
I Bodybuilder che usano il Trenbolone possono aumentare le loro possibilità di sviluppare la malattia di Alzheimer, o almeno questa è la paura degli scienziati molecolari Fucui Ma e Daicheng Liu della Shandong Normal University in Cina. Ma e Liu hanno somministrato tramite iniezione del Trenbolone a dei topi e hanno osservato quasi immediati cambiamenti nei cervelli degli animali dando ai neurologi materiale su cui riflettere.(1)
Le cellule del cervel…lo sono in grado di conservare le informazioni e di elaborarle perché creano continuamente nuove connessioni tra loro. La Proteina precorritrice della beta-amiloide [APP] svolge un ruolo importante in questo processo. Per essere precisi: la APP è una proteina di trans-membrana di tipo 1.
Gli enzimi scompongono la APP in pezzi e se questo processo si svolge correttamente le cellule cerebrali funzionano in modo normale. Ma se gli enzimi iniziano a non agire come dovrebbero – a causa di geni difettosi o fattori ambientali pericolosi – si formano frammenti proteici tossici. Il più rischioso di questi è l’amiloide-beta-42, che si accumula nel cervello, formando placche e uccidendo infine le cellule cerebrali. Il cervello delle persone decedute a causa dell’Alzheimer contengono grandi quantità di amiloidi-beta-42, per cui la maggior parte dei neurologi pensa che l’amiloide-beta-42 sia la causa dell’Alzheimer e di forme legate alla demenza.
Il Testosterone, l’Estradiolo e il DHT offrono protezione contro l’Alzheimer. Ecco perché Ma e Lui si sono chiesti quale effetto avrebbe avuto il Trenbolone sulla formazione di amiloide-beta-42. Così, hanno somministrato a dei topi 5 iniezioni di Trenbolone in un periodo di 48 ore. L’equivalente umano delle dosi utilizzate dai ricercatori sarebbe circa 0,85mg per kg di peso corporeo.
L’amiloide-beta-42 si è accumulata nel cervello dei ratti maschi trattati con Trenbolone. Il grafico seguente mostra i risultati emersi nel periodo di 48 ore nel quale sono state distribuite le 5 iniezioni di Trenbolone.


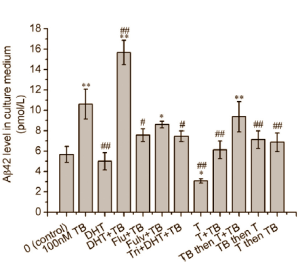
I ricercatori hanno inoltre svolto esperimenti con le cellule cerebrali esponendole per 48 ore a 100 nanomoli di Trenbolone [TB]. L’aggiunta di un antiandrogeno come la Flutamina [Flu] ha ridotto l’accumulo di amiloide-beta-42. Così è emerso che i danni cerebrali causati dal Trenbolone sono dovuti dagli effetti androgeni di questa molecola.
Una combinazione di Trenbolone e DHT ha mostrato di aumentare l’accumulo di amiloide-beta-42.
I ricercatori affermano che, dal momento che i danni ai neuroni possono verificarsi molto prima dei sintomi clinici dei disturbi neurodegenerativi, l’esposizione al Trenbolone dovrebbe essere considerata come un fattore ambientale ad alto rischio per lo sviluppo della malattia di Alzheimer. I ricercatori discutono a favore di ulteriori ricerche.
Gabriel Bellizzi
Riferimenti: