Assumendo Leucina ed Acido Ursolico e niente altro dopo un allenamento, probabilmente non si verificheranno cambiamenti per i culturisti e altri atleti di forza, come affermato da scienziati dello sport americani sul Journal of American College of Nutrition. I loro studi sull’uomo suggeriscono che queste strategie di supplementazione non portano a una maggiore crescita muscolare, anche se la somministrazione di Leucina dà luogo ad un drammatico aumento intramuscolare dell’IGF-1 nelle cellule muscolari. (1)
I ricercatori hanno reclutato nove uomini, i quali avevano esperienza con l’allenamento con i pesi, facendoli allenare le gambe in tre diverse occasioni. Subito dopo l’allenamento gli uomini hanno assunto un placebo, un supplemento contenente 3 g di Leucina o un supplemento contenente 3 g di Acido Ursolico.
Gli uomini non hanno mangiato prima dell’allenamento. Un’ora dopo l’allenamento, gli uomini hanno consumato una Atkins bar contenente 13 g di grassi, 8 g di proteine e 3 g di carboidrati. Questa è l’unica cosa che i partecipanti hanno mangiato.
I ricercatori hanno prelevato campioni di sangue e muscoli più volte durante le prime sei ore dopo l’allenamento.
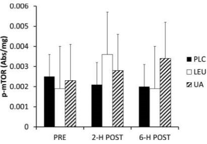
L’integrazione non ha avuto effetto sulle concentrazioni di insulina o di IGF-1 nel sangue dei partecipanti. I ricercatori hanno osservato un leggero aumento dell’attività del mTOR nelle cellule muscolari rispetto agli uomini nel gruppo placebo, ma le differenze non erano statisticamente significative.


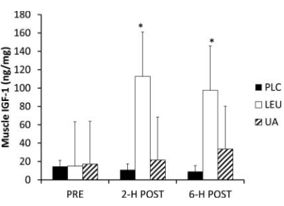
L’Acido Ursolico ha potenziato l’attività del recettore dell’IGF-1 nelle cellule muscolari sei ore dopo l’assunzione, ma tale effetto non è stato significativo. C’è da chiedersi, tuttavia, se questo sarebbe successo ugualmente se i ricercatori avessero avuto più partecipanti nel loro esperimento.
Quello che era significativo è stato l’effetto della supplementazione di Leucina sulla concentrazione di IGF-1 nelle cellule muscolari.

Tuttavia, I risultati non sono stati una sorpresa. Si sa già che la supplementazione di Leucina è efficace solo se combinata con altri aminoacidi.
Come già detto, il recettore dell’IGF-1 nelle cellule muscolari diventa più attivo sei ore dopo l’assunzione di Acido Ursolico. Due ore dopo l’assunzione di Leucina, la concentrazione di IGF-1 nelle cellule muscolari aumenta. Che cosa accadrebbe se gli atleti di forza assumessero Acido Ursolico tre ore prima di iniziare un allenamento e della Leucina dopo averlo terminato? Il tutto combinato con altri aminoacidi? …
Gabriel Bellizzi
Riferimenti: