
Se usati non correttamente, gli AAS possono ulteriormente aumentare il rischio di sviluppare malattie cardiovascolari. E questo non vale solo per gli utilizzatori di alto livello, ma anche per gli atleti che applicano cicli di modesta entità, almeno secondo quanto riportato dai ricercatori del Karolinska Institutet di Stoccolma. (1) I ricercatori svedesi hanno scoperto che i livelli di colesterolo aumentano dopo appena una sola iniezione da 500 mg di Testosterone Enantato.
Livelli elevati di LDL e bassi di HDL sono uno dei fattori predittivi del rischio di sviluppare malattie cardiovascolari. L’uso di Statine che riducono il Colesterolo ha provocato un minor numero di decessi collegati alle malattie cardiovascolari e, dalla loro introduzione negli anni ’90, l’aspettativa di vita dell’abitante medio del mondo occidentale è aumentata…purtroppo il loro uso ha causato una serie di altri problemi come il danno muscolare… ma questa è un’altra storia…
Infatti in alcuni ambienti le statine sono controverse, ma c’è da dire che se si è amanti dei funghi o dei prodotti fermentati, praticamente le si consuma tutti i giorni…seppur nella loro forma naturale e non sintetica… La Lovastatina, per esempio, è la Statina che si trova nei funghi ostrica (2) e negli integratori a base del conosciutissimo Riso Rosso fermentato (Monacolina K avente struttura identica). (3)
Le statine inibiscono l’enzima HMG-CoA-reduttasi [HMGCR] nel fegato. Questo enzima converte il 3-idrossi-3metilglutaril-coenzima-A [HMG-CoA] in Mevalonato. E il Mevalonato è uno degli elementi costitutivi del Colesterolo. Se il corpo sintetizza meno colesterolo come conseguenza dell’assunzione di statine, le concentrazioni di colesterolo LDL “cattivo” diminuiscono. Gli utilizzatori di statine riportano occasionalmente effetti collaterali inattesi ma gravi. Questi possono essere il risultato di una diminuzione della produzione del co-enzima Q10 o della vitamina D. L’integrazione di questi due composti probabilmente può prevenire questi effetti collaterali o per lo meno ridurli.

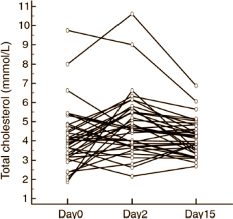
Il Testosterone e altri ormoni derivati da esso, ma non solo, hanno un influenza a livello epatico. Più sono difficili da degradare, maggiore è il loro impatto sul fegato. Gli scienziati svedesi volevano verificare se il Testosterone Enantato [che non è tossico per il fegato] aumentasse i livelli di colesterolo attraverso l’enzima HMGCR. Per fare ciò hanno iniettato a 39 uomini sani di età compresa tra i 18 e i 50 anni una dose di 500 mg di Testoviron Depot, prodotto dalla Schering Nordiska. Successivamente hanno atteso per osservare la risposta alla somministrazione dello steroide.
Il livello di colesterolo dei soggetti ha iniziato a salire quasi immediatamente dopo la somministrazione dello steroide. Due giorni dopo il livello era superiore del 15% rispetto al normale. E l’80% degli uomini trattati aveva un livello elevato dell’enzima HMGCR, implicato nella sintesi di Colesterolo. Dopo 15 giorni dalla somministrazione di Testosterone Enantato il livello di colesterolo era tornato a livelli normali.



I ricercatori hanno anche svolto esperimenti con cellule epatiche umane. La figura sopra mostra che, dopo essere state esposte al Testosterone in vitro, le cellule dopo appena due ore avevano già iniziato a produrre più HMGCR.
I ricercatori pensano che il Testosterone esogeno non abbia nessun effetto sul aumento di HDL. Negli anni ’90 i ricercatori americani hanno scoperto che dopo aver somministrato 300mg di Testosterone Cypionato a degli uomini, il livello di HDL di questi era diminuito del 21%. (4) Ciò è probabilmente dovuto al fatto che il Testosterone attiva l’enzima HTGL (hepatic triglyceride lipase) nel fegato. Questo enzima degrada l’HDL. Negli utilizzatori di AAS la concentrazione di HTGL può superare il doppio del livello normale. (5)
I Bodybuilder d’élite spesso spendono grandi somme di denaro per il servizio di coaching da parte di medici e nutrizionisti. Gli atleti hanno bisogno soprattutto degli specialisti per tenere sotto controllo gli effetti collaterali cardiovascolari dati dall’uso di AAS (e non solo quelli). Lo studio svedese, che tra l’altro è stato finanziato dalla WADA, suggerisce che anche gli utilizzatori di AAS più moderati dovrebbero essere consapevoli dei possibili effetti collaterali legati all’uso di AAS e della loro corretta gestione.
Gabriel Bellizzi
Riferimenti: