti del piruvato su altri fattori di rischio cardiovascolare, come una alta pressione sanguigna, hanno ottenuto dei risultati altrettanto insignificanti. Uno studio con soggetti che seguivano udalimentazione iperlipidica, ad alto contenuto di colesterolo, trovò che l’assunzione di piruvato determinava una perdita del 9% in termini di battito cardiaco a riposo e una riduzione del 6% nella pressione sanguigna diastolica. L’esercizio fisico di tipo aerobico da solo batte facilmente questi risultati.
Le patologie cardiovascolari di ogni tipo sono in stretto rapporto con reazioni di ossido-riduzione (reazione redox) fuori controllo, a livello di organismo, che interessano dei normali sottoprodotti del metabolismo, chiamati radicali liberi. I nutrienti antiossidanti catturano questi radicali liberi e, così facendo, proteggono le cellule e i tessuti dal danno ossidativo. Tra gli antiossidanti alimentari, le vitamine E e C e vari minerali, come lo zinco e il selenio.
Gli studi in vitro, ovvero in provetta, mostrano che anche il piruvato esercita un’attività antiossidante, oltre che aiutare a mantenere i naturali erizimi antiossidanti dell’organismo, quali la superossido dismutasi e la glutatione reduttasi. Se il piruvato dovesse svolgere una simile funzione a livello corporeo, potrebbe probabilmente offrire una qualche forma di protezione nei confronti delle malattie cardiovascolari. Che questo sia vero o falso dipende dagli studi sull’uomo relativi a questo punto preciso, e queste ricerche non sono state ancora effettuate. L’idea, quindi, del piruvato come un potente antiossidante è, attualmente, solo speculativa, ma possibile.
Alcuni articoli sostengono l’attività ergogena del piruvato, ma, anche questa, allo stato attuale delle cose, non è sicura. Per esempio, una ricerca del 1978 aveva come soggetti dei topi che, mentre correvano su un tapis roulant, ricevevano glucosio, lattato o piruvato, per somministrazione endovenosa. L’infusione di glucosio aumentò il tempo fino all’esaurimento, ma sia il lattato che il piruvato accelerarono l’insorgere dell’affaticamento.
D’altra parte, uno studio con soggetti umani che si allenavano sull’ergometro a braccio (esercizio aerobico), dopo sette giorni di dieta standard o di una integrata con piruvato, evidenziò. come per il gruppo a piruvato il tempo necessario per arrivare all’esaurimento era cresciuto del 20%. I soggetti della ricerca ingerivano 75 grammi di DRA e 25 di piruvato. Questo aumento di resistenza fisica in chi prendeva il piruvato venne spiegato con la minore velocità di disgregazione del glicogeno, a seguito di una maggiore estrazione di glucosio ematico ad opera dell’utilizzo di piruvato. Unaltra ricerca, che prevedeva esercizi con le gambe, indicò come la somministrazione di piruvato determinasse un maggiore assorbimento di glicogeno muscolare. Tutti questi studi, tuttavia, erano su soggetti non allenati; gli effetti dell’integrazione di piruvato a persone più esperte, sotto il profilo atletico, rimangono tuttora sconosciuti.
Mentre la maggior parte delle ricerche riguardanti l’apporto di piruvato hanno previsto dosaggi da 15 a 100 grammi il giorno, uno studio più recente, presentato in occasione del congresso del 1998 dell’American College of Sports Medicine (Collegio Americano di Medicina nello Sport), tenutosi lo scorso giugno ad Orlando, sostenne di aver ottenuto risultati migliori da dosi più tradizionali di piruvato. Lo studio prevedeva un apporto giornaliero di piruvato di soli 6 grammi in 53 soggetti assegnati a caso ad un gruppo di controllo, ad uno a placebo e ad uno a piruvato. 1 soggetti del gruppo a piruvato mostrarono una riduzione del 12,4% in termini di grasso corporeo dopo sei settimane, più un aumento di 1,5 kg circa di massa magra. Oltre a questo, riportarono anche una crescita del 2,2% del tasso metabolico a riposo. 1 soggetti degli altri gruppi non mostrarono alcun cambiarnento.
Un aspetto problematico di questa ricerca era il sistema usato per calcolare la composizione corporea: l’impedenza bioelettrica. Questa tecnica si basa sulla comparazione di dati di natura idrica, in base a rapporti già prestabiliti. Questi rapporti sono completamente alterati nelle persone disidratate e questo metodo di calcolo del grasso corporeo non è considerato accurato, in confronto agli altri sistemi disponibili.
Il metodo più recente di utilizzo del piruvato ai fini della perdita di grasso corporeo prevede la sua combinazione con altri nutrienti, più specificatamente con la carnitina e l’idrossicitrato (HCA). Questa tecnica si basa sul fatto che questi nutrienti promuovono un processo chiamato “trasporto inverso degli elettroni”, che ha, come conseguenza, un effetto termogeno più potente, convertendo le calorie in calore. Come notato in precedenza, aumentando l’acetil coenzima A, il piruvato tende a promuovere una maggiore ossidazione dei lipidi rispetto a quella dei carboidrati. La carnitina è un elemento essenziale per portare i grassi in quella parte delle cellule dove ha luogo l’ossidazione lipidica (mitocondri), mentre FHCA inibisce una sostanza che blocca la spola carnitina/grassi. L’effetto generale è di una maggiore ossidazione dei grassi. Una teoria avanza l’ipotesi che l’effetto sia talmente potente da verificarsi anche senza restrizione calorica.
L’assunzione di Metformina accelera il trasporto inverso degli elettroni favorendo l’attività dell’enzima piruvato chinasi.
Chi preferisce non assumere farmaci può ricorrere alla biotina, una vitamina del complesso B, che, se presa in dosaggi elevati (3 milligrammi) può anch’essa stimolare l’enzima.
Il piruvato può anche risultare utile durante le diete a basso apporto di carboidrati. Il consumo di meno di 40 grammi di carboidrati al giorno porta ad un rio funzionamento dell’ormone tiroideo attivo che, a sua volta, determina un abbassamento del metabolismo a riposo. Si pensa che questo sia dovuto ad una carenza relativa di ATP nel fegato, necessario per attivare l’enzima che converte l’ormone tiroideo inattivo nella sua versione attiva (T3). Il piruvato può ovviare a questo problema agendo come substrato epatico per la sintesi dell’ATP
Un adagio di tipo fisiologico dice che i grassi sono bruciati nella fiamma dei carboidrati. In parole più semplici, significa che c’è bisogno di un certo livello minimo di carboidrati per bruciare efficientemente i lipidi dell’organismo. Tuttavia, non sono propriamente i carboidrati ad essere necessari in questo processo, ma un sottoprodotto metabolico dei carboidrati, chiamato ossalacetato. Agendo in qualità di diretto precursore di ossalacetato, il piruvato permetterebbe di consumare pochissimi carboidrati, senza il conseguente indebolimento della capacità di bruciare i grassi. La maggiore sensibilità insulinica indotta dal piruvato accentua questo effetto. Il dosaggio preciso affinché il piruvato sia efficace sia aggira probabfimente intorno a 10 grammi al giorno.

Gabriel Bellizzi

Fonte:

Piruvato: vera potenza o pubblicità eccessiva di Jerry Brainum
(direttore responsabile dell’edizione internazionale) – Olympian’s News Sandro Ciccarelli