TESTOSTERONE ESOGENO E SOPPRESSIONE DEL TESTOSTERONE ENDOGENO
Testosterone
L’effetto che l’utilizzo del Testosterone esogeno ha sul Testosterone endogeno è più marcato di quanto si pensasse, almeno secondo endocrinologi svedesi del Karolinska Institutet. I ricercatori svedesi hanno riportato ciò in seguito ad uno studio svolto per conto della WADA sull’abuso di sostanze e sulla riabilitazione. (1)
I ricerca…tori hanno somministrato a 25 uomini di età compresa tra i 27 ei 43 anni singole iniezioni di 125, 250 o 500 mg di Testosterone Enantato in tre diverse occasioni. Nelle settimane seguenti i ricercatori hanno analizzato il sangue dei soggetti.
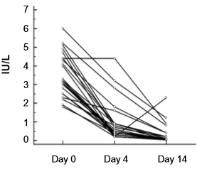
Quattro giorni dopo le iniezioni la concentrazione degli ormoni LH e FSH era scesa considerevolmente. Dal momento che FSH e LH stimola la produzione di Testosterone da parte dei testicoli (Cellule di Leydig), ciò significava che la produzione endogena di Testosterone dei soggetti presi in esame era diminuita fortemente. Le figure seguente
mostrano la riduzione dei livelli di LH e FSH in percentuali. Più alta è la barra, maggiore è la riduzione.
Due settimane dopo l’iniezione la produzione endogena di Testosterone era ancora bassa. Dopo l’iniezione da 500 mg la produzione di LH e FSH era diminuita ulteriormente, rispettivamente al 92 e 94%. Ciò significava che i soggetti stavano producendo solo l’8% della quantità normale di LH e il 6% della quantità normale di FSH.
Sei settimane dopo l’iniezione di 500 mg di Testosterone Enantato la produzione di Testosterone endogeno dei soggetti non era ancora completamente ripristinato.
Il modo in cui gli equilibri ormonali dei soggetti hanno reagito alle diverse iniezioni è stato vario, come mostra la figura seguente: si osserva l’effetto sul livello di LH della singola iniezione di 500 mg di Testosterone Enantato.
In alcuni soggetti il livello di LH è declinato quasi subito; in altri, questo ha richiesto più tempo per accadere. E c’era un soggetto il cui recupero ormonale sembrava essere molto rapido.
I ricercatori hanno scritto che i risultati dello studio indicano che il testosterone ha un effetto endocrino più profondo e sostenuto lungo l’asse ipotalamo-ipofisi-gonadi di quanto precedentemente conosciuto.
Pubblicato da Gabriel Bellizzi [also known as Ružička, The Biochemist] - CEO BioGenTech -
Negli anni trenta del ventesimo secolo si è verificata una febbre dell’oro scientifica di proporzioni inaudite nel campo della nascente endocrinologia. Questa impresa è stata portata avanti con tanta celerità grazie al pionieristico lavoro di biochimici Adolf Friedrich Johann Butenandt e Lavoslav Stjepan Ružička, entrambi premi Nobel per la chimica nel 1939 grazie proprio alla pubblicazione dell’articolo “Sulla preparazione artificiale dell’ormone testicolare testosterone (androstene-3-one--17-olio)”.
Il potenziale del Testosterone e dei suoi primi derivati che videro la luce nella seconda metà degli anni trenta del 900, arrivo’ all’orecchio degli sportivi d’élite tanto che nel 1938 vi fu una prima pubblicazione che parlava del potenziale uso del Testosterone nel Bodybuilding.
Grazie agli abbattimenti dei costi di produzione delle molecole di sintesi, resi possibili dal genio della chimica Russell Earl Marker e dalla sua “Marker degradation”, nella seconda metà degli anni quaranta l’uso di AAS si è diffuso nelle squadre olimpiche di molti paesi. Successivamente tocco’ al pubblico amatoriale. E' nel 1976 che vi fu una nuova svolta, cioè la nascita della società di biotecnologie “Genetech” nata dall’incontro tra l’imprenditore Robert Swanson e Herbert Boyer, biochimico dell’Università della California. I due decisero di fondare questa società per lo sfruttamento commerciale delle tecniche del DNA ricombinante messe a punto da Boyer. Insulina e hGH divennero parte del corollario di farmaci utilizzati dai bodybuilder, e l’era dei “Freak” venne inaugurata.
Purtroppo, lo “scandalo DOPING” negli anni 80’, e le successive restrizioni di “facciata” hanno smantellato massivamente quella nicchia di ricercatori che lavoravano a stretto contatto con gli atleti e facevano ricerca sul campo. Essi non sono “estinti” ma sono obliati da una certa narrativa di comodo. Da qui il problema presente: l’atleta è in balia di leggende e metodiche partorite da menti non avvezze alla complessità della farmacologia partendo dalle basi della biochimica.
La BioGenTech è un laboratorio di ricerca che opera direttamente sul campo dapprima della sua fondazione grazie al lavoro del CEO Amedeo Gabriel Bellizzi. Nel 2021, ha visto la luce e ha preso concretezza un idea: fornire informazioni valide e affidabili su una scienza multidisciplinare. Nessun circo delle pulci, ma qualcosa che si può vedere e constatare.
Noi alla BioGenTech, la quale è una realtà collaborativa sebbene diretta da una mente, siamo scienziati puri con un atteggiamento snobistico nei confronti dei soli affari. Riteniamo la sola corsa al denaro una cosa da bottegai, poco stimolante dal punto di vista intellettuale. E la ricerca al servizio del commerciale, quindi resa scientismo, può andare bene solo per chi non e’ dotato di etica o è limitato nella materia.
Quindi il nostro atteggiamento nei confronti di chi e’ impegnato nello scientismo speculativo, e’ essenzialmente di critica e avversione. Il Nostro tradizionale antagonismo fa sì che non subiamo la contaminazione del marketing e, ogniqualvolta si scatena un dibattito su questioni biotecnoiogiche, non manchiamo di porci al di sopra delle parti discutendo dei problemi ai massimi livelli.
Contattaci per informazioni su coaching, anti-aging e TRT/HRT sulle piattaforme Instagram, Telegram, Whatsapp o all’indirizzo mail teamympus86@outlook.it
CEO Amedeo Gabriel Bellizzi [Biochimico, esperto in nutrizione sportiva, coach di BodyBuilding, PEDs consulter, esperto in tecniche Anti-Aging, TRT e HRT, ricercatore e divulgatore scientifico indipendente]
Vedi tutti gli articoli di Gabriel Bellizzi [also known as Ružička, The Biochemist] - CEO BioGenTech -