
Appassionati del fitness, culturisti e altri atleti di forza si allenano meglio dopo aver assunto due tazze di caffè rispetto a quanto farebbero dopo aver assunto una pillola contenente caffeina, almeno stando a quanto scrivono gli scienziati dello sport britannici Darren Richardson e Neil Clarke sul Journal of Strength and Conditioning Research. (1)
I ricercatori hanno fatto svolgere a nove studenti maschi allenati un semplice allenamento composto da due set alla bench press in diverse occasioni.
In un’occasione i soggetti hanno bevuto due tazze di caffè un’ora prima di iniziare il loro allenamento [COF]. Gli studenti hanno consumato 0,15 g di caffè solubile per kg di peso corporeo. Ciò gli apportava 5 mg di caffeina per kg di peso corporeo.
In un’altra occasione i soggetti hanno bevuto due tazze di caffè solubile decaffeinato un’ora prima di iniziare il loro allenamento [DEC]. Gli studenti hanno consumato 0,15 g di caffè solubile decaffeinato per kg di peso corporeo.
In un’altra occasione i soggetti hanno bevuto due tazze di caffè solubile decaffeinato un’ora prima di iniziare il loro allenamento, e hanno assunto pillole di caffeina [D + C]. Gli studenti hanno consumato 0,15 g di caffè decaffeinato solubile e 5 mg di caffeina per kg di peso corporeo.
In un’altra occasione gli studenti hanno assunto pillole contenenti caffeina un’ora prima di iniziare il loro allenamento [CAF]. Hanno così assunto 5 mg di caffeina per ogni kg di peso corporeo.
Infine, in un occasione gli studenti hanno assunto un placebo un’ora prima dell’allenamento. [PLA]
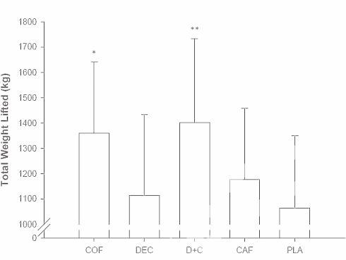
I soggetti sono riusciti a gestire più ripetizioni quando hanno fatto squat dopo aver consumato il normale caffè o il caffè decaffeinato con l’aggiunta di caffeina rispetto a quando avevano assunto un placebo, o le sole pillole di caffeina o il caffè decaffeinato. A quanto pare il caffè contiene più stimolanti della sola caffeina – o, eventualmente, contiene sostanze che rafforzano l’effetto stimolante della caffeina.

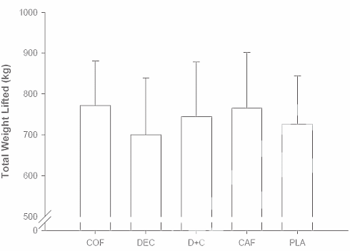
La figura seguente mostra che per quanto riguarda il numero di ripetizioni alla bench press vi erano poche differenze tra le diverse assunzione pre-allenamento.

I ricercatori hanno affermato che le implicazioni pratiche di questo studio sono che l’ingestione di caffè con caffeina, con un apporto di 5 mg di caffeina per kg di peso corporeo (circa due tazze grandi, cioè 300 ml per tazza) prima di un esercizio di resistenza, può migliorare le prestazioni. Ulteriori ricerche dovrebbero essere condotte per osservare se i miglioramenti nelle prestazioni possono essere ottenuti da una dose minore di caffeina dal caffè, per esempio 3 mg / kg, il che sarebbe una quantità più pratica di caffè da bere (circa 1 grande tazza da 300 ml).
Gabriel Bellizzi
Riferimenti: